定量心血管磁共振心肌灌注可以鉴别明显的同种异体心脏移植血管病变:一项多中心研究。

IF 6.6 1区 医学 Q1 CARDIAC & CARDIOVASCULAR SYSTEMS
R Jablonowski, H B Andersson, C Fogarasi, H Engblom, H Arheden, P Kellman, M Carlsson, M Melin, I H Löfman, J Nickander, O Ö Braun
{"title":"定量心血管磁共振心肌灌注可以鉴别明显的同种异体心脏移植血管病变:一项多中心研究。","authors":"R Jablonowski, H B Andersson, C Fogarasi, H Engblom, H Arheden, P Kellman, M Carlsson, M Melin, I H Löfman, J Nickander, O Ö Braun","doi":"10.1093/ehjci/jeaf201","DOIUrl":null,"url":null,"abstract":"<p><strong>Aims: </strong>Cardiac allograft vasculopathy (CAV) is a significant complication that contributes to both morbidity and mortality after heart transplantation. The aim of this study was to (i) assess if quantitative cardiovascular magnetic resonance (CMR) myocardial perfusion could detect different stages of CAV and (ii) establish a myocardial perfusion reserve (MPR) cut-off for significant CAV.</p><p><strong>Methods and results: </strong>Patients with a heart transplant who had performed a clinical CMR scan and invasive angiography at two centres in Sweden were included in the study (n = 110). Quantitative short-axis perfusion maps were acquired using single-bolus gadolinium contrast, dual-sequence perfusion imaging at rest and during stress. Global myocardial perfusion (MP) was averaged across all segments at rest and stress and MPR was defined as the ratio between stress and rest MP. All invasive angiographies were reported according to the International Heart and Lung Transplantation CAV classification. Patients were classified as follows: 53% (58/110) as CAV0, 38% (42/110) as CAV1, and 9% (10/110) as CAV2-3. There was a gradual decrease of stress MP and MPR with increased CAV grade. The MPR could discriminate CAV2-3 with an area under the curve-receiver operating characteristic of 0.88, 95% confidence interval 0.78-0.98, and using a cut-off of 2.2, the sensitivity was 100%, specificity was 68%, and positive and negative predictive values were 21 and 100%.</p><p><strong>Conclusion: </strong>In this multi-centre retrospective study, MPR assessed by CMR could discriminate CAV2-3 with both high sensitivity and negative predictive value and a cut-off of MPR 2.2 is suggested.</p>","PeriodicalId":12026,"journal":{"name":"European Heart Journal - Cardiovascular Imaging","volume":" ","pages":"1623-1630"},"PeriodicalIF":6.6000,"publicationDate":"2025-09-30","publicationTypes":"Journal Article","fieldsOfStudy":null,"isOpenAccess":false,"openAccessPdf":"https://www.ncbi.nlm.nih.gov/pmc/articles/PMC12481015/pdf/","citationCount":"0","resultStr":"{\"title\":\"Quantitative cardiovascular magnetic resonance myocardial perfusion can discriminate significant cardiac allograft vasculopathy: a multi-centre study.\",\"authors\":\"R Jablonowski, H B Andersson, C Fogarasi, H Engblom, H Arheden, P Kellman, M Carlsson, M Melin, I H Löfman, J Nickander, O Ö Braun\",\"doi\":\"10.1093/ehjci/jeaf201\",\"DOIUrl\":null,\"url\":null,\"abstract\":\"<p><strong>Aims: </strong>Cardiac allograft vasculopathy (CAV) is a significant complication that contributes to both morbidity and mortality after heart transplantation. The aim of this study was to (i) assess if quantitative cardiovascular magnetic resonance (CMR) myocardial perfusion could detect different stages of CAV and (ii) establish a myocardial perfusion reserve (MPR) cut-off for significant CAV.</p><p><strong>Methods and results: </strong>Patients with a heart transplant who had performed a clinical CMR scan and invasive angiography at two centres in Sweden were included in the study (n = 110). Quantitative short-axis perfusion maps were acquired using single-bolus gadolinium contrast, dual-sequence perfusion imaging at rest and during stress. Global myocardial perfusion (MP) was averaged across all segments at rest and stress and MPR was defined as the ratio between stress and rest MP. All invasive angiographies were reported according to the International Heart and Lung Transplantation CAV classification. Patients were classified as follows: 53% (58/110) as CAV0, 38% (42/110) as CAV1, and 9% (10/110) as CAV2-3. There was a gradual decrease of stress MP and MPR with increased CAV grade. The MPR could discriminate CAV2-3 with an area under the curve-receiver operating characteristic of 0.88, 95% confidence interval 0.78-0.98, and using a cut-off of 2.2, the sensitivity was 100%, specificity was 68%, and positive and negative predictive values were 21 and 100%.</p><p><strong>Conclusion: </strong>In this multi-centre retrospective study, MPR assessed by CMR could discriminate CAV2-3 with both high sensitivity and negative predictive value and a cut-off of MPR 2.2 is suggested.</p>\",\"PeriodicalId\":12026,\"journal\":{\"name\":\"European Heart Journal - Cardiovascular Imaging\",\"volume\":\" \",\"pages\":\"1623-1630\"},\"PeriodicalIF\":6.6000,\"publicationDate\":\"2025-09-30\",\"publicationTypes\":\"Journal Article\",\"fieldsOfStudy\":null,\"isOpenAccess\":false,\"openAccessPdf\":\"https://www.ncbi.nlm.nih.gov/pmc/articles/PMC12481015/pdf/\",\"citationCount\":\"0\",\"resultStr\":null,\"platform\":\"Semanticscholar\",\"paperid\":null,\"PeriodicalName\":\"European Heart Journal - Cardiovascular Imaging\",\"FirstCategoryId\":\"3\",\"ListUrlMain\":\"https://doi.org/10.1093/ehjci/jeaf201\",\"RegionNum\":1,\"RegionCategory\":\"医学\",\"ArticlePicture\":[],\"TitleCN\":null,\"AbstractTextCN\":null,\"PMCID\":null,\"EPubDate\":\"\",\"PubModel\":\"\",\"JCR\":\"Q1\",\"JCRName\":\"CARDIAC & CARDIOVASCULAR SYSTEMS\",\"Score\":null,\"Total\":0}","platform":"Semanticscholar","paperid":null,"PeriodicalName":"European Heart Journal - Cardiovascular Imaging","FirstCategoryId":"3","ListUrlMain":"https://doi.org/10.1093/ehjci/jeaf201","RegionNum":1,"RegionCategory":"医学","ArticlePicture":[],"TitleCN":null,"AbstractTextCN":null,"PMCID":null,"EPubDate":"","PubModel":"","JCR":"Q1","JCRName":"CARDIAC & CARDIOVASCULAR SYSTEMS","Score":null,"Total":0}
引用次数: 0

摘要

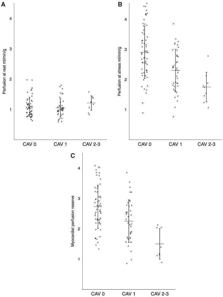
目的:同种异体心脏移植血管病变(CAV)是导致心脏移植术后发病率和死亡率的重要并发症。本研究的目的是:1)评估定量心血管磁共振(CMR)心肌灌注是否可以检测到不同阶段的CAV; 2)建立心肌灌注储备(MPR)临界值,以检测明显的CAV。方法和结果:在瑞典的两个中心进行临床CMR扫描和侵入性血管造影的心脏移植患者被纳入研究(n=110)。定量短轴灌注图采用单丸钆造影剂,静息和应激时双序列灌注成像。在静息和应激状态下取各节段心肌灌注(MP)的平均值,MPR定义为应激与静息状态下心肌灌注的比值。所有有创血管造影均按照ISHLT CAV分级进行报道。53%(58/110)的患者为CAV0, 38%(42/110)的患者为CAV1, 9%(10/110)的患者为CAV2-3。随着cav等级的升高,应激MP和MPR逐渐降低。MPR鉴别CAV2-3的ROC AUC为0.88,95%可信区间(CI)为0.78 ~ 0.98,截断值为2.2,灵敏度为100%,特异性为68%,阳性预测值为21%,阴性预测值为100%。结论:在本多中心回顾性研究中,CMR评估的MPR对CAV2-3具有较高的敏感性和阴性预测值,建议MPR下限为2.2。
本文章由计算机程序翻译,如有差异,请以英文原文为准。

Quantitative cardiovascular magnetic resonance myocardial perfusion can discriminate significant cardiac allograft vasculopathy: a multi-centre study.

Quantitative cardiovascular magnetic resonance myocardial perfusion can discriminate significant cardiac allograft vasculopathy: a multi-centre study.

Quantitative cardiovascular magnetic resonance myocardial perfusion can discriminate significant cardiac allograft vasculopathy: a multi-centre study.

Quantitative cardiovascular magnetic resonance myocardial perfusion can discriminate significant cardiac allograft vasculopathy: a multi-centre study.

Aims: Cardiac allograft vasculopathy (CAV) is a significant complication that contributes to both morbidity and mortality after heart transplantation. The aim of this study was to (i) assess if quantitative cardiovascular magnetic resonance (CMR) myocardial perfusion could detect different stages of CAV and (ii) establish a myocardial perfusion reserve (MPR) cut-off for significant CAV.

Methods and results: Patients with a heart transplant who had performed a clinical CMR scan and invasive angiography at two centres in Sweden were included in the study (n = 110). Quantitative short-axis perfusion maps were acquired using single-bolus gadolinium contrast, dual-sequence perfusion imaging at rest and during stress. Global myocardial perfusion (MP) was averaged across all segments at rest and stress and MPR was defined as the ratio between stress and rest MP. All invasive angiographies were reported according to the International Heart and Lung Transplantation CAV classification. Patients were classified as follows: 53% (58/110) as CAV0, 38% (42/110) as CAV1, and 9% (10/110) as CAV2-3. There was a gradual decrease of stress MP and MPR with increased CAV grade. The MPR could discriminate CAV2-3 with an area under the curve-receiver operating characteristic of 0.88, 95% confidence interval 0.78-0.98, and using a cut-off of 2.2, the sensitivity was 100%, specificity was 68%, and positive and negative predictive values were 21 and 100%.

Conclusion: In this multi-centre retrospective study, MPR assessed by CMR could discriminate CAV2-3 with both high sensitivity and negative predictive value and a cut-off of MPR 2.2 is suggested.

求助全文
通过发布文献求助,成功后即可免费获取论文全文。 去求助
来源期刊
European Heart Journal - Cardiovascular Imaging
European Heart Journal - Cardiovascular Imaging CARDIAC & CARDIOVASCULAR SYSTEMS-
CiteScore
11.60
自引率
9.70%
发文量
708
审稿时长
4-8 weeks
期刊介绍: European Heart Journal – Cardiovascular Imaging is a monthly international peer reviewed journal dealing with Cardiovascular Imaging. It is an official publication of the European Association of Cardiovascular Imaging, a branch of the European Society of Cardiology. The journal aims to publish the highest quality material, both scientific and clinical from all areas of cardiovascular imaging including echocardiography, magnetic resonance, computed tomography, nuclear and invasive imaging. A range of article types will be considered, including original research, reviews, editorials, image focus, letters and recommendation papers from relevant groups of the European Society of Cardiology. In addition it provides a forum for the exchange of information on all aspects of cardiovascular imaging.
×
引用
GB/T 7714-2015
复制
MLA
复制
APA
复制
导出至
BibTeX EndNote RefMan NoteFirst NoteExpress
×
提示
您的信息不完整,为了账户安全,请先补充。
现在去补充
×
提示
您因"违规操作"
具体请查看互助需知
我知道了
×
提示
确定
请完成安全验证×
copy
已复制链接
快去分享给好友吧!
我知道了
右上角分享
点击右上角分享
0
联系我们:info@booksci.cn Book学术提供免费学术资源搜索服务,方便国内外学者检索中英文文献。致力于提供最便捷和优质的服务体验。 Copyright © 2023 布克学术 All rights reserved.
京ICP备2023020795号-1
ghs 京公网安备 11010802042870号
Book学术文献互助
Book学术文献互助群
群 号:604180095
Book学术官方微信