不对称二甲基精氨酸和瓜氨酸是心血管疾病的危险因素,独立于估测和测量的GFR。

IF 4.6 2区 医学 Q1 UROLOGY & NEPHROLOGY
Clinical Kidney Journal Pub Date : 2025-06-13 eCollection Date: 2025-07-01 DOI:10.1093/ckj/sfaf181
Nikoline B Rinde, Toralf Melsom, Ole Martin Fuskevåg, Bjørn O Eriksen, Jon Viljar Norvik
{"title":"不对称二甲基精氨酸和瓜氨酸是心血管疾病的危险因素,独立于估测和测量的GFR。","authors":"Nikoline B Rinde, Toralf Melsom, Ole Martin Fuskevåg, Bjørn O Eriksen, Jon Viljar Norvik","doi":"10.1093/ckj/sfaf181","DOIUrl":null,"url":null,"abstract":"<p><strong>Background: </strong>Nitric oxide (NO) is crucial for endothelial dysfunction and its deficiency is linked to cardiovascular disease (CVD) and impaired kidney function. While research has explored NO metabolism in individuals with kidney disease, diabetes mellitus (DM) or CVD, the relationship in healthy individuals remains unclear. Studies using estimated glomerular filtration rate (eGFR) for kidney function may introduce non-GFR-related factors, confounding the results. We investigated the association between NO-related biomarkers and CVD outcomes in a healthy population, comparing adjustments using eGFR and measured GFR (mGFR).</p><p><strong>Methods: </strong>This 14-year longitudinal study evaluated 1575 healthy, middle-aged participants without pre-existing DM, CVD or kidney disease in the Renal Iohexol Clearance Survey (RENIS). Cox regression models assessed the effects of asymmetric dimethylarginine (ADMA), symmetric dimethylarginine (SDMA), arginine, citrulline and ornithine levels on CVD incidence and all-cause mortality. Analyses were adjusted for GFR using mGFR by iohexol clearance or eGFR based on serum creatinine (eGFR<sub>c</sub> <sub>rea</sub>) or cystatin C (eGFR<sub>c</sub> <sub>ys</sub>).</p><p><strong>Results: </strong>Elevated ADMA levels were associated with incident CVD across all GFR adjustment methods, with a hazard ratio (HR) of 1.21 [95% confidence interval (CI) 1.06-1.38] for mGFR. SDMA was associated with CVD when adjusting for eGFR<sub>c</sub> <sub>rea</sub> [HR 1.19 (95% CI 1.03-1.38)], not with mGFR or eGFR<sub>c</sub> <sub>ys</sub>. Through all GFR methods, higher citrulline levels consistently correlated with CVD [HR 1.17 (95% CI 1.03-1.33) for mGFR]. No biomarkers were linked to all-cause mortality.</p><p><strong>Conclusions: </strong>In a healthy population, ADMA and citrulline were associated with incident CVD, regardless of the GFR adjustment method, while the association of SDMA depended on the method used.</p>","PeriodicalId":10435,"journal":{"name":"Clinical Kidney Journal","volume":"18 7","pages":"sfaf181"},"PeriodicalIF":4.6000,"publicationDate":"2025-06-13","publicationTypes":"Journal Article","fieldsOfStudy":null,"isOpenAccess":false,"openAccessPdf":"https://www.ncbi.nlm.nih.gov/pmc/articles/PMC12241856/pdf/","citationCount":"0","resultStr":"{\"title\":\"Asymmetric dimethylarginine and citrulline are risk factors for cardiovascular disease independently of both estimated and measured GFR.\",\"authors\":\"Nikoline B Rinde, Toralf Melsom, Ole Martin Fuskevåg, Bjørn O Eriksen, Jon Viljar Norvik\",\"doi\":\"10.1093/ckj/sfaf181\",\"DOIUrl\":null,\"url\":null,\"abstract\":\"<p><strong>Background: </strong>Nitric oxide (NO) is crucial for endothelial dysfunction and its deficiency is linked to cardiovascular disease (CVD) and impaired kidney function. While research has explored NO metabolism in individuals with kidney disease, diabetes mellitus (DM) or CVD, the relationship in healthy individuals remains unclear. Studies using estimated glomerular filtration rate (eGFR) for kidney function may introduce non-GFR-related factors, confounding the results. We investigated the association between NO-related biomarkers and CVD outcomes in a healthy population, comparing adjustments using eGFR and measured GFR (mGFR).</p><p><strong>Methods: </strong>This 14-year longitudinal study evaluated 1575 healthy, middle-aged participants without pre-existing DM, CVD or kidney disease in the Renal Iohexol Clearance Survey (RENIS). Cox regression models assessed the effects of asymmetric dimethylarginine (ADMA), symmetric dimethylarginine (SDMA), arginine, citrulline and ornithine levels on CVD incidence and all-cause mortality. Analyses were adjusted for GFR using mGFR by iohexol clearance or eGFR based on serum creatinine (eGFR<sub>c</sub> <sub>rea</sub>) or cystatin C (eGFR<sub>c</sub> <sub>ys</sub>).</p><p><strong>Results: </strong>Elevated ADMA levels were associated with incident CVD across all GFR adjustment methods, with a hazard ratio (HR) of 1.21 [95% confidence interval (CI) 1.06-1.38] for mGFR. SDMA was associated with CVD when adjusting for eGFR<sub>c</sub> <sub>rea</sub> [HR 1.19 (95% CI 1.03-1.38)], not with mGFR or eGFR<sub>c</sub> <sub>ys</sub>. Through all GFR methods, higher citrulline levels consistently correlated with CVD [HR 1.17 (95% CI 1.03-1.33) for mGFR]. No biomarkers were linked to all-cause mortality.</p><p><strong>Conclusions: </strong>In a healthy population, ADMA and citrulline were associated with incident CVD, regardless of the GFR adjustment method, while the association of SDMA depended on the method used.</p>\",\"PeriodicalId\":10435,\"journal\":{\"name\":\"Clinical Kidney Journal\",\"volume\":\"18 7\",\"pages\":\"sfaf181\"},\"PeriodicalIF\":4.6000,\"publicationDate\":\"2025-06-13\",\"publicationTypes\":\"Journal Article\",\"fieldsOfStudy\":null,\"isOpenAccess\":false,\"openAccessPdf\":\"https://www.ncbi.nlm.nih.gov/pmc/articles/PMC12241856/pdf/\",\"citationCount\":\"0\",\"resultStr\":null,\"platform\":\"Semanticscholar\",\"paperid\":null,\"PeriodicalName\":\"Clinical Kidney Journal\",\"FirstCategoryId\":\"3\",\"ListUrlMain\":\"https://doi.org/10.1093/ckj/sfaf181\",\"RegionNum\":2,\"RegionCategory\":\"医学\",\"ArticlePicture\":[],\"TitleCN\":null,\"AbstractTextCN\":null,\"PMCID\":null,\"EPubDate\":\"2025/7/1 0:00:00\",\"PubModel\":\"eCollection\",\"JCR\":\"Q1\",\"JCRName\":\"UROLOGY & NEPHROLOGY\",\"Score\":null,\"Total\":0}","platform":"Semanticscholar","paperid":null,"PeriodicalName":"Clinical Kidney Journal","FirstCategoryId":"3","ListUrlMain":"https://doi.org/10.1093/ckj/sfaf181","RegionNum":2,"RegionCategory":"医学","ArticlePicture":[],"TitleCN":null,"AbstractTextCN":null,"PMCID":null,"EPubDate":"2025/7/1 0:00:00","PubModel":"eCollection","JCR":"Q1","JCRName":"UROLOGY & NEPHROLOGY","Score":null,"Total":0}
引用次数: 0

摘要

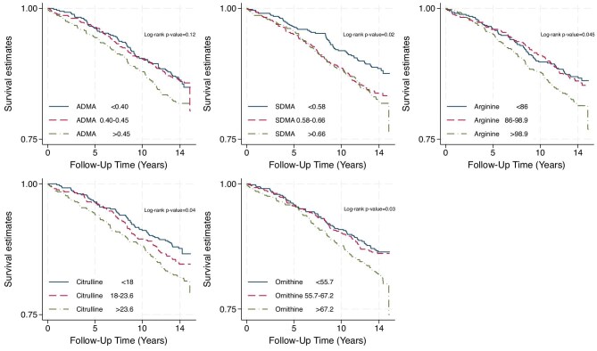
背景:一氧化氮(NO)对内皮功能障碍至关重要,其缺乏与心血管疾病(CVD)和肾功能受损有关。虽然研究已经探索了肾脏疾病、糖尿病(DM)或心血管疾病患者的NO代谢,但在健康人群中的关系尚不清楚。使用肾小球滤过率(eGFR)评估肾功能的研究可能引入非肾小球滤过率相关因素,从而混淆结果。我们研究了健康人群中no相关生物标志物与CVD结果之间的关系,比较了eGFR和测量GFR (mGFR)的调整。方法:这项为期14年的纵向研究在肾碘己醇清除率调查(RENIS)中评估了1575名健康的中年参与者,他们没有既往存在的糖尿病、心血管疾病或肾脏疾病。Cox回归模型评估了不对称二甲基精氨酸(ADMA)、对称二甲基精氨酸(SDMA)、精氨酸、瓜氨酸和鸟氨酸水平对心血管疾病发病率和全因死亡率的影响。使用碘己醇清除率的mGFR或基于血清肌酐(eGFRc rea)或胱抑素C (eGFRc ys)的eGFR调整GFR分析。结果:在所有GFR调整方法中,ADMA水平升高与CVD事件相关,mGFR的风险比(HR)为1.21[95%可信区间(CI) 1.06-1.38]。当调整eGFRc水平时,SDMA与CVD相关[HR 1.19 (95% CI 1.03-1.38)],而与mGFR或eGFRc水平无关。通过所有GFR方法,较高的瓜氨酸水平始终与CVD相关[mGFR的HR 1.17 (95% CI 1.03-1.33)]。没有生物标志物与全因死亡率相关。结论:在健康人群中,ADMA和瓜氨酸与CVD的发生相关,与GFR调整方法无关,而SDMA的关联取决于所使用的方法。
本文章由计算机程序翻译,如有差异,请以英文原文为准。

Asymmetric dimethylarginine and citrulline are risk factors for cardiovascular disease independently of both estimated and measured GFR.

Asymmetric dimethylarginine and citrulline are risk factors for cardiovascular disease independently of both estimated and measured GFR.

Asymmetric dimethylarginine and citrulline are risk factors for cardiovascular disease independently of both estimated and measured GFR.

Asymmetric dimethylarginine and citrulline are risk factors for cardiovascular disease independently of both estimated and measured GFR.

Background: Nitric oxide (NO) is crucial for endothelial dysfunction and its deficiency is linked to cardiovascular disease (CVD) and impaired kidney function. While research has explored NO metabolism in individuals with kidney disease, diabetes mellitus (DM) or CVD, the relationship in healthy individuals remains unclear. Studies using estimated glomerular filtration rate (eGFR) for kidney function may introduce non-GFR-related factors, confounding the results. We investigated the association between NO-related biomarkers and CVD outcomes in a healthy population, comparing adjustments using eGFR and measured GFR (mGFR).

Methods: This 14-year longitudinal study evaluated 1575 healthy, middle-aged participants without pre-existing DM, CVD or kidney disease in the Renal Iohexol Clearance Survey (RENIS). Cox regression models assessed the effects of asymmetric dimethylarginine (ADMA), symmetric dimethylarginine (SDMA), arginine, citrulline and ornithine levels on CVD incidence and all-cause mortality. Analyses were adjusted for GFR using mGFR by iohexol clearance or eGFR based on serum creatinine (eGFRc rea) or cystatin C (eGFRc ys).

Results: Elevated ADMA levels were associated with incident CVD across all GFR adjustment methods, with a hazard ratio (HR) of 1.21 [95% confidence interval (CI) 1.06-1.38] for mGFR. SDMA was associated with CVD when adjusting for eGFRc rea [HR 1.19 (95% CI 1.03-1.38)], not with mGFR or eGFRc ys. Through all GFR methods, higher citrulline levels consistently correlated with CVD [HR 1.17 (95% CI 1.03-1.33) for mGFR]. No biomarkers were linked to all-cause mortality.

Conclusions: In a healthy population, ADMA and citrulline were associated with incident CVD, regardless of the GFR adjustment method, while the association of SDMA depended on the method used.

求助全文
通过发布文献求助,成功后即可免费获取论文全文。 去求助
来源期刊
Clinical Kidney Journal
Clinical Kidney Journal Medicine-Transplantation
CiteScore
6.70
自引率
10.90%
发文量
242
审稿时长
8 weeks
期刊介绍: About the Journal Clinical Kidney Journal: Clinical and Translational Nephrology (ckj), an official journal of the ERA-EDTA (European Renal Association-European Dialysis and Transplant Association), is a fully open access, online only journal publishing bimonthly. The journal is an essential educational and training resource integrating clinical, translational and educational research into clinical practice. ckj aims to contribute to a translational research culture among nephrologists and kidney pathologists that helps close the gap between basic researchers and practicing clinicians and promote sorely needed innovation in the Nephrology field. All research articles in this journal have undergone peer review.
×
引用
GB/T 7714-2015
复制
MLA
复制
APA
复制
导出至
BibTeX EndNote RefMan NoteFirst NoteExpress
×
提示
您的信息不完整,为了账户安全,请先补充。
现在去补充
×
提示
您因"违规操作"
具体请查看互助需知
我知道了
×
提示
确定
请完成安全验证×
copy
已复制链接
快去分享给好友吧!
我知道了
右上角分享
点击右上角分享
0
联系我们:info@booksci.cn Book学术提供免费学术资源搜索服务,方便国内外学者检索中英文文献。致力于提供最便捷和优质的服务体验。 Copyright © 2023 布克学术 All rights reserved.
京ICP备2023020795号-1
ghs 京公网安备 11010802042870号
Book学术文献互助
Book学术文献互助群
群 号:604180095
Book学术官方微信