COVID-19对间质性肺疾病严重加重和死亡率的临床影响:感染后30天的预后

IF 2.4 4区 医学 Q2 MEDICINE, GENERAL & INTERNAL
Bo-Guen Kim, Sun-Kyung Lee, Dong Won Park, Tai Sun Park, Ji-Yong Moon, Tae-Hyung Kim, Sang-Heon Kim, Ho Joo Yoon, Hyun Lee
{"title":"COVID-19对间质性肺疾病严重加重和死亡率的临床影响:感染后30天的预后","authors":"Bo-Guen Kim, Sun-Kyung Lee, Dong Won Park, Tai Sun Park, Ji-Yong Moon, Tae-Hyung Kim, Sang-Heon Kim, Ho Joo Yoon, Hyun Lee","doi":"10.3904/kjim.2024.388","DOIUrl":null,"url":null,"abstract":"<p><strong>Background/aims: </strong>The impact of coronavirus disease 2019 (COVID-19) on severe exacerbation and mortality in interstitial lung disease (ILD) is unclear. In this study, we evaluate the risk of severe exacerbation and mortality in individuals with ILD following COVID-19.</p><p><strong>Methods: </strong>Using the Korean National Health Insurance claim-based database, we compared the incidence and risk of severe exacerbation and mortality in individuals with ILD who survived at least one month after COVID-19 (COVID-19 cohort, n = 359) and 1:3 age, sex, and body mass index-matched individuals with ILD who did not have COVID-19 (controls, n = 1,077) between October 8, 2020, and August 30, 2021.</p><p><strong>Results: </strong>During a mean follow-up of 7.4 months, the COVID-19 cohort had a higher risk of severe exacerbation compared to controls (aHR 2.26, 95% CI 1.38-3.69). During a mean follow-up of 19.6 months, the COVID-19 cohort had a higher risk of death (aHR 2.79, 95% CI 1.63-4.79) compared to controls. When considering COVID-19 severity, the severe COVID-19 group had a higher risk of severe exacerbation and death compared to controls, while the non-severe COVID-19 group did not show increased risk of severe exacerbation or death. In analyses based on ILD subtype, individuals with idiopathic pulmonary fibrosis in the COVID-19 cohort had the highest risk of severe exacerbation and death.</p><p><strong>Conclusion: </strong>Previous severe COVID-19 was associated with worse clinical outcomes in individuals with ILD, especially in patients with idiopathic pulmonary fibrosis.</p>","PeriodicalId":48785,"journal":{"name":"Korean Journal of Internal Medicine","volume":"40 4","pages":"634-644"},"PeriodicalIF":2.4000,"publicationDate":"2025-07-01","publicationTypes":"Journal Article","fieldsOfStudy":null,"isOpenAccess":false,"openAccessPdf":"https://www.ncbi.nlm.nih.gov/pmc/articles/PMC12257005/pdf/","citationCount":"0","resultStr":"{\"title\":\"Clinical impacts of COVID-19 on severe exacerbation and mortality in interstitial lung disease: prognosis 30 days after infection.\",\"authors\":\"Bo-Guen Kim, Sun-Kyung Lee, Dong Won Park, Tai Sun Park, Ji-Yong Moon, Tae-Hyung Kim, Sang-Heon Kim, Ho Joo Yoon, Hyun Lee\",\"doi\":\"10.3904/kjim.2024.388\",\"DOIUrl\":null,\"url\":null,\"abstract\":\"<p><strong>Background/aims: </strong>The impact of coronavirus disease 2019 (COVID-19) on severe exacerbation and mortality in interstitial lung disease (ILD) is unclear. In this study, we evaluate the risk of severe exacerbation and mortality in individuals with ILD following COVID-19.</p><p><strong>Methods: </strong>Using the Korean National Health Insurance claim-based database, we compared the incidence and risk of severe exacerbation and mortality in individuals with ILD who survived at least one month after COVID-19 (COVID-19 cohort, n = 359) and 1:3 age, sex, and body mass index-matched individuals with ILD who did not have COVID-19 (controls, n = 1,077) between October 8, 2020, and August 30, 2021.</p><p><strong>Results: </strong>During a mean follow-up of 7.4 months, the COVID-19 cohort had a higher risk of severe exacerbation compared to controls (aHR 2.26, 95% CI 1.38-3.69). During a mean follow-up of 19.6 months, the COVID-19 cohort had a higher risk of death (aHR 2.79, 95% CI 1.63-4.79) compared to controls. When considering COVID-19 severity, the severe COVID-19 group had a higher risk of severe exacerbation and death compared to controls, while the non-severe COVID-19 group did not show increased risk of severe exacerbation or death. In analyses based on ILD subtype, individuals with idiopathic pulmonary fibrosis in the COVID-19 cohort had the highest risk of severe exacerbation and death.</p><p><strong>Conclusion: </strong>Previous severe COVID-19 was associated with worse clinical outcomes in individuals with ILD, especially in patients with idiopathic pulmonary fibrosis.</p>\",\"PeriodicalId\":48785,\"journal\":{\"name\":\"Korean Journal of Internal Medicine\",\"volume\":\"40 4\",\"pages\":\"634-644\"},\"PeriodicalIF\":2.4000,\"publicationDate\":\"2025-07-01\",\"publicationTypes\":\"Journal Article\",\"fieldsOfStudy\":null,\"isOpenAccess\":false,\"openAccessPdf\":\"https://www.ncbi.nlm.nih.gov/pmc/articles/PMC12257005/pdf/\",\"citationCount\":\"0\",\"resultStr\":null,\"platform\":\"Semanticscholar\",\"paperid\":null,\"PeriodicalName\":\"Korean Journal of Internal Medicine\",\"FirstCategoryId\":\"3\",\"ListUrlMain\":\"https://doi.org/10.3904/kjim.2024.388\",\"RegionNum\":4,\"RegionCategory\":\"医学\",\"ArticlePicture\":[],\"TitleCN\":null,\"AbstractTextCN\":null,\"PMCID\":null,\"EPubDate\":\"\",\"PubModel\":\"\",\"JCR\":\"Q2\",\"JCRName\":\"MEDICINE, GENERAL & INTERNAL\",\"Score\":null,\"Total\":0}","platform":"Semanticscholar","paperid":null,"PeriodicalName":"Korean Journal of Internal Medicine","FirstCategoryId":"3","ListUrlMain":"https://doi.org/10.3904/kjim.2024.388","RegionNum":4,"RegionCategory":"医学","ArticlePicture":[],"TitleCN":null,"AbstractTextCN":null,"PMCID":null,"EPubDate":"","PubModel":"","JCR":"Q2","JCRName":"MEDICINE, GENERAL & INTERNAL","Score":null,"Total":0}
引用次数: 0

摘要

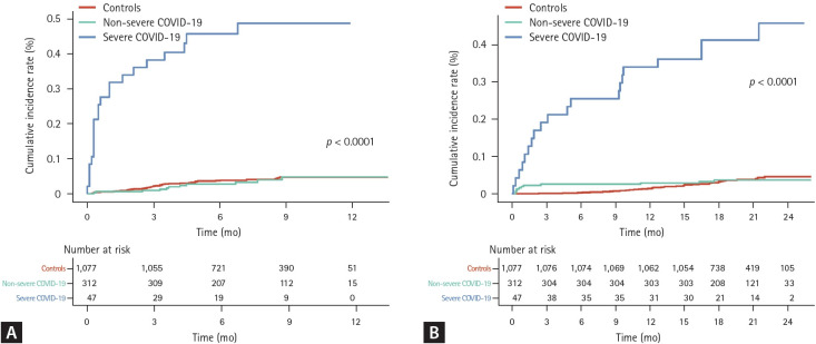
背景/目的:冠状病毒病2019 (COVID-19)对间质性肺疾病(ILD)严重加重和死亡率的影响尚不清楚。在这项研究中,我们评估了COVID-19后ILD患者严重恶化的风险和死亡率。方法:使用基于韩国国民健康保险索赔的数据库,我们比较了2020年10月8日至2021年8月30日期间,在COVID-19后存活至少一个月的ILD患者(COVID-19队列,n = 359)和1:3年龄、性别和体重指数匹配但未患COVID-19的ILD患者(对照组,n = 1,077)的严重恶化和死亡率的发病率、风险。结果:在平均7.4个月的随访期间,与对照组相比,COVID-19队列发生严重恶化的风险更高(aHR 2.26, 95% CI 1.38-3.69)。在平均19.6个月的随访期间,与对照组相比,COVID-19队列的死亡风险更高(aHR 2.79, 95% CI 1.63-4.79)。在考虑COVID-19严重程度时,与对照组相比,严重COVID-19组的严重恶化和死亡风险更高,而非严重COVID-19组的严重恶化或死亡风险未增加。在基于ILD亚型的分析中,COVID-19队列中患有特发性肺纤维化的个体严重恶化和死亡的风险最高。结论:先前严重的COVID-19与ILD患者的临床结果较差相关,特别是特发性肺纤维化患者。
本文章由计算机程序翻译,如有差异,请以英文原文为准。

Clinical impacts of COVID-19 on severe exacerbation and mortality in interstitial lung disease: prognosis 30 days after infection.

Clinical impacts of COVID-19 on severe exacerbation and mortality in interstitial lung disease: prognosis 30 days after infection.

Clinical impacts of COVID-19 on severe exacerbation and mortality in interstitial lung disease: prognosis 30 days after infection.

Clinical impacts of COVID-19 on severe exacerbation and mortality in interstitial lung disease: prognosis 30 days after infection.

Background/aims: The impact of coronavirus disease 2019 (COVID-19) on severe exacerbation and mortality in interstitial lung disease (ILD) is unclear. In this study, we evaluate the risk of severe exacerbation and mortality in individuals with ILD following COVID-19.

Methods: Using the Korean National Health Insurance claim-based database, we compared the incidence and risk of severe exacerbation and mortality in individuals with ILD who survived at least one month after COVID-19 (COVID-19 cohort, n = 359) and 1:3 age, sex, and body mass index-matched individuals with ILD who did not have COVID-19 (controls, n = 1,077) between October 8, 2020, and August 30, 2021.

Results: During a mean follow-up of 7.4 months, the COVID-19 cohort had a higher risk of severe exacerbation compared to controls (aHR 2.26, 95% CI 1.38-3.69). During a mean follow-up of 19.6 months, the COVID-19 cohort had a higher risk of death (aHR 2.79, 95% CI 1.63-4.79) compared to controls. When considering COVID-19 severity, the severe COVID-19 group had a higher risk of severe exacerbation and death compared to controls, while the non-severe COVID-19 group did not show increased risk of severe exacerbation or death. In analyses based on ILD subtype, individuals with idiopathic pulmonary fibrosis in the COVID-19 cohort had the highest risk of severe exacerbation and death.

Conclusion: Previous severe COVID-19 was associated with worse clinical outcomes in individuals with ILD, especially in patients with idiopathic pulmonary fibrosis.

求助全文
通过发布文献求助,成功后即可免费获取论文全文。 去求助
来源期刊
Korean Journal of Internal Medicine
Korean Journal of Internal Medicine MEDICINE, GENERAL & INTERNAL-
CiteScore
5.10
自引率
4.20%
发文量
129
审稿时长
20 weeks
期刊介绍: The Korean Journal of Internal Medicine is an international medical journal published in English by the Korean Association of Internal Medicine. The Journal publishes peer-reviewed original articles, reviews, and editorials on all aspects of medicine, including clinical investigations and basic research. Both human and experimental animal studies are welcome, as are new findings on the epidemiology, pathogenesis, diagnosis, and treatment of diseases. Case reports will be published only in exceptional circumstances, when they illustrate a rare occurrence of clinical importance. Letters to the editor are encouraged for specific comments on published articles and general viewpoints.
×
引用
GB/T 7714-2015
复制
MLA
复制
APA
复制
导出至
BibTeX EndNote RefMan NoteFirst NoteExpress
×
提示
您的信息不完整,为了账户安全,请先补充。
现在去补充
×
提示
您因"违规操作"
具体请查看互助需知
我知道了
×
提示
确定
请完成安全验证×
copy
已复制链接
快去分享给好友吧!
我知道了
右上角分享
点击右上角分享
0
联系我们:info@booksci.cn Book学术提供免费学术资源搜索服务,方便国内外学者检索中英文文献。致力于提供最便捷和优质的服务体验。 Copyright © 2023 布克学术 All rights reserved.
京ICP备2023020795号-1
ghs 京公网安备 11010802042870号
Book学术文献互助
Book学术文献互助群
群 号:604180095
Book学术官方微信