单等中心多靶点立体定向放射手术的多中心多平台实践模式分析。

IF 2.5 3区 医学 Q3 ONCOLOGY
Strahlentherapie und Onkologie Pub Date : 2025-09-01 Epub Date: 2025-07-10 DOI:10.1007/s00066-025-02424-w
Benedikt Thomann, Tobias Fechter, Johannes Fischer, Armin Runz, Julian Roers, Ute Ludwig, Melanie Grehn, Maximilian Grohmann, Christian Ziemann, Michael Judge, Wolfgang Baus, Michelle Grahle, Matthias Walke, Bastian Bathen, Janett Köhn, Paul Käthner, Maya Shariff, Rebecca Matthis, Jens Fleckenstein, Sascha Großmann, Tino Streller, Simon Howitz, Marlen Priegnitz, Rocco Weigel, Peter Winkler, Oliver Blanck, Daniela Schmitt, Jurgen Beck, Marcia Machein, Evangelos Pappas, Ilinca Popp, Michael Reiner, Christian P Karger, Christos Moustakis, Michael Bock, Anca-Ligia Grosu, Dimos Baltas
{"title":"单等中心多靶点立体定向放射手术的多中心多平台实践模式分析。","authors":"Benedikt Thomann, Tobias Fechter, Johannes Fischer, Armin Runz, Julian Roers, Ute Ludwig, Melanie Grehn, Maximilian Grohmann, Christian Ziemann, Michael Judge, Wolfgang Baus, Michelle Grahle, Matthias Walke, Bastian Bathen, Janett Köhn, Paul Käthner, Maya Shariff, Rebecca Matthis, Jens Fleckenstein, Sascha Großmann, Tino Streller, Simon Howitz, Marlen Priegnitz, Rocco Weigel, Peter Winkler, Oliver Blanck, Daniela Schmitt, Jurgen Beck, Marcia Machein, Evangelos Pappas, Ilinca Popp, Michael Reiner, Christian P Karger, Christos Moustakis, Michael Bock, Anca-Ligia Grosu, Dimos Baltas","doi":"10.1007/s00066-025-02424-w","DOIUrl":null,"url":null,"abstract":"<p><strong>Purpose: </strong>Single-isocenter multitarget stereotactic radiosurgery (SIMT SRS) offers enhanced clinical efficiency for treating multiple brain metastases. However, it introduces additional uncertainties, such as off-center dose and beam profile inaccuracies, as well as quality assurance (QA) challenges, complicating its implementation. This study aims to evaluate different SIMT SRS approaches.</p><p><strong>Methods: </strong>We collected and analyzed SIMT SRS protocol and infrastructure parameters from 23 radiotherapy centers across Germany, Austria, and Switzerland, encompassing immobilization systems, computed tomography (CT) protocols, linear accelerators, treatment planning systems, beam configurations, imaging techniques, and QA practices. Consensus, deviations, and compliance with current guidelines were assessed. Subsequent studies will include on-site measurements, evaluation of treatment plan quality and delivery accuracy, and correlation of these findings with the analyzed protocols to identify potential links between protocol parameters and clinical outcomes.</p><p><strong>Results: </strong>There is consensus (at least 80% agreement) for a CT slice thickness of ≤ 1 mm, the need for six-degree-of-freedom patient setup correction, and noncoplanar treatment. There is notable variability for intrafraction imaging (used by 70%), minimum accepted planning target volume diameter (ranging from 2-10 mm), SRS QA, and general plan parameters, such as photon energy and number of treatment fields. There is also high variability in employed linear accelerator models and treatment planning systems.</p><p><strong>Conclusion: </strong>These findings highlight a lack of standardization in SIMT SRS practices. Combined with future measurements correlating protocols to treatment quality, our study will provide a foundation for recommendations to support the safe and standardized implementation of SIMT SRS.</p>","PeriodicalId":21998,"journal":{"name":"Strahlentherapie und Onkologie","volume":" ","pages":"953-962"},"PeriodicalIF":2.5000,"publicationDate":"2025-09-01","publicationTypes":"Journal Article","fieldsOfStudy":null,"isOpenAccess":false,"openAccessPdf":"https://www.ncbi.nlm.nih.gov/pmc/articles/PMC12373538/pdf/","citationCount":"0","resultStr":"{\"title\":\"Multicenter multiplatform pattern-of-practice analysis of single-isocenter multitarget stereotactic radiosurgery.\",\"authors\":\"Benedikt Thomann, Tobias Fechter, Johannes Fischer, Armin Runz, Julian Roers, Ute Ludwig, Melanie Grehn, Maximilian Grohmann, Christian Ziemann, Michael Judge, Wolfgang Baus, Michelle Grahle, Matthias Walke, Bastian Bathen, Janett Köhn, Paul Käthner, Maya Shariff, Rebecca Matthis, Jens Fleckenstein, Sascha Großmann, Tino Streller, Simon Howitz, Marlen Priegnitz, Rocco Weigel, Peter Winkler, Oliver Blanck, Daniela Schmitt, Jurgen Beck, Marcia Machein, Evangelos Pappas, Ilinca Popp, Michael Reiner, Christian P Karger, Christos Moustakis, Michael Bock, Anca-Ligia Grosu, Dimos Baltas\",\"doi\":\"10.1007/s00066-025-02424-w\",\"DOIUrl\":null,\"url\":null,\"abstract\":\"<p><strong>Purpose: </strong>Single-isocenter multitarget stereotactic radiosurgery (SIMT SRS) offers enhanced clinical efficiency for treating multiple brain metastases. However, it introduces additional uncertainties, such as off-center dose and beam profile inaccuracies, as well as quality assurance (QA) challenges, complicating its implementation. This study aims to evaluate different SIMT SRS approaches.</p><p><strong>Methods: </strong>We collected and analyzed SIMT SRS protocol and infrastructure parameters from 23 radiotherapy centers across Germany, Austria, and Switzerland, encompassing immobilization systems, computed tomography (CT) protocols, linear accelerators, treatment planning systems, beam configurations, imaging techniques, and QA practices. Consensus, deviations, and compliance with current guidelines were assessed. Subsequent studies will include on-site measurements, evaluation of treatment plan quality and delivery accuracy, and correlation of these findings with the analyzed protocols to identify potential links between protocol parameters and clinical outcomes.</p><p><strong>Results: </strong>There is consensus (at least 80% agreement) for a CT slice thickness of ≤ 1 mm, the need for six-degree-of-freedom patient setup correction, and noncoplanar treatment. There is notable variability for intrafraction imaging (used by 70%), minimum accepted planning target volume diameter (ranging from 2-10 mm), SRS QA, and general plan parameters, such as photon energy and number of treatment fields. There is also high variability in employed linear accelerator models and treatment planning systems.</p><p><strong>Conclusion: </strong>These findings highlight a lack of standardization in SIMT SRS practices. Combined with future measurements correlating protocols to treatment quality, our study will provide a foundation for recommendations to support the safe and standardized implementation of SIMT SRS.</p>\",\"PeriodicalId\":21998,\"journal\":{\"name\":\"Strahlentherapie und Onkologie\",\"volume\":\" \",\"pages\":\"953-962\"},\"PeriodicalIF\":2.5000,\"publicationDate\":\"2025-09-01\",\"publicationTypes\":\"Journal Article\",\"fieldsOfStudy\":null,\"isOpenAccess\":false,\"openAccessPdf\":\"https://www.ncbi.nlm.nih.gov/pmc/articles/PMC12373538/pdf/\",\"citationCount\":\"0\",\"resultStr\":null,\"platform\":\"Semanticscholar\",\"paperid\":null,\"PeriodicalName\":\"Strahlentherapie und Onkologie\",\"FirstCategoryId\":\"3\",\"ListUrlMain\":\"https://doi.org/10.1007/s00066-025-02424-w\",\"RegionNum\":3,\"RegionCategory\":\"医学\",\"ArticlePicture\":[],\"TitleCN\":null,\"AbstractTextCN\":null,\"PMCID\":null,\"EPubDate\":\"2025/7/10 0:00:00\",\"PubModel\":\"Epub\",\"JCR\":\"Q3\",\"JCRName\":\"ONCOLOGY\",\"Score\":null,\"Total\":0}","platform":"Semanticscholar","paperid":null,"PeriodicalName":"Strahlentherapie und Onkologie","FirstCategoryId":"3","ListUrlMain":"https://doi.org/10.1007/s00066-025-02424-w","RegionNum":3,"RegionCategory":"医学","ArticlePicture":[],"TitleCN":null,"AbstractTextCN":null,"PMCID":null,"EPubDate":"2025/7/10 0:00:00","PubModel":"Epub","JCR":"Q3","JCRName":"ONCOLOGY","Score":null,"Total":0}
引用次数: 0

摘要

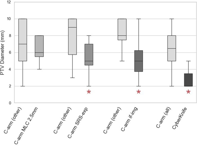
目的:单等中心多靶点立体定向放射治疗(SIMT SRS)可提高多发性脑转移瘤的临床疗效。然而,它引入了额外的不确定性,例如偏离中心的剂量和光束轮廓的不准确性,以及质量保证(QA)挑战,使其实施复杂化。本研究旨在评估不同的SIMT SRS方法。方法:我们收集并分析了来自德国、奥地利和瑞士的23个放疗中心的SIMT SRS协议和基础设施参数,包括固定系统、计算机断层扫描(CT)协议、线性加速器、治疗计划系统、光束配置、成像技术和质量保证实践。评估了共识、偏差和对当前指南的遵从性。后续研究将包括现场测量,评估治疗计划的质量和交付准确性,以及这些发现与分析方案的相关性,以确定方案参数与临床结果之间的潜在联系。结果:对于CT层厚度≤ 1 mm,需要六自由度患者设置矫正和非共面治疗,有共识(至少80%的一致性)。在屈光度成像(70%)、最小可接受的规划目标体积直径(范围为2-10 mm)、SRS QA和总体规划参数(如光子能量和治疗场数)方面存在显著的可变性。所采用的线性加速器模型和治疗计划系统也存在很大的可变性。结论:这些发现突出了SIMT SRS实践缺乏标准化。结合未来与治疗质量相关的测量结果,我们的研究将为支持SIMT SRS的安全和标准化实施提供建议基础。
本文章由计算机程序翻译,如有差异,请以英文原文为准。

Multicenter multiplatform pattern-of-practice analysis of single-isocenter multitarget stereotactic radiosurgery.

Multicenter multiplatform pattern-of-practice analysis of single-isocenter multitarget stereotactic radiosurgery.

Multicenter multiplatform pattern-of-practice analysis of single-isocenter multitarget stereotactic radiosurgery.

Multicenter multiplatform pattern-of-practice analysis of single-isocenter multitarget stereotactic radiosurgery.

Purpose: Single-isocenter multitarget stereotactic radiosurgery (SIMT SRS) offers enhanced clinical efficiency for treating multiple brain metastases. However, it introduces additional uncertainties, such as off-center dose and beam profile inaccuracies, as well as quality assurance (QA) challenges, complicating its implementation. This study aims to evaluate different SIMT SRS approaches.

Methods: We collected and analyzed SIMT SRS protocol and infrastructure parameters from 23 radiotherapy centers across Germany, Austria, and Switzerland, encompassing immobilization systems, computed tomography (CT) protocols, linear accelerators, treatment planning systems, beam configurations, imaging techniques, and QA practices. Consensus, deviations, and compliance with current guidelines were assessed. Subsequent studies will include on-site measurements, evaluation of treatment plan quality and delivery accuracy, and correlation of these findings with the analyzed protocols to identify potential links between protocol parameters and clinical outcomes.

Results: There is consensus (at least 80% agreement) for a CT slice thickness of ≤ 1 mm, the need for six-degree-of-freedom patient setup correction, and noncoplanar treatment. There is notable variability for intrafraction imaging (used by 70%), minimum accepted planning target volume diameter (ranging from 2-10 mm), SRS QA, and general plan parameters, such as photon energy and number of treatment fields. There is also high variability in employed linear accelerator models and treatment planning systems.

Conclusion: These findings highlight a lack of standardization in SIMT SRS practices. Combined with future measurements correlating protocols to treatment quality, our study will provide a foundation for recommendations to support the safe and standardized implementation of SIMT SRS.

求助全文
通过发布文献求助,成功后即可免费获取论文全文。 去求助
来源期刊
CiteScore
5.70
自引率
12.90%
发文量
141
审稿时长
3-8 weeks
期刊介绍: Strahlentherapie und Onkologie, published monthly, is a scientific journal that covers all aspects of oncology with focus on radiooncology, radiation biology and radiation physics. The articles are not only of interest to radiooncologists but to all physicians interested in oncology, to radiation biologists and radiation physicists. The journal publishes original articles, review articles and case studies that are peer-reviewed. It includes scientific short communications as well as a literature review with annotated articles that inform the reader on new developments in the various disciplines concerned and hence allow for a sound overview on the latest results in radiooncology research. Founded in 1912, Strahlentherapie und Onkologie is the oldest oncological journal in the world. Today, contributions are published in English and German. All articles have English summaries and legends. The journal is the official publication of several scientific radiooncological societies and publishes the relevant communications of these societies.
×
引用
GB/T 7714-2015
复制
MLA
复制
APA
复制
导出至
BibTeX EndNote RefMan NoteFirst NoteExpress
×
提示
您的信息不完整,为了账户安全,请先补充。
现在去补充
×
提示
您因"违规操作"
具体请查看互助需知
我知道了
×
提示
确定
请完成安全验证×
copy
已复制链接
快去分享给好友吧!
我知道了
右上角分享
点击右上角分享
0
联系我们:info@booksci.cn Book学术提供免费学术资源搜索服务,方便国内外学者检索中英文文献。致力于提供最便捷和优质的服务体验。 Copyright © 2023 布克学术 All rights reserved.
京ICP备2023020795号-1
ghs 京公网安备 11010802042870号
Book学术文献互助
Book学术文献互助群
群 号:604180095
Book学术官方微信