教练的眼睛:一项随机重复测量的观察性研究,评估教练在阻力训练中对速度损失的感知。

IF 5.9 2区 医学 Q1 SPORT SCIENCES
Antonio Dello Iacono, Scott Henry, Asaf Ben-Ari, Israel Halperin, Laura Carey
{"title":"教练的眼睛:一项随机重复测量的观察性研究,评估教练在阻力训练中对速度损失的感知。","authors":"Antonio Dello Iacono, Scott Henry, Asaf Ben-Ari, Israel Halperin, Laura Carey","doi":"10.1186/s40798-025-00890-1","DOIUrl":null,"url":null,"abstract":"<p><strong>Background: </strong>Resistance training (RT) coaches regularly instruct their trainees to terminate a set when the repetition velocity drops below a certain threshold, aligned with the principles of velocity loss in velocity-based training (VBT). However, absent of a velocity-tracking device, coaches are required to detect velocity loss through observation-a topic that has never been studied. Here, we assess the accuracy of RT coaches in detecting when trainees reach specific repetition velocity loss thresholds.</p><p><strong>Methods: </strong>Twenty RT coaches participated in a single experimental session. They observed videos of two trainees completing sets of the barbell bench press and barbell back squat exercises, using three loads (45%, 65%, and 85% of 1 repetition-maximum [1RM]), and recorded from two views (front and side). We asked them to detect when repetition velocity dropped below two velocity loss thresholds (20% and 40% relative to their first repetition). We examined whether load, velocity loss threshold, view, mental fatigue, and gaze strategy (bar or no-bar tracking) influenced accuracy. We compared outcomes using a negative binomial generalized mixed-effects model.</p><p><strong>Results: </strong>The average absolute error across all conditions was 2.6 repetitions. Coaches improved their accuracy (negative estimates indicate reduced error) when observing a higher velocity loss threshold (40% vs 20%; - 1.8, 95%CI [- 2.3, - 1.3]); observing heavier loads (- 0.8, 95% CI [- 1.5, - 0.1] for 65% 1RM, and - 3, 95%CI [- 3.4, - 2.6] for 85% 1RM compared to 45% 1RM); and employing a bar tracking gaze strategy compared to a no-bar strategy (- 1.7, 95%CI [- 2.7, - 0.4]). In contrast, point of view and mental fatigue had a negligible effect.</p><p><strong>Conclusions: </strong>While coaches detect velocity loss with some degree of accuracy, their error rates vary depending on the threshold, load, and gaze strategy. These factors should be considered when using perceived velocity loss in practice.</p>","PeriodicalId":21788,"journal":{"name":"Sports Medicine - Open","volume":"11 1","pages":"83"},"PeriodicalIF":5.9000,"publicationDate":"2025-07-09","publicationTypes":"Journal Article","fieldsOfStudy":null,"isOpenAccess":false,"openAccessPdf":"https://www.ncbi.nlm.nih.gov/pmc/articles/PMC12240891/pdf/","citationCount":"0","resultStr":"{\"title\":\"The Coach's Eye: A Randomized Repeated-Measure Observational Study Assessing Coaches' Perception of Velocity Loss During Resistance Training Exercises.\",\"authors\":\"Antonio Dello Iacono, Scott Henry, Asaf Ben-Ari, Israel Halperin, Laura Carey\",\"doi\":\"10.1186/s40798-025-00890-1\",\"DOIUrl\":null,\"url\":null,\"abstract\":\"<p><strong>Background: </strong>Resistance training (RT) coaches regularly instruct their trainees to terminate a set when the repetition velocity drops below a certain threshold, aligned with the principles of velocity loss in velocity-based training (VBT). However, absent of a velocity-tracking device, coaches are required to detect velocity loss through observation-a topic that has never been studied. Here, we assess the accuracy of RT coaches in detecting when trainees reach specific repetition velocity loss thresholds.</p><p><strong>Methods: </strong>Twenty RT coaches participated in a single experimental session. They observed videos of two trainees completing sets of the barbell bench press and barbell back squat exercises, using three loads (45%, 65%, and 85% of 1 repetition-maximum [1RM]), and recorded from two views (front and side). We asked them to detect when repetition velocity dropped below two velocity loss thresholds (20% and 40% relative to their first repetition). We examined whether load, velocity loss threshold, view, mental fatigue, and gaze strategy (bar or no-bar tracking) influenced accuracy. We compared outcomes using a negative binomial generalized mixed-effects model.</p><p><strong>Results: </strong>The average absolute error across all conditions was 2.6 repetitions. Coaches improved their accuracy (negative estimates indicate reduced error) when observing a higher velocity loss threshold (40% vs 20%; - 1.8, 95%CI [- 2.3, - 1.3]); observing heavier loads (- 0.8, 95% CI [- 1.5, - 0.1] for 65% 1RM, and - 3, 95%CI [- 3.4, - 2.6] for 85% 1RM compared to 45% 1RM); and employing a bar tracking gaze strategy compared to a no-bar strategy (- 1.7, 95%CI [- 2.7, - 0.4]). In contrast, point of view and mental fatigue had a negligible effect.</p><p><strong>Conclusions: </strong>While coaches detect velocity loss with some degree of accuracy, their error rates vary depending on the threshold, load, and gaze strategy. These factors should be considered when using perceived velocity loss in practice.</p>\",\"PeriodicalId\":21788,\"journal\":{\"name\":\"Sports Medicine - Open\",\"volume\":\"11 1\",\"pages\":\"83\"},\"PeriodicalIF\":5.9000,\"publicationDate\":\"2025-07-09\",\"publicationTypes\":\"Journal Article\",\"fieldsOfStudy\":null,\"isOpenAccess\":false,\"openAccessPdf\":\"https://www.ncbi.nlm.nih.gov/pmc/articles/PMC12240891/pdf/\",\"citationCount\":\"0\",\"resultStr\":null,\"platform\":\"Semanticscholar\",\"paperid\":null,\"PeriodicalName\":\"Sports Medicine - Open\",\"FirstCategoryId\":\"3\",\"ListUrlMain\":\"https://doi.org/10.1186/s40798-025-00890-1\",\"RegionNum\":2,\"RegionCategory\":\"医学\",\"ArticlePicture\":[],\"TitleCN\":null,\"AbstractTextCN\":null,\"PMCID\":null,\"EPubDate\":\"\",\"PubModel\":\"\",\"JCR\":\"Q1\",\"JCRName\":\"SPORT SCIENCES\",\"Score\":null,\"Total\":0}","platform":"Semanticscholar","paperid":null,"PeriodicalName":"Sports Medicine - Open","FirstCategoryId":"3","ListUrlMain":"https://doi.org/10.1186/s40798-025-00890-1","RegionNum":2,"RegionCategory":"医学","ArticlePicture":[],"TitleCN":null,"AbstractTextCN":null,"PMCID":null,"EPubDate":"","PubModel":"","JCR":"Q1","JCRName":"SPORT SCIENCES","Score":null,"Total":0}
引用次数: 0

摘要

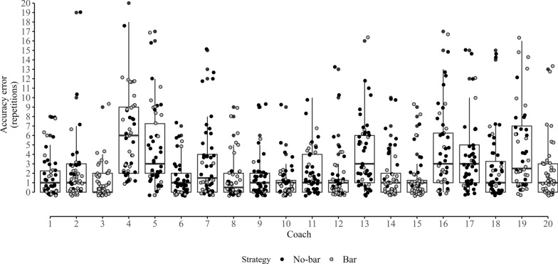
背景:阻力训练(RT)教练会根据速度基础训练(VBT)中的速度损失原理,在重复速度下降到一定阈值以下时,定期指导受训者终止一组训练。然而,由于缺乏速度跟踪设备,教练员需要通过观察来检测速度损失——这是一个从未被研究过的话题。在这里,我们评估RT教练在检测练习者何时达到特定的重复速度损失阈值方面的准确性。方法:20名RT教练员参加单次实验。他们观察了两名学员完成杠铃卧推和杠铃后蹲练习的视频,使用三种负荷(45%、65%和85%的最大重复次数[1RM]),并从两个角度(正面和侧面)记录。我们要求他们检测重复速度何时下降到两个速度损失阈值以下(相对于第一次重复20%和40%)。我们检查了负荷、速度损失阈值、视野、精神疲劳和凝视策略(杆或无杆跟踪)是否影响准确性。我们使用负二项广义混合效应模型比较结果。结果:所有条件下的平均绝对误差为2.6次重复。当观察到更高的速度损失阈值(40% vs 20%; - 1.8, 95%CI[- 2.3, - 1.3])时,教练提高了他们的准确性(负估计表明错误减少);观察到更重的负荷(65% 1RM组为- 0.8,95%CI [- 1.5, - 0.1], 85% 1RM组为- 3.95,95%CI[- 3.4, - 2.6],而45% 1RM组为45%);与无杆注视策略相比,采用杆跟踪凝视策略(- 1.7,95%CI[- 2.7, - 0.4])。相反,观点和精神疲劳的影响可以忽略不计。结论:虽然教练检测速度损失有一定程度的准确性,但他们的错误率取决于阈值、负荷和注视策略。在实际使用感知速度损失时,应考虑这些因素。
本文章由计算机程序翻译,如有差异,请以英文原文为准。

The Coach's Eye: A Randomized Repeated-Measure Observational Study Assessing Coaches' Perception of Velocity Loss During Resistance Training Exercises.

The Coach's Eye: A Randomized Repeated-Measure Observational Study Assessing Coaches' Perception of Velocity Loss During Resistance Training Exercises.

The Coach's Eye: A Randomized Repeated-Measure Observational Study Assessing Coaches' Perception of Velocity Loss During Resistance Training Exercises.

Background: Resistance training (RT) coaches regularly instruct their trainees to terminate a set when the repetition velocity drops below a certain threshold, aligned with the principles of velocity loss in velocity-based training (VBT). However, absent of a velocity-tracking device, coaches are required to detect velocity loss through observation-a topic that has never been studied. Here, we assess the accuracy of RT coaches in detecting when trainees reach specific repetition velocity loss thresholds.

Methods: Twenty RT coaches participated in a single experimental session. They observed videos of two trainees completing sets of the barbell bench press and barbell back squat exercises, using three loads (45%, 65%, and 85% of 1 repetition-maximum [1RM]), and recorded from two views (front and side). We asked them to detect when repetition velocity dropped below two velocity loss thresholds (20% and 40% relative to their first repetition). We examined whether load, velocity loss threshold, view, mental fatigue, and gaze strategy (bar or no-bar tracking) influenced accuracy. We compared outcomes using a negative binomial generalized mixed-effects model.

Results: The average absolute error across all conditions was 2.6 repetitions. Coaches improved their accuracy (negative estimates indicate reduced error) when observing a higher velocity loss threshold (40% vs 20%; - 1.8, 95%CI [- 2.3, - 1.3]); observing heavier loads (- 0.8, 95% CI [- 1.5, - 0.1] for 65% 1RM, and - 3, 95%CI [- 3.4, - 2.6] for 85% 1RM compared to 45% 1RM); and employing a bar tracking gaze strategy compared to a no-bar strategy (- 1.7, 95%CI [- 2.7, - 0.4]). In contrast, point of view and mental fatigue had a negligible effect.

Conclusions: While coaches detect velocity loss with some degree of accuracy, their error rates vary depending on the threshold, load, and gaze strategy. These factors should be considered when using perceived velocity loss in practice.

求助全文
通过发布文献求助,成功后即可免费获取论文全文。 去求助
来源期刊
Sports Medicine - Open
Sports Medicine - Open SPORT SCIENCES-
CiteScore
7.00
自引率
4.30%
发文量
142
审稿时长
13 weeks
×
引用
GB/T 7714-2015
复制
MLA
复制
APA
复制
导出至
BibTeX EndNote RefMan NoteFirst NoteExpress
×
提示
您的信息不完整,为了账户安全,请先补充。
现在去补充
×
提示
您因"违规操作"
具体请查看互助需知
我知道了
×
提示
确定
请完成安全验证×
copy
已复制链接
快去分享给好友吧!
我知道了
右上角分享
点击右上角分享
0
联系我们:info@booksci.cn Book学术提供免费学术资源搜索服务,方便国内外学者检索中英文文献。致力于提供最便捷和优质的服务体验。 Copyright © 2023 布克学术 All rights reserved.
京ICP备2023020795号-1
ghs 京公网安备 11010802042870号
Book学术文献互助
Book学术文献互助群
群 号:604180095
Book学术官方微信