低氧负担和T90%作为阻塞性睡眠呼吸暂停患者心血管风险和心肌缺血的预测指标。

IF 3.4 2区 医学 Q2 CLINICAL NEUROLOGY
Nature and Science of Sleep Pub Date : 2025-07-05 eCollection Date: 2025-01-01 DOI:10.2147/NSS.S533596
Wenmei Zeng, Sulong Wu, Zhuofan Liu, Long Yuan, Bilin Chen, Yan Rong
{"title":"低氧负担和T90%作为阻塞性睡眠呼吸暂停患者心血管风险和心肌缺血的预测指标。","authors":"Wenmei Zeng, Sulong Wu, Zhuofan Liu, Long Yuan, Bilin Chen, Yan Rong","doi":"10.2147/NSS.S533596","DOIUrl":null,"url":null,"abstract":"<p><strong>Purpose: </strong>This study analyzed the role of hypoxic burden and the percentage of time with blood oxygen saturation below 90% (T90%) in assessing the myocardial ischemia and cardiovascular risk in obstructive sleep apnea (OSA) patients using portable sleep monitors.</p><p><strong>Patients and methods: </strong>We conducted a prospective observational study of hospitalized OSA patients diagnosed by portable sleep monitors at a single tertiary center in Southern China from January 2022 to March 2024. Cardiovascular risk was assessed with the China-PAR model including anthropometric measurements and risk factors. Myocardial ischemia was evaluated via electrocardiogram. Factors including hypoxic burden severity categories, apnea-hypopnea index severity categories, respiratory event durations (apnea%, hypopnea%, and combined%), and oxygen desaturation metrics (T90%/T85%/T80%) were analyzed with binary logistic regression for 10-year atherosclerotic cardiovascular disease (ASCVD) risk and myocardial ischemia evaluation in OSA patients. The diagnostic value was analyzed with the receiver operating characteristic curve.</p><p><strong>Results: </strong>A total of 311 OSA patients were included, with a median age of 53 years, 75.6% of whom were male. Among them, 51.4% demonstrated electrocardiogram changes indicative of myocardial ischemia, and 55.3% had moderate-to-high 10-year ASCVD risk. Patients with moderate-to-high ASCVD risk had higher hypoxic burdens and T90%. Both the hypoxic burden and T90% showed significant predictive value for cardiovascular risk stratification. Clinically meaningful thresholds were established: 125.8%min/h for hypoxic burden and 3.05% for T90% in ASCVD risk prediction (area under the curve 0.747-0.754), and 112.6%min/h and 4.20% for myocardial ischemia detection (area under the curve 0.741-0.769).</p><p><strong>Conclusion: </strong>The hypoxic burden and T90% obtained from portable sleep monitors can be valuable indicators for assessing cardiovascular risk in OSA patients. Cardiovascular risk stratification increases patient and physician vigilance toward the detrimental effects of OSA and provides practical decision points for clinicians for further evaluation and treatment.</p>","PeriodicalId":18896,"journal":{"name":"Nature and Science of Sleep","volume":"17 ","pages":"1557-1570"},"PeriodicalIF":3.4000,"publicationDate":"2025-07-05","publicationTypes":"Journal Article","fieldsOfStudy":null,"isOpenAccess":false,"openAccessPdf":"https://www.ncbi.nlm.nih.gov/pmc/articles/PMC12239998/pdf/","citationCount":"0","resultStr":"{\"title\":\"Hypoxic Burden and T90% as Predictive Indicators of Cardiovascular Risk and Myocardial Ischemia in Patients with Obstructive Sleep Apnea.\",\"authors\":\"Wenmei Zeng, Sulong Wu, Zhuofan Liu, Long Yuan, Bilin Chen, Yan Rong\",\"doi\":\"10.2147/NSS.S533596\",\"DOIUrl\":null,\"url\":null,\"abstract\":\"<p><strong>Purpose: </strong>This study analyzed the role of hypoxic burden and the percentage of time with blood oxygen saturation below 90% (T90%) in assessing the myocardial ischemia and cardiovascular risk in obstructive sleep apnea (OSA) patients using portable sleep monitors.</p><p><strong>Patients and methods: </strong>We conducted a prospective observational study of hospitalized OSA patients diagnosed by portable sleep monitors at a single tertiary center in Southern China from January 2022 to March 2024. Cardiovascular risk was assessed with the China-PAR model including anthropometric measurements and risk factors. Myocardial ischemia was evaluated via electrocardiogram. Factors including hypoxic burden severity categories, apnea-hypopnea index severity categories, respiratory event durations (apnea%, hypopnea%, and combined%), and oxygen desaturation metrics (T90%/T85%/T80%) were analyzed with binary logistic regression for 10-year atherosclerotic cardiovascular disease (ASCVD) risk and myocardial ischemia evaluation in OSA patients. The diagnostic value was analyzed with the receiver operating characteristic curve.</p><p><strong>Results: </strong>A total of 311 OSA patients were included, with a median age of 53 years, 75.6% of whom were male. Among them, 51.4% demonstrated electrocardiogram changes indicative of myocardial ischemia, and 55.3% had moderate-to-high 10-year ASCVD risk. Patients with moderate-to-high ASCVD risk had higher hypoxic burdens and T90%. Both the hypoxic burden and T90% showed significant predictive value for cardiovascular risk stratification. Clinically meaningful thresholds were established: 125.8%min/h for hypoxic burden and 3.05% for T90% in ASCVD risk prediction (area under the curve 0.747-0.754), and 112.6%min/h and 4.20% for myocardial ischemia detection (area under the curve 0.741-0.769).</p><p><strong>Conclusion: </strong>The hypoxic burden and T90% obtained from portable sleep monitors can be valuable indicators for assessing cardiovascular risk in OSA patients. Cardiovascular risk stratification increases patient and physician vigilance toward the detrimental effects of OSA and provides practical decision points for clinicians for further evaluation and treatment.</p>\",\"PeriodicalId\":18896,\"journal\":{\"name\":\"Nature and Science of Sleep\",\"volume\":\"17 \",\"pages\":\"1557-1570\"},\"PeriodicalIF\":3.4000,\"publicationDate\":\"2025-07-05\",\"publicationTypes\":\"Journal Article\",\"fieldsOfStudy\":null,\"isOpenAccess\":false,\"openAccessPdf\":\"https://www.ncbi.nlm.nih.gov/pmc/articles/PMC12239998/pdf/\",\"citationCount\":\"0\",\"resultStr\":null,\"platform\":\"Semanticscholar\",\"paperid\":null,\"PeriodicalName\":\"Nature and Science of Sleep\",\"FirstCategoryId\":\"3\",\"ListUrlMain\":\"https://doi.org/10.2147/NSS.S533596\",\"RegionNum\":2,\"RegionCategory\":\"医学\",\"ArticlePicture\":[],\"TitleCN\":null,\"AbstractTextCN\":null,\"PMCID\":null,\"EPubDate\":\"2025/1/1 0:00:00\",\"PubModel\":\"eCollection\",\"JCR\":\"Q2\",\"JCRName\":\"CLINICAL NEUROLOGY\",\"Score\":null,\"Total\":0}","platform":"Semanticscholar","paperid":null,"PeriodicalName":"Nature and Science of Sleep","FirstCategoryId":"3","ListUrlMain":"https://doi.org/10.2147/NSS.S533596","RegionNum":2,"RegionCategory":"医学","ArticlePicture":[],"TitleCN":null,"AbstractTextCN":null,"PMCID":null,"EPubDate":"2025/1/1 0:00:00","PubModel":"eCollection","JCR":"Q2","JCRName":"CLINICAL NEUROLOGY","Score":null,"Total":0}
引用次数: 0

摘要

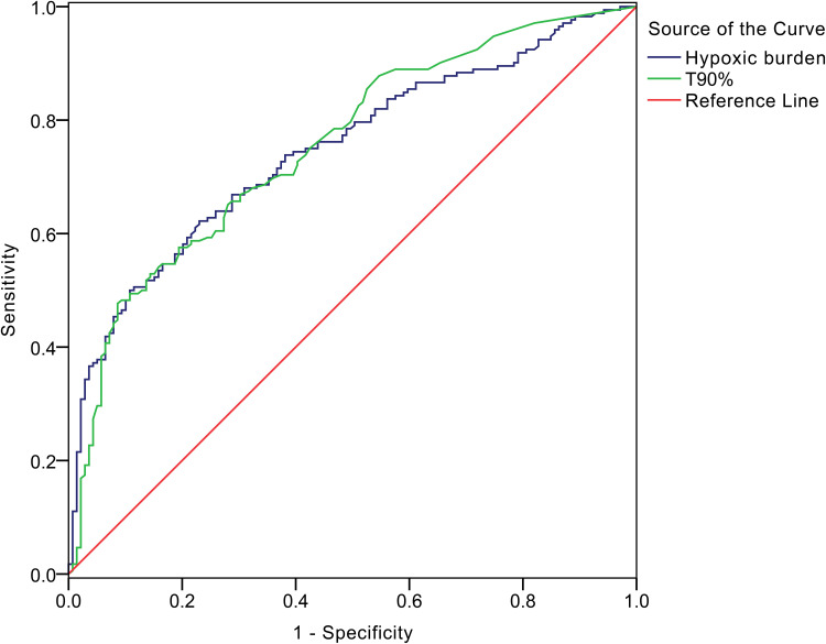
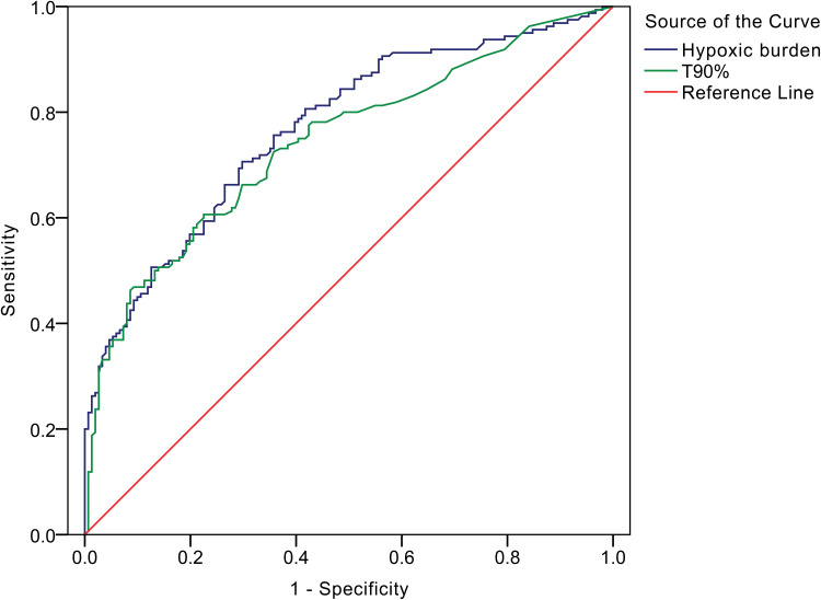
目的:本研究利用便携式睡眠监测仪分析低氧负担和血氧饱和度低于90%的时间百分比(T90%)在评估阻塞性睡眠呼吸暂停(OSA)患者心肌缺血和心血管风险中的作用。患者和方法:我们对2022年1月至2024年3月在中国南方单一三级中心通过便携式睡眠监测仪诊断的住院OSA患者进行了一项前瞻性观察研究。采用中国- par模型评估心血管风险,包括人体测量和危险因素。通过心电图评估心肌缺血程度。采用二元logistic回归分析OSA患者10年动脉粥样硬化性心血管疾病(ASCVD)风险和心肌缺血评价的因素,包括缺氧负担严重程度类别、呼吸暂停-低通气指数严重程度类别、呼吸事件持续时间(呼吸暂停%、低通气%和合并%)和氧去饱和度指标(T90%/T85%/T80%)。用受者工作特征曲线分析诊断价值。结果:共纳入311例OSA患者,中位年龄53岁,男性占75.6%。其中51.4%的患者心电图改变提示心肌缺血,55.3%的患者10年ASCVD风险为中高。中高ASCVD风险患者的缺氧负担和T90%较高。低氧负担和T90%对心血管危险分层具有显著的预测价值。建立具有临床意义的阈值:预测ASCVD风险的缺氧负担125.8%min/h、T90% 3.05%(曲线下面积0.747 ~ 0.754),心肌缺血检测112.6%min/h、4.20%(曲线下面积0.741 ~ 0.769)。结论:便携式睡眠监测仪获得的低氧负担和T90%可作为评估OSA患者心血管风险的重要指标。心血管风险分层提高了患者和医生对OSA有害影响的警惕性,并为临床医生提供了进一步评估和治疗的实用决策点。
本文章由计算机程序翻译,如有差异,请以英文原文为准。

Hypoxic Burden and T90% as Predictive Indicators of Cardiovascular Risk and Myocardial Ischemia in Patients with Obstructive Sleep Apnea.

Hypoxic Burden and T90% as Predictive Indicators of Cardiovascular Risk and Myocardial Ischemia in Patients with Obstructive Sleep Apnea.

Hypoxic Burden and T90% as Predictive Indicators of Cardiovascular Risk and Myocardial Ischemia in Patients with Obstructive Sleep Apnea.

Purpose: This study analyzed the role of hypoxic burden and the percentage of time with blood oxygen saturation below 90% (T90%) in assessing the myocardial ischemia and cardiovascular risk in obstructive sleep apnea (OSA) patients using portable sleep monitors.

Patients and methods: We conducted a prospective observational study of hospitalized OSA patients diagnosed by portable sleep monitors at a single tertiary center in Southern China from January 2022 to March 2024. Cardiovascular risk was assessed with the China-PAR model including anthropometric measurements and risk factors. Myocardial ischemia was evaluated via electrocardiogram. Factors including hypoxic burden severity categories, apnea-hypopnea index severity categories, respiratory event durations (apnea%, hypopnea%, and combined%), and oxygen desaturation metrics (T90%/T85%/T80%) were analyzed with binary logistic regression for 10-year atherosclerotic cardiovascular disease (ASCVD) risk and myocardial ischemia evaluation in OSA patients. The diagnostic value was analyzed with the receiver operating characteristic curve.

Results: A total of 311 OSA patients were included, with a median age of 53 years, 75.6% of whom were male. Among them, 51.4% demonstrated electrocardiogram changes indicative of myocardial ischemia, and 55.3% had moderate-to-high 10-year ASCVD risk. Patients with moderate-to-high ASCVD risk had higher hypoxic burdens and T90%. Both the hypoxic burden and T90% showed significant predictive value for cardiovascular risk stratification. Clinically meaningful thresholds were established: 125.8%min/h for hypoxic burden and 3.05% for T90% in ASCVD risk prediction (area under the curve 0.747-0.754), and 112.6%min/h and 4.20% for myocardial ischemia detection (area under the curve 0.741-0.769).

Conclusion: The hypoxic burden and T90% obtained from portable sleep monitors can be valuable indicators for assessing cardiovascular risk in OSA patients. Cardiovascular risk stratification increases patient and physician vigilance toward the detrimental effects of OSA and provides practical decision points for clinicians for further evaluation and treatment.

求助全文
通过发布文献求助,成功后即可免费获取论文全文。 去求助
来源期刊
Nature and Science of Sleep
Nature and Science of Sleep Neuroscience-Behavioral Neuroscience
CiteScore
5.70
自引率
5.90%
发文量
245
审稿时长
16 weeks
期刊介绍: Nature and Science of Sleep is an international, peer-reviewed, open access journal covering all aspects of sleep science and sleep medicine, including the neurophysiology and functions of sleep, the genetics of sleep, sleep and society, biological rhythms, dreaming, sleep disorders and therapy, and strategies to optimize healthy sleep. Specific topics covered in the journal include: The functions of sleep in humans and other animals Physiological and neurophysiological changes with sleep The genetics of sleep and sleep differences The neurotransmitters, receptors and pathways involved in controlling both sleep and wakefulness Behavioral and pharmacological interventions aimed at improving sleep, and improving wakefulness Sleep changes with development and with age Sleep and reproduction (e.g., changes across the menstrual cycle, with pregnancy and menopause) The science and nature of dreams Sleep disorders Impact of sleep and sleep disorders on health, daytime function and quality of life Sleep problems secondary to clinical disorders Interaction of society with sleep (e.g., consequences of shift work, occupational health, public health) The microbiome and sleep Chronotherapy Impact of circadian rhythms on sleep, physiology, cognition and health Mechanisms controlling circadian rhythms, centrally and peripherally Impact of circadian rhythm disruptions (including night shift work, jet lag and social jet lag) on sleep, physiology, cognition and health Behavioral and pharmacological interventions aimed at reducing adverse effects of circadian-related sleep disruption Assessment of technologies and biomarkers for measuring sleep and/or circadian rhythms Epigenetic markers of sleep or circadian disruption.
×
引用
GB/T 7714-2015
复制
MLA
复制
APA
复制
导出至
BibTeX EndNote RefMan NoteFirst NoteExpress
×
提示
您的信息不完整,为了账户安全,请先补充。
现在去补充
×
提示
您因"违规操作"
具体请查看互助需知
我知道了
×
提示
确定
请完成安全验证×
copy
已复制链接
快去分享给好友吧!
我知道了
右上角分享
点击右上角分享
0
联系我们:info@booksci.cn Book学术提供免费学术资源搜索服务,方便国内外学者检索中英文文献。致力于提供最便捷和优质的服务体验。 Copyright © 2023 布克学术 All rights reserved.
京ICP备2023020795号-1
ghs 京公网安备 11010802042870号
Book学术文献互助
Book学术文献互助群
群 号:604180095
Book学术官方微信