蜂蜜溶液对术后应激、胃动力和患者舒适度的影响:一项随机对照试验。

IF 2.3 4区 医学 Q2 MEDICINE, GENERAL & INTERNAL
Croatian Medical Journal Pub Date : 2025-07-05
Janja Tarčuković, Lucia Klarica, Mario Dugonjić, Ivan Vuksan, Tomislav Pavlešić, Pavica Šonjić, Lidija Bilić-Zulle, Miroslav Župčić, Alan Šustić, Marko Zelić
{"title":"蜂蜜溶液对术后应激、胃动力和患者舒适度的影响:一项随机对照试验。","authors":"Janja Tarčuković, Lucia Klarica, Mario Dugonjić, Ivan Vuksan, Tomislav Pavlešić, Pavica Šonjić, Lidija Bilić-Zulle, Miroslav Župčić, Alan Šustić, Marko Zelić","doi":"","DOIUrl":null,"url":null,"abstract":"<p><strong>Aim: </strong>To compare the effects of an in-house prepared honey solution (HS) and a commercial carbohydrate beverage (CCB) on postoperative stress response, gastric motility, and self-reported comfort in patients undergoing laparoscopic cholecystectomy.</p><p><strong>Methods: </strong>This randomized controlled trial enrolled 55 adult patients (the American Society of Anesthesiologists physical status I-II) undergoing laparoscopic cholecystectomy at the University Hospital Center Rijeka from January 1, 2022, to December 31, 2022. Participants were randomly assigned to receive either HS (n=20), prepared from diluted chestnut honey, or CCB (n=35). Both solutions were administered in the volumes of 800 mL the evening before surgery and 400 mL two hours before anesthesia. Stress response and inflammation were assessed by measuring cortisol and interleukin 6 levels at six standardized time points. Gastric motility was evaluated with a paracetamol absorption test, and patient-reported outcomes were recorded postoperatively using a visual analogue scale.</p><p><strong>Results: </strong>The HS group exhibited higher cortisol and interleukin 6 levels at multiple perioperative time points compared with the CCB group (P<0.05). However, they had significantly improved gastric motility, with higher paracetamol concentrations 15 to 180 minutes post-ingestion (P=0.028-0.001). Additionally, HS group reported reduced thirst, nausea, and pain, but had lower appetite and well-being scores.</p><p><strong>Conclusion: </strong>While HS represents a potential natural and cost-effective alternative to CCB, further studies are needed to determine its role within preoperative nutrition strategies for enhanced recovery after surgery.</p>","PeriodicalId":10796,"journal":{"name":"Croatian Medical Journal","volume":"66 3","pages":"204-212"},"PeriodicalIF":2.3000,"publicationDate":"2025-07-05","publicationTypes":"Journal Article","fieldsOfStudy":null,"isOpenAccess":false,"openAccessPdf":"https://www.ncbi.nlm.nih.gov/pmc/articles/PMC12426867/pdf/","citationCount":"0","resultStr":"{\"title\":\"The effects of honey solution on postoperative stress, gastric motility, and patient comfort: a randomized controlled trial.\",\"authors\":\"Janja Tarčuković, Lucia Klarica, Mario Dugonjić, Ivan Vuksan, Tomislav Pavlešić, Pavica Šonjić, Lidija Bilić-Zulle, Miroslav Župčić, Alan Šustić, Marko Zelić\",\"doi\":\"\",\"DOIUrl\":null,\"url\":null,\"abstract\":\"<p><strong>Aim: </strong>To compare the effects of an in-house prepared honey solution (HS) and a commercial carbohydrate beverage (CCB) on postoperative stress response, gastric motility, and self-reported comfort in patients undergoing laparoscopic cholecystectomy.</p><p><strong>Methods: </strong>This randomized controlled trial enrolled 55 adult patients (the American Society of Anesthesiologists physical status I-II) undergoing laparoscopic cholecystectomy at the University Hospital Center Rijeka from January 1, 2022, to December 31, 2022. Participants were randomly assigned to receive either HS (n=20), prepared from diluted chestnut honey, or CCB (n=35). Both solutions were administered in the volumes of 800 mL the evening before surgery and 400 mL two hours before anesthesia. Stress response and inflammation were assessed by measuring cortisol and interleukin 6 levels at six standardized time points. Gastric motility was evaluated with a paracetamol absorption test, and patient-reported outcomes were recorded postoperatively using a visual analogue scale.</p><p><strong>Results: </strong>The HS group exhibited higher cortisol and interleukin 6 levels at multiple perioperative time points compared with the CCB group (P<0.05). However, they had significantly improved gastric motility, with higher paracetamol concentrations 15 to 180 minutes post-ingestion (P=0.028-0.001). Additionally, HS group reported reduced thirst, nausea, and pain, but had lower appetite and well-being scores.</p><p><strong>Conclusion: </strong>While HS represents a potential natural and cost-effective alternative to CCB, further studies are needed to determine its role within preoperative nutrition strategies for enhanced recovery after surgery.</p>\",\"PeriodicalId\":10796,\"journal\":{\"name\":\"Croatian Medical Journal\",\"volume\":\"66 3\",\"pages\":\"204-212\"},\"PeriodicalIF\":2.3000,\"publicationDate\":\"2025-07-05\",\"publicationTypes\":\"Journal Article\",\"fieldsOfStudy\":null,\"isOpenAccess\":false,\"openAccessPdf\":\"https://www.ncbi.nlm.nih.gov/pmc/articles/PMC12426867/pdf/\",\"citationCount\":\"0\",\"resultStr\":null,\"platform\":\"Semanticscholar\",\"paperid\":null,\"PeriodicalName\":\"Croatian Medical Journal\",\"FirstCategoryId\":\"3\",\"ListUrlMain\":\"\",\"RegionNum\":4,\"RegionCategory\":\"医学\",\"ArticlePicture\":[],\"TitleCN\":null,\"AbstractTextCN\":null,\"PMCID\":null,\"EPubDate\":\"\",\"PubModel\":\"\",\"JCR\":\"Q2\",\"JCRName\":\"MEDICINE, GENERAL & INTERNAL\",\"Score\":null,\"Total\":0}","platform":"Semanticscholar","paperid":null,"PeriodicalName":"Croatian Medical Journal","FirstCategoryId":"3","ListUrlMain":"","RegionNum":4,"RegionCategory":"医学","ArticlePicture":[],"TitleCN":null,"AbstractTextCN":null,"PMCID":null,"EPubDate":"","PubModel":"","JCR":"Q2","JCRName":"MEDICINE, GENERAL & INTERNAL","Score":null,"Total":0}
引用次数: 0

摘要

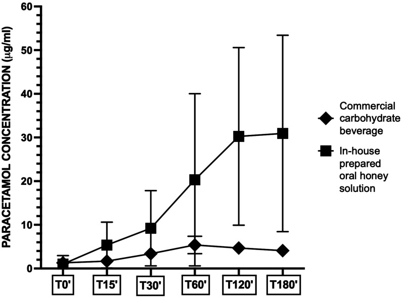
目的:比较自制蜂蜜溶液(HS)和商业碳水化合物饮料(CCB)对腹腔镜胆囊切除术患者术后应激反应、胃动力和自我报告舒适度的影响。方法:该随机对照试验于2022年1月1日至2022年12月31日在Rijeka大学医院中心接受腹腔镜胆囊切除术的55名成年患者(美国麻醉医师协会身体状态I-II)。参与者被随机分配接受HS (n=20),由稀释的栗子蜂蜜制备,或CCB (n=35)。两种溶液在手术前晚上分别以800 mL的体积和麻醉前2小时以400 mL的体积施用。通过测量皮质醇和白细胞介素6在六个标准化时间点的水平来评估应激反应和炎症。通过对乙酰氨基酚吸收试验评估胃动力,并使用视觉模拟量表记录术后患者报告的结果。结果:与CCB组相比,HS组在围手术期多个时间点显示出更高的皮质醇和白细胞介素6水平(p结论:虽然HS代表了CCB的潜在天然且具有成本效益的替代方案,但需要进一步研究以确定其在术前营养策略中的作用,以增强术后恢复。
本文章由计算机程序翻译,如有差异,请以英文原文为准。

The effects of honey solution on postoperative stress, gastric motility, and patient comfort: a randomized controlled trial.

The effects of honey solution on postoperative stress, gastric motility, and patient comfort: a randomized controlled trial.

The effects of honey solution on postoperative stress, gastric motility, and patient comfort: a randomized controlled trial.

The effects of honey solution on postoperative stress, gastric motility, and patient comfort: a randomized controlled trial.

Aim: To compare the effects of an in-house prepared honey solution (HS) and a commercial carbohydrate beverage (CCB) on postoperative stress response, gastric motility, and self-reported comfort in patients undergoing laparoscopic cholecystectomy.

Methods: This randomized controlled trial enrolled 55 adult patients (the American Society of Anesthesiologists physical status I-II) undergoing laparoscopic cholecystectomy at the University Hospital Center Rijeka from January 1, 2022, to December 31, 2022. Participants were randomly assigned to receive either HS (n=20), prepared from diluted chestnut honey, or CCB (n=35). Both solutions were administered in the volumes of 800 mL the evening before surgery and 400 mL two hours before anesthesia. Stress response and inflammation were assessed by measuring cortisol and interleukin 6 levels at six standardized time points. Gastric motility was evaluated with a paracetamol absorption test, and patient-reported outcomes were recorded postoperatively using a visual analogue scale.

Results: The HS group exhibited higher cortisol and interleukin 6 levels at multiple perioperative time points compared with the CCB group (P<0.05). However, they had significantly improved gastric motility, with higher paracetamol concentrations 15 to 180 minutes post-ingestion (P=0.028-0.001). Additionally, HS group reported reduced thirst, nausea, and pain, but had lower appetite and well-being scores.

Conclusion: While HS represents a potential natural and cost-effective alternative to CCB, further studies are needed to determine its role within preoperative nutrition strategies for enhanced recovery after surgery.

求助全文
通过发布文献求助,成功后即可免费获取论文全文。 去求助
来源期刊
Croatian Medical Journal
Croatian Medical Journal 医学-医学:内科
CiteScore
3.00
自引率
5.30%
发文量
105
审稿时长
6-12 weeks
期刊介绍: Croatian Medical Journal (CMJ) is an international peer reviewed journal open to scientists from all fields of biomedicine and health related research. Although CMJ welcomes all contributions that increase and expand on medical knowledge, the two areas are of the special interest: topics globally relevant for biomedicine and health and medicine in developing and emerging countries.
×
引用
GB/T 7714-2015
复制
MLA
复制
APA
复制
导出至
BibTeX EndNote RefMan NoteFirst NoteExpress
×
提示
您的信息不完整,为了账户安全,请先补充。
现在去补充
×
提示
您因"违规操作"
具体请查看互助需知
我知道了
×
提示
确定
请完成安全验证×
copy
已复制链接
快去分享给好友吧!
我知道了
右上角分享
点击右上角分享
0
联系我们:info@booksci.cn Book学术提供免费学术资源搜索服务,方便国内外学者检索中英文文献。致力于提供最便捷和优质的服务体验。 Copyright © 2023 布克学术 All rights reserved.
京ICP备2023020795号-1
ghs 京公网安备 11010802042870号
Book学术文献互助
Book学术文献互助群
群 号:604180095
Book学术官方微信