基于最小残留疾病和方案驱动的早期反应风险分类,通过强化治疗提高儿童急性淋巴细胞白血病的生存率

IF 2.8 Q2 HEMATOLOGY
Hyery Kim, Su Hyun Yoon, Sunghan Kang, Kyung-Nam Koh, Ho Joon Im, Daehyun Chu, Mi Young Kim, Young-Uk Cho, Sang-Hyun Hwang, Seongsoo Jang
{"title":"基于最小残留疾病和方案驱动的早期反应风险分类,通过强化治疗提高儿童急性淋巴细胞白血病的生存率","authors":"Hyery Kim, Su Hyun Yoon, Sunghan Kang, Kyung-Nam Koh, Ho Joon Im, Daehyun Chu, Mi Young Kim, Young-Uk Cho, Sang-Hyun Hwang, Seongsoo Jang","doi":"10.1007/s44313-025-00085-3","DOIUrl":null,"url":null,"abstract":"<p><strong>Purpose: </strong>Minimal residual disease (MRD)-guided therapy is the global standard treatment for pediatric acute lymphoblastic leukemia (ALL). We assessed the impact of MRD-driven intensification along with protocol-defined risk groups in pediatric ALL treatment.</p><p><strong>Methods: </strong>This retrospective analysis included 209 patients with ALL (treated between January 2013 to June 2023). MRD was assessed using six- to eight-color flow cytometry at the end of each phase before the maintenance phase. Post-induction treatment was determined based on early response, National Cancer Institute risk, and cytogenetics. High-risk (HR) patients followed the Korean HR or CCG-1882 protocols and standard-risk (SR) patients followed the modified COG-AALL0331 protocol. Treatment was intensified if flow-MRD ≥ 0.1% was identified.</p><p><strong>Results: </strong>Overall, 103 and 106 patients were classified as having SR and HR, respectively. The 5-year overall survival (OS) and event-free survival (EFS) were 92.5% and 84.3%, respectively. Thirty SR and 18 HR patients received intensified chemotherapy. Treatment intensification significantly improved EFS in patients with high MRD (94.2% vs. 75.5%, p = 0.04), particularly in post-induction patients with high MRD (90.0% vs. 19.0%, p = 0.035). The difference in survival between rapid early responder (RER) and slow early responder (SER) groups was eliminated after MRD-based intensification. The implementation rates of treatment intensification varied over time (9.1% before 2015, 28.6% during 2016-2019, and 13.9% during 2020-2023), reflecting improved risk stratification and therapy selection.</p><p><strong>Conclusion: </strong>MRD-guided therapy intensification markedly improved survival outcomes in patients with pediatric ALL when combined with risk-based protocols, highlighting the importance of MRD monitoring for optimizing risk-adapted treatment strategies.</p>","PeriodicalId":46224,"journal":{"name":"Blood Research","volume":"60 1","pages":"40"},"PeriodicalIF":2.8000,"publicationDate":"2025-07-09","publicationTypes":"Journal Article","fieldsOfStudy":null,"isOpenAccess":false,"openAccessPdf":"https://www.ncbi.nlm.nih.gov/pmc/articles/PMC12240913/pdf/","citationCount":"0","resultStr":"{\"title\":\"Improved survival in pediatric acute lymphoblastic leukemia through therapy intensification based on minimal residual disease and protocol-driven early response risk classification.\",\"authors\":\"Hyery Kim, Su Hyun Yoon, Sunghan Kang, Kyung-Nam Koh, Ho Joon Im, Daehyun Chu, Mi Young Kim, Young-Uk Cho, Sang-Hyun Hwang, Seongsoo Jang\",\"doi\":\"10.1007/s44313-025-00085-3\",\"DOIUrl\":null,\"url\":null,\"abstract\":\"<p><strong>Purpose: </strong>Minimal residual disease (MRD)-guided therapy is the global standard treatment for pediatric acute lymphoblastic leukemia (ALL). We assessed the impact of MRD-driven intensification along with protocol-defined risk groups in pediatric ALL treatment.</p><p><strong>Methods: </strong>This retrospective analysis included 209 patients with ALL (treated between January 2013 to June 2023). MRD was assessed using six- to eight-color flow cytometry at the end of each phase before the maintenance phase. Post-induction treatment was determined based on early response, National Cancer Institute risk, and cytogenetics. High-risk (HR) patients followed the Korean HR or CCG-1882 protocols and standard-risk (SR) patients followed the modified COG-AALL0331 protocol. Treatment was intensified if flow-MRD ≥ 0.1% was identified.</p><p><strong>Results: </strong>Overall, 103 and 106 patients were classified as having SR and HR, respectively. The 5-year overall survival (OS) and event-free survival (EFS) were 92.5% and 84.3%, respectively. Thirty SR and 18 HR patients received intensified chemotherapy. Treatment intensification significantly improved EFS in patients with high MRD (94.2% vs. 75.5%, p = 0.04), particularly in post-induction patients with high MRD (90.0% vs. 19.0%, p = 0.035). The difference in survival between rapid early responder (RER) and slow early responder (SER) groups was eliminated after MRD-based intensification. The implementation rates of treatment intensification varied over time (9.1% before 2015, 28.6% during 2016-2019, and 13.9% during 2020-2023), reflecting improved risk stratification and therapy selection.</p><p><strong>Conclusion: </strong>MRD-guided therapy intensification markedly improved survival outcomes in patients with pediatric ALL when combined with risk-based protocols, highlighting the importance of MRD monitoring for optimizing risk-adapted treatment strategies.</p>\",\"PeriodicalId\":46224,\"journal\":{\"name\":\"Blood Research\",\"volume\":\"60 1\",\"pages\":\"40\"},\"PeriodicalIF\":2.8000,\"publicationDate\":\"2025-07-09\",\"publicationTypes\":\"Journal Article\",\"fieldsOfStudy\":null,\"isOpenAccess\":false,\"openAccessPdf\":\"https://www.ncbi.nlm.nih.gov/pmc/articles/PMC12240913/pdf/\",\"citationCount\":\"0\",\"resultStr\":null,\"platform\":\"Semanticscholar\",\"paperid\":null,\"PeriodicalName\":\"Blood Research\",\"FirstCategoryId\":\"1085\",\"ListUrlMain\":\"https://doi.org/10.1007/s44313-025-00085-3\",\"RegionNum\":0,\"RegionCategory\":null,\"ArticlePicture\":[],\"TitleCN\":null,\"AbstractTextCN\":null,\"PMCID\":null,\"EPubDate\":\"\",\"PubModel\":\"\",\"JCR\":\"Q2\",\"JCRName\":\"HEMATOLOGY\",\"Score\":null,\"Total\":0}","platform":"Semanticscholar","paperid":null,"PeriodicalName":"Blood Research","FirstCategoryId":"1085","ListUrlMain":"https://doi.org/10.1007/s44313-025-00085-3","RegionNum":0,"RegionCategory":null,"ArticlePicture":[],"TitleCN":null,"AbstractTextCN":null,"PMCID":null,"EPubDate":"","PubModel":"","JCR":"Q2","JCRName":"HEMATOLOGY","Score":null,"Total":0}
引用次数: 0

摘要

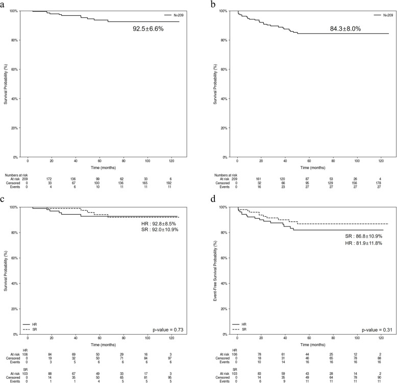
目的:微量残留病(MRD)引导治疗是儿科急性淋巴细胞白血病(ALL)的全球标准治疗方法。我们评估了mrd驱动的强化以及协议定义的风险组在儿科ALL治疗中的影响。方法:回顾性分析209例ALL患者(2013年1月至2023年6月治疗)。在维持期之前的每个阶段结束时,使用六到八色流式细胞术评估MRD。诱导后治疗是根据早期反应、国家癌症研究所风险和细胞遗传学来确定的。高危(HR)患者采用韩国HR或CCG-1882方案,标准风险(SR)患者采用修改后的COG-AALL0331方案。如果血流mrd≥0.1%,则加强治疗。结果:总体而言,103例和106例患者分别被分类为SR和HR。5年总生存率(OS)和无事件生存率(EFS)分别为92.5%和84.3%。30例SR患者和18例HR患者接受强化化疗。强化治疗可显著改善高MRD患者的EFS (94.2% vs. 75.5%, p = 0.04),尤其是诱导后高MRD患者(90.0% vs. 19.0%, p = 0.035)。快速早期反应者(RER)和缓慢早期反应者(SER)组之间的生存差异在基于mrd的强化后被消除。治疗强化的执行率随时间而变化(2015年之前为9.1%,2016-2019年为28.6%,2020-2023年为13.9%),反映了风险分层和治疗选择的改善。结论:MRD引导下的强化治疗与基于风险的方案相结合,显著改善了儿科ALL患者的生存结果,强调了MRD监测对优化风险适应治疗策略的重要性。
本文章由计算机程序翻译,如有差异,请以英文原文为准。

Improved survival in pediatric acute lymphoblastic leukemia through therapy intensification based on minimal residual disease and protocol-driven early response risk classification.

Improved survival in pediatric acute lymphoblastic leukemia through therapy intensification based on minimal residual disease and protocol-driven early response risk classification.

Improved survival in pediatric acute lymphoblastic leukemia through therapy intensification based on minimal residual disease and protocol-driven early response risk classification.

Improved survival in pediatric acute lymphoblastic leukemia through therapy intensification based on minimal residual disease and protocol-driven early response risk classification.

Purpose: Minimal residual disease (MRD)-guided therapy is the global standard treatment for pediatric acute lymphoblastic leukemia (ALL). We assessed the impact of MRD-driven intensification along with protocol-defined risk groups in pediatric ALL treatment.

Methods: This retrospective analysis included 209 patients with ALL (treated between January 2013 to June 2023). MRD was assessed using six- to eight-color flow cytometry at the end of each phase before the maintenance phase. Post-induction treatment was determined based on early response, National Cancer Institute risk, and cytogenetics. High-risk (HR) patients followed the Korean HR or CCG-1882 protocols and standard-risk (SR) patients followed the modified COG-AALL0331 protocol. Treatment was intensified if flow-MRD ≥ 0.1% was identified.

Results: Overall, 103 and 106 patients were classified as having SR and HR, respectively. The 5-year overall survival (OS) and event-free survival (EFS) were 92.5% and 84.3%, respectively. Thirty SR and 18 HR patients received intensified chemotherapy. Treatment intensification significantly improved EFS in patients with high MRD (94.2% vs. 75.5%, p = 0.04), particularly in post-induction patients with high MRD (90.0% vs. 19.0%, p = 0.035). The difference in survival between rapid early responder (RER) and slow early responder (SER) groups was eliminated after MRD-based intensification. The implementation rates of treatment intensification varied over time (9.1% before 2015, 28.6% during 2016-2019, and 13.9% during 2020-2023), reflecting improved risk stratification and therapy selection.

Conclusion: MRD-guided therapy intensification markedly improved survival outcomes in patients with pediatric ALL when combined with risk-based protocols, highlighting the importance of MRD monitoring for optimizing risk-adapted treatment strategies.

求助全文
通过发布文献求助,成功后即可免费获取论文全文。 去求助
来源期刊
Blood Research
Blood Research HEMATOLOGY-
CiteScore
3.70
自引率
0.00%
发文量
64
×
引用
GB/T 7714-2015
复制
MLA
复制
APA
复制
导出至
BibTeX EndNote RefMan NoteFirst NoteExpress
×
提示
您的信息不完整,为了账户安全,请先补充。
现在去补充
×
提示
您因"违规操作"
具体请查看互助需知
我知道了
×
提示
确定
请完成安全验证×
copy
已复制链接
快去分享给好友吧!
我知道了
右上角分享
点击右上角分享
0
联系我们:info@booksci.cn Book学术提供免费学术资源搜索服务,方便国内外学者检索中英文文献。致力于提供最便捷和优质的服务体验。 Copyright © 2023 布克学术 All rights reserved.
京ICP备2023020795号-1
ghs 京公网安备 11010802042870号
Book学术文献互助
Book学术文献互助群
群 号:604180095
Book学术官方微信