新辅助化疗后完全缓解的浸润性导管癌患者保乳手术和乳房切除术的预后差异:基于SEER数据库的倾向评分匹配分析。

IF 2.5 3区 医学 Q3 ONCOLOGY
Cheng Xiao, Yuanxin Zhang, Junyan Li
{"title":"新辅助化疗后完全缓解的浸润性导管癌患者保乳手术和乳房切除术的预后差异:基于SEER数据库的倾向评分匹配分析。","authors":"Cheng Xiao, Yuanxin Zhang, Junyan Li","doi":"10.1186/s12957-025-03932-w","DOIUrl":null,"url":null,"abstract":"<p><strong>Background: </strong>The study investigates the prognostic differences between breast-conserving surgery (BCS) and mastectomy in patients with invasive ductal carcinoma of the breast who achieve a complete response (CR) after neoadjuvant chemotherapy.</p><p><strong>Methods: </strong>This study analyzed data from 9,411 patients diagnosed with invasive ductal carcinoma of the breast who achieved complete response following neoadjuvant chemotherapy, using data from the SEER database between 2010 and 2019, comprising 4,219 patients in the BCS group and 5,192 in the mastectomy group. Propensity score matching (PSM) was employed to control for confounding variables, and univariate and multivariate analyses were performed to identify variables associated with overall survival (OS) and cancer-specific survival (CSS). Kaplan-Meier survival curves were used to evaluate the prognosis of patients in the two groups.</p><p><strong>Results: </strong>The multivariate Cox regression analysis demonstrated that histological subtype, T stage, N stage, surgical method, and radiotherapy were risk factors for CSS, while age, histological subtype, T stage, and N stage were associated with OS (p < 0.05). Following matching, the Kaplan-Meier survival analysis curve suggested that the BCS group had higher CSS than the mastectomy group (p < 0.05), although there was no statistically significant difference in OS between the two groups (p = 0.16). Subgroup analysis revealed that, among patients aged ≤ 50, of White ethnicity, with grade 3 tumors, and HR+/HER-2- subtype, the BCS group exhibited superior CSS compared to the mastectomy group (p < 0.05).</p><p><strong>Conclusion: </strong>Patients with invasive ductal carcinoma of the breast who achieve complete response following neoadjuvant chemotherapy experience better CSS benefits with BCS compared to undergoing mastectomy.</p>","PeriodicalId":23856,"journal":{"name":"World Journal of Surgical Oncology","volume":"23 1","pages":"269"},"PeriodicalIF":2.5000,"publicationDate":"2025-07-08","publicationTypes":"Journal Article","fieldsOfStudy":null,"isOpenAccess":false,"openAccessPdf":"https://www.ncbi.nlm.nih.gov/pmc/articles/PMC12239254/pdf/","citationCount":"0","resultStr":"{\"title\":\"The prognostic differences between breast-conserving surgery and mastectomy in patients with invasive ductal carcinoma who achieved complete response following neoadjuvant chemotherapy: a propensity score matched analysis based on the SEER database.\",\"authors\":\"Cheng Xiao, Yuanxin Zhang, Junyan Li\",\"doi\":\"10.1186/s12957-025-03932-w\",\"DOIUrl\":null,\"url\":null,\"abstract\":\"<p><strong>Background: </strong>The study investigates the prognostic differences between breast-conserving surgery (BCS) and mastectomy in patients with invasive ductal carcinoma of the breast who achieve a complete response (CR) after neoadjuvant chemotherapy.</p><p><strong>Methods: </strong>This study analyzed data from 9,411 patients diagnosed with invasive ductal carcinoma of the breast who achieved complete response following neoadjuvant chemotherapy, using data from the SEER database between 2010 and 2019, comprising 4,219 patients in the BCS group and 5,192 in the mastectomy group. Propensity score matching (PSM) was employed to control for confounding variables, and univariate and multivariate analyses were performed to identify variables associated with overall survival (OS) and cancer-specific survival (CSS). Kaplan-Meier survival curves were used to evaluate the prognosis of patients in the two groups.</p><p><strong>Results: </strong>The multivariate Cox regression analysis demonstrated that histological subtype, T stage, N stage, surgical method, and radiotherapy were risk factors for CSS, while age, histological subtype, T stage, and N stage were associated with OS (p < 0.05). Following matching, the Kaplan-Meier survival analysis curve suggested that the BCS group had higher CSS than the mastectomy group (p < 0.05), although there was no statistically significant difference in OS between the two groups (p = 0.16). Subgroup analysis revealed that, among patients aged ≤ 50, of White ethnicity, with grade 3 tumors, and HR+/HER-2- subtype, the BCS group exhibited superior CSS compared to the mastectomy group (p < 0.05).</p><p><strong>Conclusion: </strong>Patients with invasive ductal carcinoma of the breast who achieve complete response following neoadjuvant chemotherapy experience better CSS benefits with BCS compared to undergoing mastectomy.</p>\",\"PeriodicalId\":23856,\"journal\":{\"name\":\"World Journal of Surgical Oncology\",\"volume\":\"23 1\",\"pages\":\"269\"},\"PeriodicalIF\":2.5000,\"publicationDate\":\"2025-07-08\",\"publicationTypes\":\"Journal Article\",\"fieldsOfStudy\":null,\"isOpenAccess\":false,\"openAccessPdf\":\"https://www.ncbi.nlm.nih.gov/pmc/articles/PMC12239254/pdf/\",\"citationCount\":\"0\",\"resultStr\":null,\"platform\":\"Semanticscholar\",\"paperid\":null,\"PeriodicalName\":\"World Journal of Surgical Oncology\",\"FirstCategoryId\":\"3\",\"ListUrlMain\":\"https://doi.org/10.1186/s12957-025-03932-w\",\"RegionNum\":3,\"RegionCategory\":\"医学\",\"ArticlePicture\":[],\"TitleCN\":null,\"AbstractTextCN\":null,\"PMCID\":null,\"EPubDate\":\"\",\"PubModel\":\"\",\"JCR\":\"Q3\",\"JCRName\":\"ONCOLOGY\",\"Score\":null,\"Total\":0}","platform":"Semanticscholar","paperid":null,"PeriodicalName":"World Journal of Surgical Oncology","FirstCategoryId":"3","ListUrlMain":"https://doi.org/10.1186/s12957-025-03932-w","RegionNum":3,"RegionCategory":"医学","ArticlePicture":[],"TitleCN":null,"AbstractTextCN":null,"PMCID":null,"EPubDate":"","PubModel":"","JCR":"Q3","JCRName":"ONCOLOGY","Score":null,"Total":0}
引用次数: 0

摘要

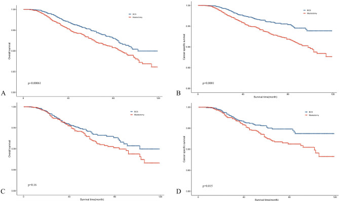
背景:本研究探讨了新辅助化疗后完全缓解的浸润性乳腺导管癌患者保乳手术(BCS)和乳房切除术的预后差异。方法:本研究使用2010年至2019年SEER数据库的数据,分析了9411例诊断为浸润性乳腺导管癌并在新辅助化疗后获得完全缓解的患者的数据,其中BCS组4219例,乳房切除术组5192例。采用倾向评分匹配(PSM)来控制混杂变量,并进行单因素和多因素分析,以确定与总生存期(OS)和癌症特异性生存期(CSS)相关的变量。采用Kaplan-Meier生存曲线评价两组患者的预后。结果:多因素Cox回归分析显示,组织学亚型、T分期、N分期、手术方式和放疗是CSS的危险因素,而年龄、组织学亚型、T分期和N分期与OS相关(p)。结论:新辅助化疗后完全缓解的浸润性乳腺导管癌患者行BCS比行乳房切除术更有利于CSS。
本文章由计算机程序翻译,如有差异,请以英文原文为准。

The prognostic differences between breast-conserving surgery and mastectomy in patients with invasive ductal carcinoma who achieved complete response following neoadjuvant chemotherapy: a propensity score matched analysis based on the SEER database.

The prognostic differences between breast-conserving surgery and mastectomy in patients with invasive ductal carcinoma who achieved complete response following neoadjuvant chemotherapy: a propensity score matched analysis based on the SEER database.

The prognostic differences between breast-conserving surgery and mastectomy in patients with invasive ductal carcinoma who achieved complete response following neoadjuvant chemotherapy: a propensity score matched analysis based on the SEER database.

The prognostic differences between breast-conserving surgery and mastectomy in patients with invasive ductal carcinoma who achieved complete response following neoadjuvant chemotherapy: a propensity score matched analysis based on the SEER database.

Background: The study investigates the prognostic differences between breast-conserving surgery (BCS) and mastectomy in patients with invasive ductal carcinoma of the breast who achieve a complete response (CR) after neoadjuvant chemotherapy.

Methods: This study analyzed data from 9,411 patients diagnosed with invasive ductal carcinoma of the breast who achieved complete response following neoadjuvant chemotherapy, using data from the SEER database between 2010 and 2019, comprising 4,219 patients in the BCS group and 5,192 in the mastectomy group. Propensity score matching (PSM) was employed to control for confounding variables, and univariate and multivariate analyses were performed to identify variables associated with overall survival (OS) and cancer-specific survival (CSS). Kaplan-Meier survival curves were used to evaluate the prognosis of patients in the two groups.

Results: The multivariate Cox regression analysis demonstrated that histological subtype, T stage, N stage, surgical method, and radiotherapy were risk factors for CSS, while age, histological subtype, T stage, and N stage were associated with OS (p < 0.05). Following matching, the Kaplan-Meier survival analysis curve suggested that the BCS group had higher CSS than the mastectomy group (p < 0.05), although there was no statistically significant difference in OS between the two groups (p = 0.16). Subgroup analysis revealed that, among patients aged ≤ 50, of White ethnicity, with grade 3 tumors, and HR+/HER-2- subtype, the BCS group exhibited superior CSS compared to the mastectomy group (p < 0.05).

Conclusion: Patients with invasive ductal carcinoma of the breast who achieve complete response following neoadjuvant chemotherapy experience better CSS benefits with BCS compared to undergoing mastectomy.

求助全文
通过发布文献求助,成功后即可免费获取论文全文。 去求助
来源期刊
CiteScore
4.70
自引率
15.60%
发文量
362
审稿时长
3 months
期刊介绍: World Journal of Surgical Oncology publishes articles related to surgical oncology and its allied subjects, such as epidemiology, cancer research, biomarkers, prevention, pathology, radiology, cancer treatment, clinical trials, multimodality treatment and molecular biology. Emphasis is placed on original research articles. The journal also publishes significant clinical case reports, as well as balanced and timely reviews on selected topics. Oncology is a multidisciplinary super-speciality of which surgical oncology forms an integral component, especially with solid tumors. Surgical oncologists around the world are involved in research extending from detecting the mechanisms underlying the causation of cancer, to its treatment and prevention. The role of a surgical oncologist extends across the whole continuum of care. With continued developments in diagnosis and treatment, the role of a surgical oncologist is ever-changing. Hence, World Journal of Surgical Oncology aims to keep readers abreast with latest developments that will ultimately influence the work of surgical oncologists.
×
引用
GB/T 7714-2015
复制
MLA
复制
APA
复制
导出至
BibTeX EndNote RefMan NoteFirst NoteExpress
×
提示
您的信息不完整,为了账户安全,请先补充。
现在去补充
×
提示
您因"违规操作"
具体请查看互助需知
我知道了
×
提示
确定
请完成安全验证×
copy
已复制链接
快去分享给好友吧!
我知道了
右上角分享
点击右上角分享
0
联系我们:info@booksci.cn Book学术提供免费学术资源搜索服务,方便国内外学者检索中英文文献。致力于提供最便捷和优质的服务体验。 Copyright © 2023 布克学术 All rights reserved.
京ICP备2023020795号-1
ghs 京公网安备 11010802042870号
Book学术文献互助
Book学术文献互助群
群 号:604180095
Book学术官方微信