dupilumab治疗慢性鼻窦炎伴鼻息肉的有效性:临床和影像学结果的回顾性研究。

IF 1.5 4区 医学 Q2 MEDICINE, GENERAL & INTERNAL
Mohammed A Alhejaily, Musallam Kashoob, Shatha Y AlGhamdi, Muhannad A Alomar, Yazeed A Alomar, Rawan S Alzayed, Amany M Altoies, Ahmad Alroqi
{"title":"dupilumab治疗慢性鼻窦炎伴鼻息肉的有效性:临床和影像学结果的回顾性研究。","authors":"Mohammed A Alhejaily, Musallam Kashoob, Shatha Y AlGhamdi, Muhannad A Alomar, Yazeed A Alomar, Rawan S Alzayed, Amany M Altoies, Ahmad Alroqi","doi":"10.15537/smj.2025.46.7.20241154","DOIUrl":null,"url":null,"abstract":"<p><strong>Objectives: </strong>To evaluate dupilumab's outcomes in chronic rhinosinusitis with nasal polyps (CRSwNP) cases.</p><p><strong>Methods: </strong>A retrospective analysis was carried out at Dr. Sulaiman Al Habib Hospitals, Riyadh, Saudi Arabia on 145 adult CRSwNP patients treated with dupilumab between January 2020 and December 2023 following the European position paper on rhinosinusitis and nasal polyps 2020 guidelines. Primary outcomes included changes in Lund-Mackay computed tomography (CT) scores, immunoglobulin E levels, and visual analog scale (VAS) smell score over +12 months.</p><p><strong>Results: </strong>Significant improvements were noted post-treatment. Lund-Mackay CT scores decreased from 12.5 to 5.5 (<i>p</i><0.001), and VAS smell scores dropped from 10.0 to 0.0 (<i>p</i><0.001). Immunoglobulin E levels reduced from 250.5 to 63.5 (<i>p</i><0.001). After treatment, 93.3% of patients avoided sinus surgery, 78.6% reported improved asthma status, and 60% used dupilumab as monotherapy.</p><p><strong>Conclusion: </strong>This study supports dupilumab's effectiveness in treating severe CRSwNP, showing significant improvements in CT imaging and overall medical condition over 12 months. Dupilumab reduced systemic corticosteroid use and rescue surgeries. While promising, further trials are needed to validate its use as monotherapy. Identifying those who gain most from biologic therapy is crucial.</p>","PeriodicalId":21453,"journal":{"name":"Saudi Medical Journal","volume":"46 7","pages":"781-787"},"PeriodicalIF":1.5000,"publicationDate":"2025-07-01","publicationTypes":"Journal Article","fieldsOfStudy":null,"isOpenAccess":false,"openAccessPdf":"https://www.ncbi.nlm.nih.gov/pmc/articles/PMC12251548/pdf/","citationCount":"0","resultStr":"{\"title\":\"Effectiveness of dupilumab in chronic rhinosinusitis with nasal polyps: A retrospective study of clinical and imaging outcomes.\",\"authors\":\"Mohammed A Alhejaily, Musallam Kashoob, Shatha Y AlGhamdi, Muhannad A Alomar, Yazeed A Alomar, Rawan S Alzayed, Amany M Altoies, Ahmad Alroqi\",\"doi\":\"10.15537/smj.2025.46.7.20241154\",\"DOIUrl\":null,\"url\":null,\"abstract\":\"<p><strong>Objectives: </strong>To evaluate dupilumab's outcomes in chronic rhinosinusitis with nasal polyps (CRSwNP) cases.</p><p><strong>Methods: </strong>A retrospective analysis was carried out at Dr. Sulaiman Al Habib Hospitals, Riyadh, Saudi Arabia on 145 adult CRSwNP patients treated with dupilumab between January 2020 and December 2023 following the European position paper on rhinosinusitis and nasal polyps 2020 guidelines. Primary outcomes included changes in Lund-Mackay computed tomography (CT) scores, immunoglobulin E levels, and visual analog scale (VAS) smell score over +12 months.</p><p><strong>Results: </strong>Significant improvements were noted post-treatment. Lund-Mackay CT scores decreased from 12.5 to 5.5 (<i>p</i><0.001), and VAS smell scores dropped from 10.0 to 0.0 (<i>p</i><0.001). Immunoglobulin E levels reduced from 250.5 to 63.5 (<i>p</i><0.001). After treatment, 93.3% of patients avoided sinus surgery, 78.6% reported improved asthma status, and 60% used dupilumab as monotherapy.</p><p><strong>Conclusion: </strong>This study supports dupilumab's effectiveness in treating severe CRSwNP, showing significant improvements in CT imaging and overall medical condition over 12 months. Dupilumab reduced systemic corticosteroid use and rescue surgeries. While promising, further trials are needed to validate its use as monotherapy. Identifying those who gain most from biologic therapy is crucial.</p>\",\"PeriodicalId\":21453,\"journal\":{\"name\":\"Saudi Medical Journal\",\"volume\":\"46 7\",\"pages\":\"781-787\"},\"PeriodicalIF\":1.5000,\"publicationDate\":\"2025-07-01\",\"publicationTypes\":\"Journal Article\",\"fieldsOfStudy\":null,\"isOpenAccess\":false,\"openAccessPdf\":\"https://www.ncbi.nlm.nih.gov/pmc/articles/PMC12251548/pdf/\",\"citationCount\":\"0\",\"resultStr\":null,\"platform\":\"Semanticscholar\",\"paperid\":null,\"PeriodicalName\":\"Saudi Medical Journal\",\"FirstCategoryId\":\"3\",\"ListUrlMain\":\"https://doi.org/10.15537/smj.2025.46.7.20241154\",\"RegionNum\":4,\"RegionCategory\":\"医学\",\"ArticlePicture\":[],\"TitleCN\":null,\"AbstractTextCN\":null,\"PMCID\":null,\"EPubDate\":\"\",\"PubModel\":\"\",\"JCR\":\"Q2\",\"JCRName\":\"MEDICINE, GENERAL & INTERNAL\",\"Score\":null,\"Total\":0}","platform":"Semanticscholar","paperid":null,"PeriodicalName":"Saudi Medical Journal","FirstCategoryId":"3","ListUrlMain":"https://doi.org/10.15537/smj.2025.46.7.20241154","RegionNum":4,"RegionCategory":"医学","ArticlePicture":[],"TitleCN":null,"AbstractTextCN":null,"PMCID":null,"EPubDate":"","PubModel":"","JCR":"Q2","JCRName":"MEDICINE, GENERAL & INTERNAL","Score":null,"Total":0}
引用次数: 0

摘要

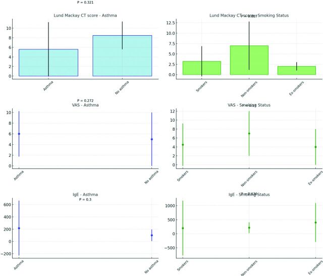
目的:评价dupilumab在慢性鼻窦炎合并鼻息肉(CRSwNP)患者中的治疗效果。方法:根据2020年欧洲鼻窦炎和鼻息肉指南立场文件,在沙特阿拉伯利雅得的Dr. Sulaiman Al Habib医院对2020年1月至2023年12月期间接受dupilumab治疗的145名成年CRSwNP患者进行回顾性分析。主要结局包括超过12个月的隆德-麦凯计算机断层扫描(CT)评分、免疫球蛋白E水平和视觉模拟量表(VAS)嗅觉评分的变化。结果:治疗后明显改善。隆德-麦凯CT评分从12.5降至5.5 (ppp)结论:本研究支持杜匹单抗治疗重度CRSwNP的有效性,在12个月的时间里,CT成像和整体医疗状况均有显著改善。Dupilumab减少了全身皮质类固醇的使用和抢救手术。虽然有希望,但需要进一步的试验来验证其作为单一疗法的使用。确定那些从生物疗法中获益最多的人是至关重要的。
本文章由计算机程序翻译,如有差异,请以英文原文为准。

Effectiveness of dupilumab in chronic rhinosinusitis with nasal polyps: A retrospective study of clinical and imaging outcomes.

Effectiveness of dupilumab in chronic rhinosinusitis with nasal polyps: A retrospective study of clinical and imaging outcomes.

Effectiveness of dupilumab in chronic rhinosinusitis with nasal polyps: A retrospective study of clinical and imaging outcomes.

Objectives: To evaluate dupilumab's outcomes in chronic rhinosinusitis with nasal polyps (CRSwNP) cases.

Methods: A retrospective analysis was carried out at Dr. Sulaiman Al Habib Hospitals, Riyadh, Saudi Arabia on 145 adult CRSwNP patients treated with dupilumab between January 2020 and December 2023 following the European position paper on rhinosinusitis and nasal polyps 2020 guidelines. Primary outcomes included changes in Lund-Mackay computed tomography (CT) scores, immunoglobulin E levels, and visual analog scale (VAS) smell score over +12 months.

Results: Significant improvements were noted post-treatment. Lund-Mackay CT scores decreased from 12.5 to 5.5 (p<0.001), and VAS smell scores dropped from 10.0 to 0.0 (p<0.001). Immunoglobulin E levels reduced from 250.5 to 63.5 (p<0.001). After treatment, 93.3% of patients avoided sinus surgery, 78.6% reported improved asthma status, and 60% used dupilumab as monotherapy.

Conclusion: This study supports dupilumab's effectiveness in treating severe CRSwNP, showing significant improvements in CT imaging and overall medical condition over 12 months. Dupilumab reduced systemic corticosteroid use and rescue surgeries. While promising, further trials are needed to validate its use as monotherapy. Identifying those who gain most from biologic therapy is crucial.

求助全文
通过发布文献求助,成功后即可免费获取论文全文。 去求助
来源期刊
Saudi Medical Journal
Saudi Medical Journal 医学-医学:内科
CiteScore
2.30
自引率
6.20%
发文量
203
审稿时长
12 months
期刊介绍: The Saudi Medical Journal is a monthly peer-reviewed medical journal. It is an open access journal, with content released under a Creative Commons attribution-noncommercial license. The journal publishes original research articles, review articles, Systematic Reviews, Case Reports, Brief Communication, Brief Report, Clinical Note, Clinical Image, Editorials, Book Reviews, Correspondence, and Student Corner.
×
引用
GB/T 7714-2015
复制
MLA
复制
APA
复制
导出至
BibTeX EndNote RefMan NoteFirst NoteExpress
×
提示
您的信息不完整,为了账户安全,请先补充。
现在去补充
×
提示
您因"违规操作"
具体请查看互助需知
我知道了
×
提示
确定
请完成安全验证×
copy
已复制链接
快去分享给好友吧!
我知道了
右上角分享
点击右上角分享
0
联系我们:info@booksci.cn Book学术提供免费学术资源搜索服务,方便国内外学者检索中英文文献。致力于提供最便捷和优质的服务体验。 Copyright © 2023 布克学术 All rights reserved.
京ICP备2023020795号-1
ghs 京公网安备 11010802042870号
Book学术文献互助
Book学术文献互助群
群 号:604180095
Book学术官方微信