呼吸频率降低对通气机械功率和肺损伤生物标志物的影响:COVID-19 ARDS患者的随机交叉临床研究

IF 2.8 Q2 CRITICAL CARE MEDICINE
L Felipe Damiani, Roque Basoalto, Vanessa Oviedo, Leyla Alegria, Dagoberto Soto, M Consuelo Bachmann, Yorschua Jalil, Cesar Santis, David Carpio, Rodrigo Ulloa, Daniel Valenzuela, Magdalena Vera, Marcus J Schultz, Jaime Retamal, Alejandro Bruhn, Guillermo Bugedo
{"title":"呼吸频率降低对通气机械功率和肺损伤生物标志物的影响:COVID-19 ARDS患者的随机交叉临床研究","authors":"L Felipe Damiani, Roque Basoalto, Vanessa Oviedo, Leyla Alegria, Dagoberto Soto, M Consuelo Bachmann, Yorschua Jalil, Cesar Santis, David Carpio, Rodrigo Ulloa, Daniel Valenzuela, Magdalena Vera, Marcus J Schultz, Jaime Retamal, Alejandro Bruhn, Guillermo Bugedo","doi":"10.1186/s40635-025-00782-4","DOIUrl":null,"url":null,"abstract":"<p><strong>Background: </strong>The respiratory rate (RR) is a key determinant of the mechanical power of ventilation (MP). The effect of reducing the RR on MP and its potential to mitigate ventilator-induced lung injury remains unclear.</p><p><strong>Objectives: </strong>To compare invasive ventilation using a lower versus a higher RR with respect to MP and plasma biomarkers of lung injury in COVID-19 ARDS patients.</p><p><strong>Methods: </strong>In a randomized cross-over clinical study in COVID-19 ARDS patients, we compared ventilation using a lower versus a higher RR in time blocks of 12 h. Patients were ventilated with tidal volumes of 6 ml/kg predicted body weight, and positive-end-expiratory pressure and fraction of inspired oxygen according to an ARDS network table. Respiratory mechanics and hemodynamics were assessed at the end of each period, and blood samples were drawn for measurements of inflammatory cytokines, epithelial and endothelial lung injury markers. In a subgroup of patients, we performed echocardiography and esophageal pressure measurements.</p><p><strong>Results: </strong>We enrolled a total of 32 patients (26 males [81%], aged 52 [44-64] years). The median respiratory rate during ventilation with a lower and a higher RR was 20 [16-22] vs. 30 [26-32] breaths/min (p < 0.001), associated with a lower median minute ventilation (7.3 [6.5-8.5] vs. 11.6 [10-13] L/min [p < 0.001]) and a lower median MP (15 [11-18] vs. 25 [21-32] J/min [p < 0.001]). No differences were observed in any inflammatory (IL-6, IL-8, and TNF-R1), epithelial (s-RAGE and SP-D), endothelial (Angiopoietin-2), or pro-fibrotic activity (TGF-ß) marker between high or low RR. Cardiac function by echocardiography, and respiratory mechanics using esophageal pressure measurements were also not different.</p><p><strong>Conclusions: </strong>Reducing the respiratory rate decreases mechanical power in COVID-19 ARDS patients but does not reduce plasma lung injury biomarkers levels in this cross-over study. Study registration This study is registered at clinicaltrials.gov (study identifier NCT04641897).</p>","PeriodicalId":13750,"journal":{"name":"Intensive Care Medicine Experimental","volume":"13 1","pages":"69"},"PeriodicalIF":2.8000,"publicationDate":"2025-07-09","publicationTypes":"Journal Article","fieldsOfStudy":null,"isOpenAccess":false,"openAccessPdf":"https://www.ncbi.nlm.nih.gov/pmc/articles/PMC12240881/pdf/","citationCount":"0","resultStr":"{\"title\":\"Effect of decreasing respiratory rate on the mechanical power of ventilation and lung injury biomarkers: a randomized cross-over clinical study in COVID-19 ARDS patients.\",\"authors\":\"L Felipe Damiani, Roque Basoalto, Vanessa Oviedo, Leyla Alegria, Dagoberto Soto, M Consuelo Bachmann, Yorschua Jalil, Cesar Santis, David Carpio, Rodrigo Ulloa, Daniel Valenzuela, Magdalena Vera, Marcus J Schultz, Jaime Retamal, Alejandro Bruhn, Guillermo Bugedo\",\"doi\":\"10.1186/s40635-025-00782-4\",\"DOIUrl\":null,\"url\":null,\"abstract\":\"<p><strong>Background: </strong>The respiratory rate (RR) is a key determinant of the mechanical power of ventilation (MP). The effect of reducing the RR on MP and its potential to mitigate ventilator-induced lung injury remains unclear.</p><p><strong>Objectives: </strong>To compare invasive ventilation using a lower versus a higher RR with respect to MP and plasma biomarkers of lung injury in COVID-19 ARDS patients.</p><p><strong>Methods: </strong>In a randomized cross-over clinical study in COVID-19 ARDS patients, we compared ventilation using a lower versus a higher RR in time blocks of 12 h. Patients were ventilated with tidal volumes of 6 ml/kg predicted body weight, and positive-end-expiratory pressure and fraction of inspired oxygen according to an ARDS network table. Respiratory mechanics and hemodynamics were assessed at the end of each period, and blood samples were drawn for measurements of inflammatory cytokines, epithelial and endothelial lung injury markers. In a subgroup of patients, we performed echocardiography and esophageal pressure measurements.</p><p><strong>Results: </strong>We enrolled a total of 32 patients (26 males [81%], aged 52 [44-64] years). The median respiratory rate during ventilation with a lower and a higher RR was 20 [16-22] vs. 30 [26-32] breaths/min (p < 0.001), associated with a lower median minute ventilation (7.3 [6.5-8.5] vs. 11.6 [10-13] L/min [p < 0.001]) and a lower median MP (15 [11-18] vs. 25 [21-32] J/min [p < 0.001]). No differences were observed in any inflammatory (IL-6, IL-8, and TNF-R1), epithelial (s-RAGE and SP-D), endothelial (Angiopoietin-2), or pro-fibrotic activity (TGF-ß) marker between high or low RR. Cardiac function by echocardiography, and respiratory mechanics using esophageal pressure measurements were also not different.</p><p><strong>Conclusions: </strong>Reducing the respiratory rate decreases mechanical power in COVID-19 ARDS patients but does not reduce plasma lung injury biomarkers levels in this cross-over study. Study registration This study is registered at clinicaltrials.gov (study identifier NCT04641897).</p>\",\"PeriodicalId\":13750,\"journal\":{\"name\":\"Intensive Care Medicine Experimental\",\"volume\":\"13 1\",\"pages\":\"69\"},\"PeriodicalIF\":2.8000,\"publicationDate\":\"2025-07-09\",\"publicationTypes\":\"Journal Article\",\"fieldsOfStudy\":null,\"isOpenAccess\":false,\"openAccessPdf\":\"https://www.ncbi.nlm.nih.gov/pmc/articles/PMC12240881/pdf/\",\"citationCount\":\"0\",\"resultStr\":null,\"platform\":\"Semanticscholar\",\"paperid\":null,\"PeriodicalName\":\"Intensive Care Medicine Experimental\",\"FirstCategoryId\":\"1085\",\"ListUrlMain\":\"https://doi.org/10.1186/s40635-025-00782-4\",\"RegionNum\":0,\"RegionCategory\":null,\"ArticlePicture\":[],\"TitleCN\":null,\"AbstractTextCN\":null,\"PMCID\":null,\"EPubDate\":\"\",\"PubModel\":\"\",\"JCR\":\"Q2\",\"JCRName\":\"CRITICAL CARE MEDICINE\",\"Score\":null,\"Total\":0}","platform":"Semanticscholar","paperid":null,"PeriodicalName":"Intensive Care Medicine Experimental","FirstCategoryId":"1085","ListUrlMain":"https://doi.org/10.1186/s40635-025-00782-4","RegionNum":0,"RegionCategory":null,"ArticlePicture":[],"TitleCN":null,"AbstractTextCN":null,"PMCID":null,"EPubDate":"","PubModel":"","JCR":"Q2","JCRName":"CRITICAL CARE MEDICINE","Score":null,"Total":0}
引用次数: 0

摘要

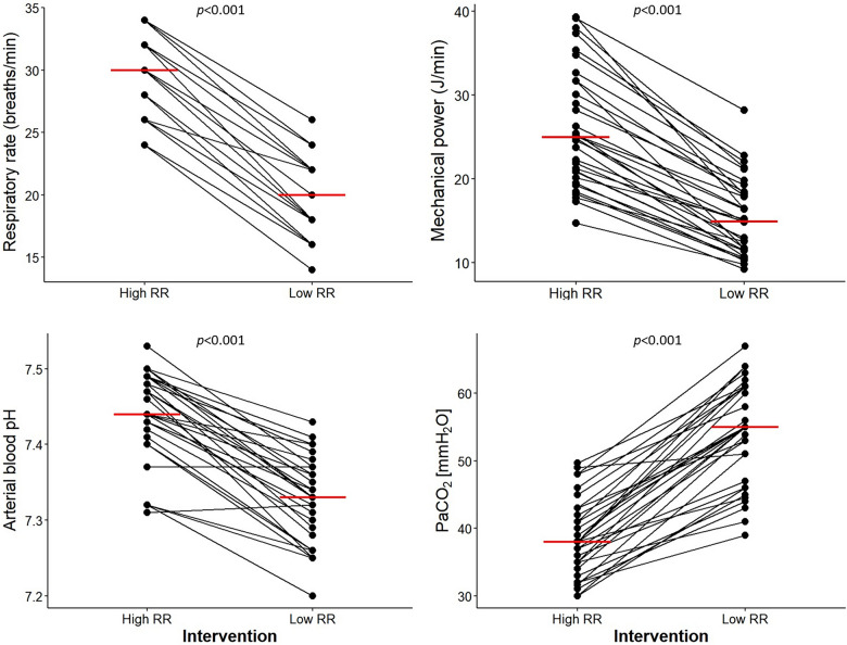
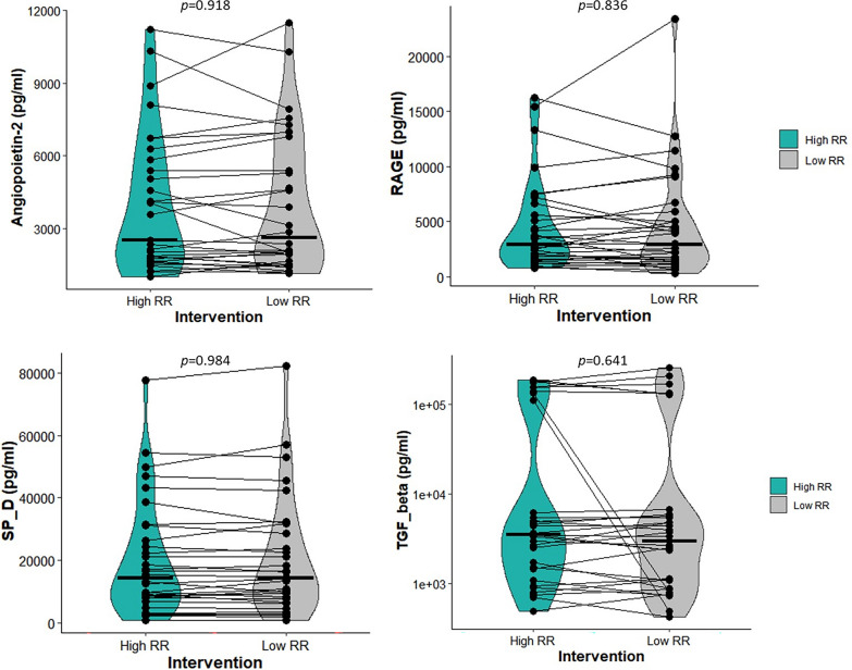
背景:呼吸频率(RR)是通气机械功率(MP)的关键决定因素。降低RR对MP的影响及其减轻呼吸机所致肺损伤的潜力尚不清楚。目的:比较使用低RR和高RR的有创通气对COVID-19 ARDS患者肺损伤的MP和血浆生物标志物的影响。方法:在一项针对COVID-19 ARDS患者的随机交叉临床研究中,我们比较了在12小时的时间段内使用较低和较高RR通气的患者。根据ARDS网络表,患者采用潮气量为6 ml/kg预测体重,呼气末正压和吸入氧分数通气。在每个周期结束时评估呼吸力学和血流动力学,并抽取血液样本测量炎症细胞因子、上皮和内皮肺损伤标志物。在一个亚组患者中,我们进行了超声心动图和食管压力测量。结果:我们共纳入32例患者,其中男性26例(81%),年龄52岁(44-64岁)。低RR和高RR通气时呼吸频率中位数分别为20[16-22]和30[26-32]次/分(p)。结论:在本交叉研究中,降低呼吸频率会降低COVID-19 ARDS患者的机械功率,但不会降低血浆肺损伤生物标志物水平。本研究在clinicaltrials.gov注册(研究标识符NCT04641897)。
本文章由计算机程序翻译,如有差异,请以英文原文为准。

Effect of decreasing respiratory rate on the mechanical power of ventilation and lung injury biomarkers: a randomized cross-over clinical study in COVID-19 ARDS patients.

Effect of decreasing respiratory rate on the mechanical power of ventilation and lung injury biomarkers: a randomized cross-over clinical study in COVID-19 ARDS patients.

Effect of decreasing respiratory rate on the mechanical power of ventilation and lung injury biomarkers: a randomized cross-over clinical study in COVID-19 ARDS patients.

Effect of decreasing respiratory rate on the mechanical power of ventilation and lung injury biomarkers: a randomized cross-over clinical study in COVID-19 ARDS patients.

Background: The respiratory rate (RR) is a key determinant of the mechanical power of ventilation (MP). The effect of reducing the RR on MP and its potential to mitigate ventilator-induced lung injury remains unclear.

Objectives: To compare invasive ventilation using a lower versus a higher RR with respect to MP and plasma biomarkers of lung injury in COVID-19 ARDS patients.

Methods: In a randomized cross-over clinical study in COVID-19 ARDS patients, we compared ventilation using a lower versus a higher RR in time blocks of 12 h. Patients were ventilated with tidal volumes of 6 ml/kg predicted body weight, and positive-end-expiratory pressure and fraction of inspired oxygen according to an ARDS network table. Respiratory mechanics and hemodynamics were assessed at the end of each period, and blood samples were drawn for measurements of inflammatory cytokines, epithelial and endothelial lung injury markers. In a subgroup of patients, we performed echocardiography and esophageal pressure measurements.

Results: We enrolled a total of 32 patients (26 males [81%], aged 52 [44-64] years). The median respiratory rate during ventilation with a lower and a higher RR was 20 [16-22] vs. 30 [26-32] breaths/min (p < 0.001), associated with a lower median minute ventilation (7.3 [6.5-8.5] vs. 11.6 [10-13] L/min [p < 0.001]) and a lower median MP (15 [11-18] vs. 25 [21-32] J/min [p < 0.001]). No differences were observed in any inflammatory (IL-6, IL-8, and TNF-R1), epithelial (s-RAGE and SP-D), endothelial (Angiopoietin-2), or pro-fibrotic activity (TGF-ß) marker between high or low RR. Cardiac function by echocardiography, and respiratory mechanics using esophageal pressure measurements were also not different.

Conclusions: Reducing the respiratory rate decreases mechanical power in COVID-19 ARDS patients but does not reduce plasma lung injury biomarkers levels in this cross-over study. Study registration This study is registered at clinicaltrials.gov (study identifier NCT04641897).

求助全文
通过发布文献求助,成功后即可免费获取论文全文。 去求助
来源期刊
Intensive Care Medicine Experimental
Intensive Care Medicine Experimental CRITICAL CARE MEDICINE-
CiteScore
5.10
自引率
2.90%
发文量
48
审稿时长
13 weeks
×
引用
GB/T 7714-2015
复制
MLA
复制
APA
复制
导出至
BibTeX EndNote RefMan NoteFirst NoteExpress
×
提示
您的信息不完整,为了账户安全,请先补充。
现在去补充
×
提示
您因"违规操作"
具体请查看互助需知
我知道了
×
提示
确定
请完成安全验证×
copy
已复制链接
快去分享给好友吧!
我知道了
右上角分享
点击右上角分享
0
联系我们:info@booksci.cn Book学术提供免费学术资源搜索服务,方便国内外学者检索中英文文献。致力于提供最便捷和优质的服务体验。 Copyright © 2023 布克学术 All rights reserved.
京ICP备2023020795号-1
ghs 京公网安备 11010802042870号
Book学术文献互助
Book学术文献互助群
群 号:604180095
Book学术官方微信