基于机器学习的在线网络计算器预测老年人肌肉减少性肥胖的风险。

IF 3.4 3区 医学 Q2 GERIATRICS & GERONTOLOGY
Jiale Guo, Qionghan He, Yehai Li
{"title":"基于机器学习的在线网络计算器预测老年人肌肉减少性肥胖的风险。","authors":"Jiale Guo, Qionghan He, Yehai Li","doi":"10.1007/s40520-025-03024-5","DOIUrl":null,"url":null,"abstract":"<p><strong>Background: </strong>Sarcopenic obesity (SO) has a higher risk of adverse health events compared to having obesity or sarcopenia alone due to the dual burden of both muscle loss and fat gain. The prevalence of SO is progressively increasing as the population ages and the obesity epidemic progresses. Currently, there are no tools for predicting the risk of SO, and this study aimed to construct a well-performing prediction tool based on machine learning.</p><p><strong>Methods: </strong>The National Health and Nutritional Examination Surveys (NHANES) 1999-2004 dataset was used for the analysis, and the included data were randomly divided into training and validation sets in the ratio of 70:30. Missing data is processed using multiple interpolation technique. A 5-fold cross-validated recursive feature elimination algorithm is used to rank the importance of features, and the top three important features from each algorithm are used as the features of the model for constructing the machine learning model. Six machine learning methods, CART, GBM, KNN, LR, NNet, XGBoost, were used to develop models and evaluated for discrimination, calibration, clinical utility, and robustness. The combined best-performing model was further developed into an online web calculator for clinical applications.</p><p><strong>Results: </strong>The study had 5607 participants, and 1139 (20.3%) of them had SO, with a prevalence of 21.2% among females and 19.4% among males. Combining all the performance evaluations, the GBM-based model has the best performance, which uses age, race, and BMI as the features of the model, and its AUC values in the training and validation sets are 0.820 and 0.832, and it has good calibration, clinical utility, and robustness.</p><p><strong>Conclusion: </strong>In this study, the GBM-based model performed well, and an online web calculator constructed on the basis of the model was used to identify the risk of SO in the US community for those over the age of 60.</p>","PeriodicalId":7720,"journal":{"name":"Aging Clinical and Experimental Research","volume":"37 1","pages":"210"},"PeriodicalIF":3.4000,"publicationDate":"2025-07-09","publicationTypes":"Journal Article","fieldsOfStudy":null,"isOpenAccess":false,"openAccessPdf":"https://www.ncbi.nlm.nih.gov/pmc/articles/PMC12241294/pdf/","citationCount":"0","resultStr":"{\"title\":\"Machine learning-based online web calculator predicts the risk of sarcopenic obesity in older adults.\",\"authors\":\"Jiale Guo, Qionghan He, Yehai Li\",\"doi\":\"10.1007/s40520-025-03024-5\",\"DOIUrl\":null,\"url\":null,\"abstract\":\"<p><strong>Background: </strong>Sarcopenic obesity (SO) has a higher risk of adverse health events compared to having obesity or sarcopenia alone due to the dual burden of both muscle loss and fat gain. The prevalence of SO is progressively increasing as the population ages and the obesity epidemic progresses. Currently, there are no tools for predicting the risk of SO, and this study aimed to construct a well-performing prediction tool based on machine learning.</p><p><strong>Methods: </strong>The National Health and Nutritional Examination Surveys (NHANES) 1999-2004 dataset was used for the analysis, and the included data were randomly divided into training and validation sets in the ratio of 70:30. Missing data is processed using multiple interpolation technique. A 5-fold cross-validated recursive feature elimination algorithm is used to rank the importance of features, and the top three important features from each algorithm are used as the features of the model for constructing the machine learning model. Six machine learning methods, CART, GBM, KNN, LR, NNet, XGBoost, were used to develop models and evaluated for discrimination, calibration, clinical utility, and robustness. The combined best-performing model was further developed into an online web calculator for clinical applications.</p><p><strong>Results: </strong>The study had 5607 participants, and 1139 (20.3%) of them had SO, with a prevalence of 21.2% among females and 19.4% among males. Combining all the performance evaluations, the GBM-based model has the best performance, which uses age, race, and BMI as the features of the model, and its AUC values in the training and validation sets are 0.820 and 0.832, and it has good calibration, clinical utility, and robustness.</p><p><strong>Conclusion: </strong>In this study, the GBM-based model performed well, and an online web calculator constructed on the basis of the model was used to identify the risk of SO in the US community for those over the age of 60.</p>\",\"PeriodicalId\":7720,\"journal\":{\"name\":\"Aging Clinical and Experimental Research\",\"volume\":\"37 1\",\"pages\":\"210\"},\"PeriodicalIF\":3.4000,\"publicationDate\":\"2025-07-09\",\"publicationTypes\":\"Journal Article\",\"fieldsOfStudy\":null,\"isOpenAccess\":false,\"openAccessPdf\":\"https://www.ncbi.nlm.nih.gov/pmc/articles/PMC12241294/pdf/\",\"citationCount\":\"0\",\"resultStr\":null,\"platform\":\"Semanticscholar\",\"paperid\":null,\"PeriodicalName\":\"Aging Clinical and Experimental Research\",\"FirstCategoryId\":\"3\",\"ListUrlMain\":\"https://doi.org/10.1007/s40520-025-03024-5\",\"RegionNum\":3,\"RegionCategory\":\"医学\",\"ArticlePicture\":[],\"TitleCN\":null,\"AbstractTextCN\":null,\"PMCID\":null,\"EPubDate\":\"\",\"PubModel\":\"\",\"JCR\":\"Q2\",\"JCRName\":\"GERIATRICS & GERONTOLOGY\",\"Score\":null,\"Total\":0}","platform":"Semanticscholar","paperid":null,"PeriodicalName":"Aging Clinical and Experimental Research","FirstCategoryId":"3","ListUrlMain":"https://doi.org/10.1007/s40520-025-03024-5","RegionNum":3,"RegionCategory":"医学","ArticlePicture":[],"TitleCN":null,"AbstractTextCN":null,"PMCID":null,"EPubDate":"","PubModel":"","JCR":"Q2","JCRName":"GERIATRICS & GERONTOLOGY","Score":null,"Total":0}
引用次数: 0

摘要

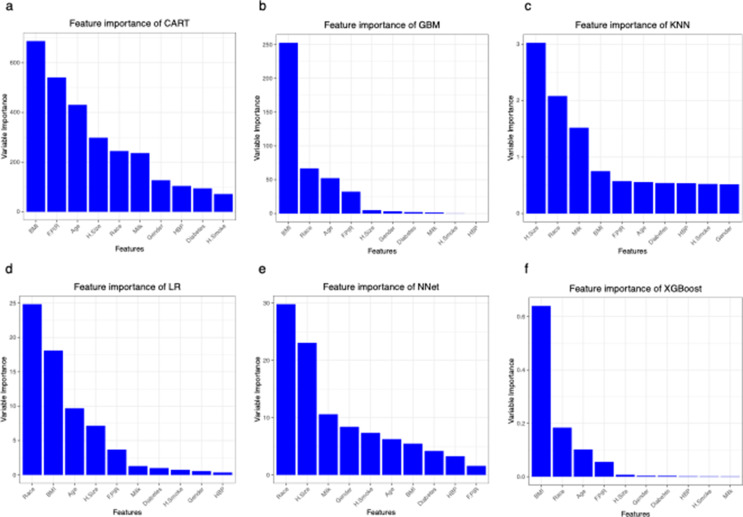
背景:由于肌肉损失和脂肪增加的双重负担,肌肉减少性肥胖(SO)比单纯的肥胖或肌肉减少症有更高的不良健康事件风险。随着人口老龄化和肥胖流行的进展,SO的患病率逐渐增加。目前还没有预测SO风险的工具,本研究旨在构建一个基于机器学习的性能良好的预测工具。方法:采用美国国家健康与营养调查(NHANES) 1999-2004年数据集进行分析,将纳入的数据按70:30的比例随机分为训练集和验证集。缺失数据的处理采用多重插值技术。采用5重交叉验证递归特征消除算法对特征的重要性进行排序,并将每种算法中最重要的3个特征作为模型的特征,用于构建机器学习模型。使用CART、GBM、KNN、LR、NNet、XGBoost等六种机器学习方法建立模型,并对其鉴别、校准、临床实用性和鲁棒性进行评估。综合最佳表现模型进一步发展成为临床应用的在线网络计算器。结果:共有5607名参与者,其中1139人(20.3%)患有SO,其中女性患病率为21.2%,男性患病率为19.4%。综合各项性能评价,以年龄、种族、BMI为模型特征的基于gbm的模型性能最好,其在训练集和验证集的AUC值分别为0.820和0.832,具有较好的校准性、临床实用性和鲁棒性。结论:在本研究中,基于gbm的模型表现良好,基于该模型构建的在线网络计算器可用于识别美国社区60岁以上人群的SO风险。
本文章由计算机程序翻译,如有差异,请以英文原文为准。

Machine learning-based online web calculator predicts the risk of sarcopenic obesity in older adults.

Machine learning-based online web calculator predicts the risk of sarcopenic obesity in older adults.

Machine learning-based online web calculator predicts the risk of sarcopenic obesity in older adults.

Machine learning-based online web calculator predicts the risk of sarcopenic obesity in older adults.

Background: Sarcopenic obesity (SO) has a higher risk of adverse health events compared to having obesity or sarcopenia alone due to the dual burden of both muscle loss and fat gain. The prevalence of SO is progressively increasing as the population ages and the obesity epidemic progresses. Currently, there are no tools for predicting the risk of SO, and this study aimed to construct a well-performing prediction tool based on machine learning.

Methods: The National Health and Nutritional Examination Surveys (NHANES) 1999-2004 dataset was used for the analysis, and the included data were randomly divided into training and validation sets in the ratio of 70:30. Missing data is processed using multiple interpolation technique. A 5-fold cross-validated recursive feature elimination algorithm is used to rank the importance of features, and the top three important features from each algorithm are used as the features of the model for constructing the machine learning model. Six machine learning methods, CART, GBM, KNN, LR, NNet, XGBoost, were used to develop models and evaluated for discrimination, calibration, clinical utility, and robustness. The combined best-performing model was further developed into an online web calculator for clinical applications.

Results: The study had 5607 participants, and 1139 (20.3%) of them had SO, with a prevalence of 21.2% among females and 19.4% among males. Combining all the performance evaluations, the GBM-based model has the best performance, which uses age, race, and BMI as the features of the model, and its AUC values in the training and validation sets are 0.820 and 0.832, and it has good calibration, clinical utility, and robustness.

Conclusion: In this study, the GBM-based model performed well, and an online web calculator constructed on the basis of the model was used to identify the risk of SO in the US community for those over the age of 60.

求助全文
通过发布文献求助,成功后即可免费获取论文全文。 去求助
来源期刊
CiteScore
7.90
自引率
5.00%
发文量
283
审稿时长
1 months
期刊介绍: Aging clinical and experimental research offers a multidisciplinary forum on the progressing field of gerontology and geriatrics. The areas covered by the journal include: biogerontology, neurosciences, epidemiology, clinical gerontology and geriatric assessment, social, economical and behavioral gerontology. “Aging clinical and experimental research” appears bimonthly and publishes review articles, original papers and case reports.
×
引用
GB/T 7714-2015
复制
MLA
复制
APA
复制
导出至
BibTeX EndNote RefMan NoteFirst NoteExpress
×
提示
您的信息不完整,为了账户安全,请先补充。
现在去补充
×
提示
您因"违规操作"
具体请查看互助需知
我知道了
×
提示
确定
请完成安全验证×
copy
已复制链接
快去分享给好友吧!
我知道了
右上角分享
点击右上角分享
0
联系我们:info@booksci.cn Book学术提供免费学术资源搜索服务,方便国内外学者检索中英文文献。致力于提供最便捷和优质的服务体验。 Copyright © 2023 布克学术 All rights reserved.
京ICP备2023020795号-1
ghs 京公网安备 11010802042870号
Book学术文献互助
Book学术文献互助群
群 号:604180095
Book学术官方微信