实性和囊性肾小肿块的鉴别:多期CT标记物在预测恶性组织学、亚型和分级中的作用。

Polish journal of radiology Pub Date : 2025-05-21 eCollection Date: 2025-01-01 DOI:10.5114/pjr/202588
Yulian Mytsyk
{"title":"实性和囊性肾小肿块的鉴别:多期CT标记物在预测恶性组织学、亚型和分级中的作用。","authors":"Yulian Mytsyk","doi":"10.5114/pjr/202588","DOIUrl":null,"url":null,"abstract":"<p><strong>Purpose: </strong>This study aimed to assess the diagnostic performance of multiphase contrast-enhanced computed tomography (MCECT) in differentiating benign and malignant solid and cystic small renal masses (SRMs), predicting histologic subtypes, and grading, using signal intensity (SI) and tumour-to-cortex signal intensity (TCSI) ratio.</p><p><strong>Material and methods: </strong>A retrospective analysis was conducted on 181 patients with solid and cystic SRMs (≤ 4 cm). MCECT imaging across 4 phases (non-contrast, corticomedullary, nephrographic, and excretory) was performed. SI and TCSI values were measured, and their diagnostic performance was evaluated using receiver operating characteristic (ROC) analysis. Solid, Bosniak IIF, III, and IV SRMs underwent histopathological confirmation.</p><p><strong>Results: </strong>Among solid SRMs, excretory phase SI achieved an area under the curve (AUC) of 0.848 for differentiating RCC from other SRMs, with 100% sensitivity and 61.3% specificity. For distinguishing renal cell carcinoma (RCC) from benign SRMs, the most effective parameter was the TCSI ratio obtained from computed tomography excretory phase (88.6% sensitivity, 52.4% specificity, 0.763 AUC). For Bosniak IIF cysts, the corticomedullary phase SI provided an AUC of 0.902, with 93% sensitivity and 87.5% specificity. RCC subtyping showed distinct SI characteristics across phases, particularly for clear cell RCC. Nephrographic phase SI differentiated low- versus high-grade RCC, with an AUC of 0.901, 90.2% sensitivity, and 86.4% specificity.</p><p><strong>Conclusions: </strong>MCECT-derived imaging biomarkers, particularly SI and TCSI, are effective non-invasive tools for characterising SRMs, aiding in the differentiation of benign and malignant lesions, histological subtypes, and tumour grades. Their integration with advanced radiomics could further enhance diagnostic accuracy.</p>","PeriodicalId":94174,"journal":{"name":"Polish journal of radiology","volume":"90 ","pages":"e239-e252"},"PeriodicalIF":0.0000,"publicationDate":"2025-05-21","publicationTypes":"Journal Article","fieldsOfStudy":null,"isOpenAccess":false,"openAccessPdf":"https://www.ncbi.nlm.nih.gov/pmc/articles/PMC12232405/pdf/","citationCount":"0","resultStr":"{\"title\":\"Differentiation of solid and cystic small renal masses: the role of multiphase CT markers in predicting malignant histology, subtype, and grade.\",\"authors\":\"Yulian Mytsyk\",\"doi\":\"10.5114/pjr/202588\",\"DOIUrl\":null,\"url\":null,\"abstract\":\"<p><strong>Purpose: </strong>This study aimed to assess the diagnostic performance of multiphase contrast-enhanced computed tomography (MCECT) in differentiating benign and malignant solid and cystic small renal masses (SRMs), predicting histologic subtypes, and grading, using signal intensity (SI) and tumour-to-cortex signal intensity (TCSI) ratio.</p><p><strong>Material and methods: </strong>A retrospective analysis was conducted on 181 patients with solid and cystic SRMs (≤ 4 cm). MCECT imaging across 4 phases (non-contrast, corticomedullary, nephrographic, and excretory) was performed. SI and TCSI values were measured, and their diagnostic performance was evaluated using receiver operating characteristic (ROC) analysis. Solid, Bosniak IIF, III, and IV SRMs underwent histopathological confirmation.</p><p><strong>Results: </strong>Among solid SRMs, excretory phase SI achieved an area under the curve (AUC) of 0.848 for differentiating RCC from other SRMs, with 100% sensitivity and 61.3% specificity. For distinguishing renal cell carcinoma (RCC) from benign SRMs, the most effective parameter was the TCSI ratio obtained from computed tomography excretory phase (88.6% sensitivity, 52.4% specificity, 0.763 AUC). For Bosniak IIF cysts, the corticomedullary phase SI provided an AUC of 0.902, with 93% sensitivity and 87.5% specificity. RCC subtyping showed distinct SI characteristics across phases, particularly for clear cell RCC. Nephrographic phase SI differentiated low- versus high-grade RCC, with an AUC of 0.901, 90.2% sensitivity, and 86.4% specificity.</p><p><strong>Conclusions: </strong>MCECT-derived imaging biomarkers, particularly SI and TCSI, are effective non-invasive tools for characterising SRMs, aiding in the differentiation of benign and malignant lesions, histological subtypes, and tumour grades. Their integration with advanced radiomics could further enhance diagnostic accuracy.</p>\",\"PeriodicalId\":94174,\"journal\":{\"name\":\"Polish journal of radiology\",\"volume\":\"90 \",\"pages\":\"e239-e252\"},\"PeriodicalIF\":0.0000,\"publicationDate\":\"2025-05-21\",\"publicationTypes\":\"Journal Article\",\"fieldsOfStudy\":null,\"isOpenAccess\":false,\"openAccessPdf\":\"https://www.ncbi.nlm.nih.gov/pmc/articles/PMC12232405/pdf/\",\"citationCount\":\"0\",\"resultStr\":null,\"platform\":\"Semanticscholar\",\"paperid\":null,\"PeriodicalName\":\"Polish journal of radiology\",\"FirstCategoryId\":\"1085\",\"ListUrlMain\":\"https://doi.org/10.5114/pjr/202588\",\"RegionNum\":0,\"RegionCategory\":null,\"ArticlePicture\":[],\"TitleCN\":null,\"AbstractTextCN\":null,\"PMCID\":null,\"EPubDate\":\"2025/1/1 0:00:00\",\"PubModel\":\"eCollection\",\"JCR\":\"\",\"JCRName\":\"\",\"Score\":null,\"Total\":0}","platform":"Semanticscholar","paperid":null,"PeriodicalName":"Polish journal of radiology","FirstCategoryId":"1085","ListUrlMain":"https://doi.org/10.5114/pjr/202588","RegionNum":0,"RegionCategory":null,"ArticlePicture":[],"TitleCN":null,"AbstractTextCN":null,"PMCID":null,"EPubDate":"2025/1/1 0:00:00","PubModel":"eCollection","JCR":"","JCRName":"","Score":null,"Total":0}
引用次数: 0

摘要

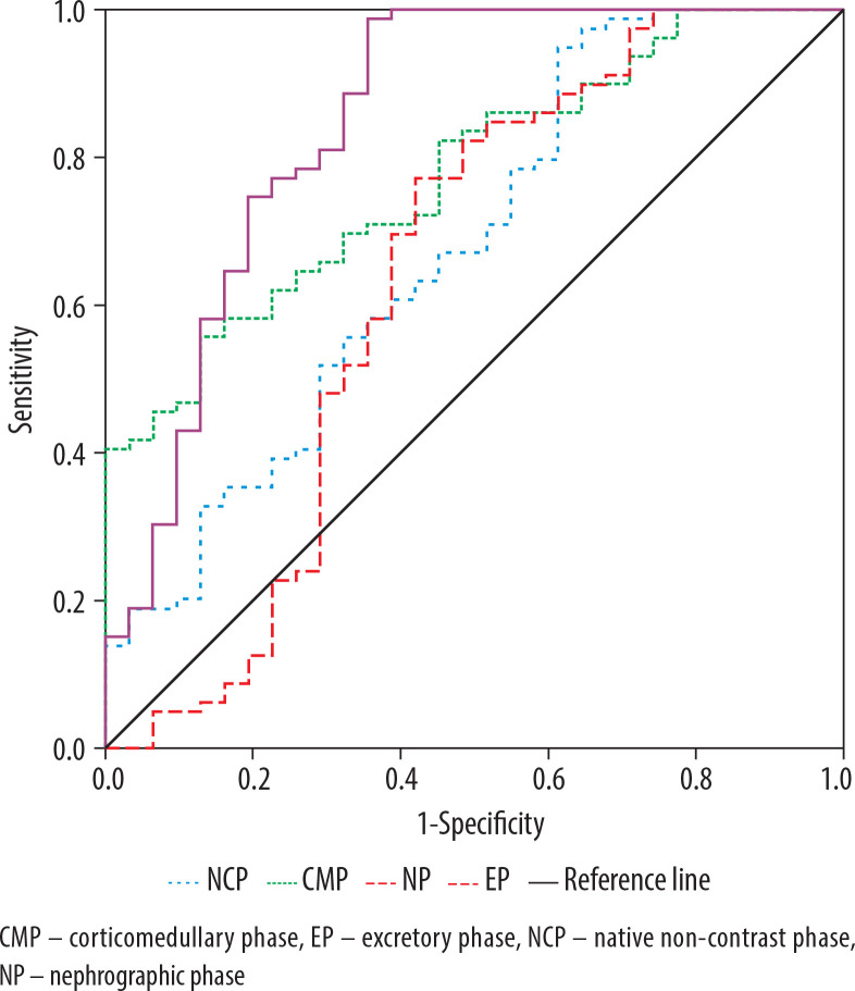
目的:本研究旨在评估多期增强计算机断层扫描(MCECT)在鉴别良恶性实性和囊性肾小肿块(SRMs)、预测组织学亚型和分级方面的诊断性能,使用信号强度(SI)和肿瘤与皮质信号强度(TCSI)比。材料与方法:回顾性分析181例实性和囊性srm(≤4 cm)患者。进行了4期(非对比、皮质髓质、肾造影和排泄)的MCECT成像。测量SI和TCSI值,并使用受试者工作特征(ROC)分析评估其诊断性能。Solid, Bosniak IIF, III和IV srm进行组织病理学证实。结果:在固体SRMs中,排泄期SI鉴别RCC与其他SRMs的曲线下面积(AUC)为0.848,敏感性为100%,特异性为61.3%。对于鉴别肾细胞癌(RCC)与良性SRMs,最有效的参数是ct排泄期TCSI比值(敏感性88.6%,特异性52.4%,AUC 0.763)。对于Bosniak IIF囊肿,皮质髓质期SI的AUC为0.902,敏感性为93%,特异性为87.5%。RCC亚型分型在不同阶段表现出明显的SI特征,特别是透明细胞RCC。肾显像期SI鉴别低级别和高级别肾细胞癌,AUC为0.901,敏感性为90.2%,特异性为86.4%。结论:mcect衍生的成像生物标志物,特别是SI和TCSI,是表征srm的有效非侵入性工具,有助于区分良性和恶性病变、组织学亚型和肿瘤分级。它们与先进放射组学的结合可以进一步提高诊断的准确性。
本文章由计算机程序翻译,如有差异,请以英文原文为准。

Differentiation of solid and cystic small renal masses: the role of multiphase CT markers in predicting malignant histology, subtype, and grade.

Differentiation of solid and cystic small renal masses: the role of multiphase CT markers in predicting malignant histology, subtype, and grade.

Differentiation of solid and cystic small renal masses: the role of multiphase CT markers in predicting malignant histology, subtype, and grade.

Differentiation of solid and cystic small renal masses: the role of multiphase CT markers in predicting malignant histology, subtype, and grade.

Purpose: This study aimed to assess the diagnostic performance of multiphase contrast-enhanced computed tomography (MCECT) in differentiating benign and malignant solid and cystic small renal masses (SRMs), predicting histologic subtypes, and grading, using signal intensity (SI) and tumour-to-cortex signal intensity (TCSI) ratio.

Material and methods: A retrospective analysis was conducted on 181 patients with solid and cystic SRMs (≤ 4 cm). MCECT imaging across 4 phases (non-contrast, corticomedullary, nephrographic, and excretory) was performed. SI and TCSI values were measured, and their diagnostic performance was evaluated using receiver operating characteristic (ROC) analysis. Solid, Bosniak IIF, III, and IV SRMs underwent histopathological confirmation.

Results: Among solid SRMs, excretory phase SI achieved an area under the curve (AUC) of 0.848 for differentiating RCC from other SRMs, with 100% sensitivity and 61.3% specificity. For distinguishing renal cell carcinoma (RCC) from benign SRMs, the most effective parameter was the TCSI ratio obtained from computed tomography excretory phase (88.6% sensitivity, 52.4% specificity, 0.763 AUC). For Bosniak IIF cysts, the corticomedullary phase SI provided an AUC of 0.902, with 93% sensitivity and 87.5% specificity. RCC subtyping showed distinct SI characteristics across phases, particularly for clear cell RCC. Nephrographic phase SI differentiated low- versus high-grade RCC, with an AUC of 0.901, 90.2% sensitivity, and 86.4% specificity.

Conclusions: MCECT-derived imaging biomarkers, particularly SI and TCSI, are effective non-invasive tools for characterising SRMs, aiding in the differentiation of benign and malignant lesions, histological subtypes, and tumour grades. Their integration with advanced radiomics could further enhance diagnostic accuracy.

求助全文
通过发布文献求助,成功后即可免费获取论文全文。 去求助
来源期刊
CiteScore
2.10
自引率
0.00%
发文量
0
×
引用
GB/T 7714-2015
复制
MLA
复制
APA
复制
导出至
BibTeX EndNote RefMan NoteFirst NoteExpress
×
提示
您的信息不完整,为了账户安全,请先补充。
现在去补充
×
提示
您因"违规操作"
具体请查看互助需知
我知道了
×
提示
确定
请完成安全验证×
copy
已复制链接
快去分享给好友吧!
我知道了
右上角分享
点击右上角分享
0
联系我们:info@booksci.cn Book学术提供免费学术资源搜索服务,方便国内外学者检索中英文文献。致力于提供最便捷和优质的服务体验。 Copyright © 2023 布克学术 All rights reserved.
京ICP备2023020795号-1
ghs 京公网安备 11010802042870号
Book学术文献互助
Book学术文献互助群
群 号:604180095
Book学术官方微信