皮层回路连通性的中断区分了广泛性痛觉过敏和局部疼痛。

IF 2.5 Q2 CLINICAL NEUROLOGY
Frontiers in pain research (Lausanne, Switzerland) Pub Date : 2025-06-20 eCollection Date: 2025-01-01 DOI:10.3389/fpain.2025.1548500
George Kenefati, Mika M Rockholt, Katherine Eisert, Qiaosheng Zhang, Deborah Ok, Christopher G Gharibo, Lucia Daiana Voiculescu, Lisa V Doan, Zhe Sage Chen, Jing Wang
{"title":"皮层回路连通性的中断区分了广泛性痛觉过敏和局部疼痛。","authors":"George Kenefati, Mika M Rockholt, Katherine Eisert, Qiaosheng Zhang, Deborah Ok, Christopher G Gharibo, Lucia Daiana Voiculescu, Lisa V Doan, Zhe Sage Chen, Jing Wang","doi":"10.3389/fpain.2025.1548500","DOIUrl":null,"url":null,"abstract":"<p><strong>Introduction: </strong>This study aims to investigate the interregional functional connectivity in chronic back pain patients with widespread hyperalgesia, patients with localized back pain, and pain-free controls using stimulus-evoked high-density EEG recordings.</p><p><strong>Methods: </strong>We conducted high-density EEG recordings to compare the functional connectivity and betweenness centrality between these groups.</p><p><strong>Results: </strong>Compared with controls, chronic pain patients showed altered functional connectivity between regions that process cognitive information and regions that process sensory or affective information. Widespread hyperalgesia, however, is further differentiated from localized pain by decreased inter-hemispheric connectivity of sensory and affective areas and increased intra-hemispheric connectivity between sensory and cognitive cortices. Graph-theoretic analysis showed that whereas chronic pain is associated with decreased centrality of prefrontal, orbitofrontal, and cingulate areas, widespread hyperalgesia is distinguished by increased centrality of prefrontal and insular areas.</p><p><strong>Discussion: </strong>Together, our results show that although widespread hyperalgesia shares certain features with localized pain, it is further characterized by distinct cortical mechanisms.</p>","PeriodicalId":73097,"journal":{"name":"Frontiers in pain research (Lausanne, Switzerland)","volume":"6 ","pages":"1548500"},"PeriodicalIF":2.5000,"publicationDate":"2025-06-20","publicationTypes":"Journal Article","fieldsOfStudy":null,"isOpenAccess":false,"openAccessPdf":"https://www.ncbi.nlm.nih.gov/pmc/articles/PMC12231525/pdf/","citationCount":"0","resultStr":"{\"title\":\"Disruptions in cortical circuit connectivity distinguish widespread hyperalgesia from localized pain.\",\"authors\":\"George Kenefati, Mika M Rockholt, Katherine Eisert, Qiaosheng Zhang, Deborah Ok, Christopher G Gharibo, Lucia Daiana Voiculescu, Lisa V Doan, Zhe Sage Chen, Jing Wang\",\"doi\":\"10.3389/fpain.2025.1548500\",\"DOIUrl\":null,\"url\":null,\"abstract\":\"<p><strong>Introduction: </strong>This study aims to investigate the interregional functional connectivity in chronic back pain patients with widespread hyperalgesia, patients with localized back pain, and pain-free controls using stimulus-evoked high-density EEG recordings.</p><p><strong>Methods: </strong>We conducted high-density EEG recordings to compare the functional connectivity and betweenness centrality between these groups.</p><p><strong>Results: </strong>Compared with controls, chronic pain patients showed altered functional connectivity between regions that process cognitive information and regions that process sensory or affective information. Widespread hyperalgesia, however, is further differentiated from localized pain by decreased inter-hemispheric connectivity of sensory and affective areas and increased intra-hemispheric connectivity between sensory and cognitive cortices. Graph-theoretic analysis showed that whereas chronic pain is associated with decreased centrality of prefrontal, orbitofrontal, and cingulate areas, widespread hyperalgesia is distinguished by increased centrality of prefrontal and insular areas.</p><p><strong>Discussion: </strong>Together, our results show that although widespread hyperalgesia shares certain features with localized pain, it is further characterized by distinct cortical mechanisms.</p>\",\"PeriodicalId\":73097,\"journal\":{\"name\":\"Frontiers in pain research (Lausanne, Switzerland)\",\"volume\":\"6 \",\"pages\":\"1548500\"},\"PeriodicalIF\":2.5000,\"publicationDate\":\"2025-06-20\",\"publicationTypes\":\"Journal Article\",\"fieldsOfStudy\":null,\"isOpenAccess\":false,\"openAccessPdf\":\"https://www.ncbi.nlm.nih.gov/pmc/articles/PMC12231525/pdf/\",\"citationCount\":\"0\",\"resultStr\":null,\"platform\":\"Semanticscholar\",\"paperid\":null,\"PeriodicalName\":\"Frontiers in pain research (Lausanne, Switzerland)\",\"FirstCategoryId\":\"1085\",\"ListUrlMain\":\"https://doi.org/10.3389/fpain.2025.1548500\",\"RegionNum\":0,\"RegionCategory\":null,\"ArticlePicture\":[],\"TitleCN\":null,\"AbstractTextCN\":null,\"PMCID\":null,\"EPubDate\":\"2025/1/1 0:00:00\",\"PubModel\":\"eCollection\",\"JCR\":\"Q2\",\"JCRName\":\"CLINICAL NEUROLOGY\",\"Score\":null,\"Total\":0}","platform":"Semanticscholar","paperid":null,"PeriodicalName":"Frontiers in pain research (Lausanne, Switzerland)","FirstCategoryId":"1085","ListUrlMain":"https://doi.org/10.3389/fpain.2025.1548500","RegionNum":0,"RegionCategory":null,"ArticlePicture":[],"TitleCN":null,"AbstractTextCN":null,"PMCID":null,"EPubDate":"2025/1/1 0:00:00","PubModel":"eCollection","JCR":"Q2","JCRName":"CLINICAL NEUROLOGY","Score":null,"Total":0}
引用次数: 0

摘要

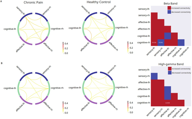
摘要:本研究旨在通过刺激诱发的高密度脑电图记录,研究伴有广泛痛觉过敏的慢性背痛患者、局限性背痛患者和无痛对照患者的区域间功能连通性。方法:采用高密度脑电图记录,比较各组的功能连通性和间性中心性。结果:与对照组相比,慢性疼痛患者表现出处理认知信息和处理感觉或情感信息区域之间功能连接的改变。然而,广泛性痛觉过敏可以通过感觉和情感区域的半球间连通性减少以及感觉和认知皮层之间的半球内连通性增加进一步与局部疼痛区分开来。图论分析表明,慢性疼痛与前额叶、眼窝前额叶和扣带区中心性下降有关,而广泛性痛觉过敏则与前额叶和岛状区中心性增加有关。讨论:总之,我们的研究结果表明,尽管广泛性痛觉过敏与局部疼痛有某些共同特征,但它进一步具有不同的皮质机制。
本文章由计算机程序翻译,如有差异,请以英文原文为准。

Disruptions in cortical circuit connectivity distinguish widespread hyperalgesia from localized pain.

Disruptions in cortical circuit connectivity distinguish widespread hyperalgesia from localized pain.

Disruptions in cortical circuit connectivity distinguish widespread hyperalgesia from localized pain.

Disruptions in cortical circuit connectivity distinguish widespread hyperalgesia from localized pain.

Introduction: This study aims to investigate the interregional functional connectivity in chronic back pain patients with widespread hyperalgesia, patients with localized back pain, and pain-free controls using stimulus-evoked high-density EEG recordings.

Methods: We conducted high-density EEG recordings to compare the functional connectivity and betweenness centrality between these groups.

Results: Compared with controls, chronic pain patients showed altered functional connectivity between regions that process cognitive information and regions that process sensory or affective information. Widespread hyperalgesia, however, is further differentiated from localized pain by decreased inter-hemispheric connectivity of sensory and affective areas and increased intra-hemispheric connectivity between sensory and cognitive cortices. Graph-theoretic analysis showed that whereas chronic pain is associated with decreased centrality of prefrontal, orbitofrontal, and cingulate areas, widespread hyperalgesia is distinguished by increased centrality of prefrontal and insular areas.

Discussion: Together, our results show that although widespread hyperalgesia shares certain features with localized pain, it is further characterized by distinct cortical mechanisms.

求助全文
通过发布文献求助,成功后即可免费获取论文全文。 去求助
来源期刊
CiteScore
2.10
自引率
0.00%
发文量
0
审稿时长
13 weeks
×
引用
GB/T 7714-2015
复制
MLA
复制
APA
复制
导出至
BibTeX EndNote RefMan NoteFirst NoteExpress
×
提示
您的信息不完整,为了账户安全,请先补充。
现在去补充
×
提示
您因"违规操作"
具体请查看互助需知
我知道了
×
提示
确定
请完成安全验证×
copy
已复制链接
快去分享给好友吧!
我知道了
右上角分享
点击右上角分享
0
联系我们:info@booksci.cn Book学术提供免费学术资源搜索服务,方便国内外学者检索中英文文献。致力于提供最便捷和优质的服务体验。 Copyright © 2023 布克学术 All rights reserved.
京ICP备2023020795号-1
ghs 京公网安备 11010802042870号
Book学术文献互助
Book学术文献互助群
群 号:604180095
Book学术官方微信