代理、犯罪风险和需求与累犯:一项包括14,000名成人司法相关个体的前瞻性纵向研究。

IF 1.2 4区 社会学 Q3 CRIMINOLOGY & PENOLOGY
Patrick Lussier, Pagnol Landry Kouassi, Julien Frechette
{"title":"代理、犯罪风险和需求与累犯:一项包括14,000名成人司法相关个体的前瞻性纵向研究。","authors":"Patrick Lussier, Pagnol Landry Kouassi, Julien Frechette","doi":"10.1177/0306624X251349530","DOIUrl":null,"url":null,"abstract":"<p><p>This study examines the role and importance of agency, defined as the ability to recognize personal issues and motivation to change. More specifically, the study aims to explore whether agency can help overcome criminogenic risk and needs in the context of community re-entry among justice-involved individuals. Based on a sample of 14,000 adult males sentenced to probation or incarceration, a series of survival analyses (e.g., Cox proportional hazards) were used to investigate the association between criminogenic risk and needs and agency-related indicators in relation to recidivism. The findings underscore the importance of criminogenic risks and needs while emphasizing the role of motivation to change as a possible moderator. Addressing criminogenic risk and needs while justice-involved individuals face numerous barriers and challenges make desistance from crime a long and difficult process, especially if interventions do not support agentic decisions and behaviors.</p>","PeriodicalId":48041,"journal":{"name":"International Journal of Offender Therapy and Comparative Criminology","volume":" ","pages":"1978-2006"},"PeriodicalIF":1.2000,"publicationDate":"2025-10-01","publicationTypes":"Journal Article","fieldsOfStudy":null,"isOpenAccess":false,"openAccessPdf":"https://www.ncbi.nlm.nih.gov/pmc/articles/PMC12397531/pdf/","citationCount":"0","resultStr":"{\"title\":\"Agency, Criminogenic Risk and Needs, and Recidivism: A Prospective Longitudinal Study Including 14,000 Adult Justice-involved Individuals.\",\"authors\":\"Patrick Lussier, Pagnol Landry Kouassi, Julien Frechette\",\"doi\":\"10.1177/0306624X251349530\",\"DOIUrl\":null,\"url\":null,\"abstract\":\"<p><p>This study examines the role and importance of agency, defined as the ability to recognize personal issues and motivation to change. More specifically, the study aims to explore whether agency can help overcome criminogenic risk and needs in the context of community re-entry among justice-involved individuals. Based on a sample of 14,000 adult males sentenced to probation or incarceration, a series of survival analyses (e.g., Cox proportional hazards) were used to investigate the association between criminogenic risk and needs and agency-related indicators in relation to recidivism. The findings underscore the importance of criminogenic risks and needs while emphasizing the role of motivation to change as a possible moderator. Addressing criminogenic risk and needs while justice-involved individuals face numerous barriers and challenges make desistance from crime a long and difficult process, especially if interventions do not support agentic decisions and behaviors.</p>\",\"PeriodicalId\":48041,\"journal\":{\"name\":\"International Journal of Offender Therapy and Comparative Criminology\",\"volume\":\" \",\"pages\":\"1978-2006\"},\"PeriodicalIF\":1.2000,\"publicationDate\":\"2025-10-01\",\"publicationTypes\":\"Journal Article\",\"fieldsOfStudy\":null,\"isOpenAccess\":false,\"openAccessPdf\":\"https://www.ncbi.nlm.nih.gov/pmc/articles/PMC12397531/pdf/\",\"citationCount\":\"0\",\"resultStr\":null,\"platform\":\"Semanticscholar\",\"paperid\":null,\"PeriodicalName\":\"International Journal of Offender Therapy and Comparative Criminology\",\"FirstCategoryId\":\"90\",\"ListUrlMain\":\"https://doi.org/10.1177/0306624X251349530\",\"RegionNum\":4,\"RegionCategory\":\"社会学\",\"ArticlePicture\":[],\"TitleCN\":null,\"AbstractTextCN\":null,\"PMCID\":null,\"EPubDate\":\"2025/7/8 0:00:00\",\"PubModel\":\"Epub\",\"JCR\":\"Q3\",\"JCRName\":\"CRIMINOLOGY & PENOLOGY\",\"Score\":null,\"Total\":0}","platform":"Semanticscholar","paperid":null,"PeriodicalName":"International Journal of Offender Therapy and Comparative Criminology","FirstCategoryId":"90","ListUrlMain":"https://doi.org/10.1177/0306624X251349530","RegionNum":4,"RegionCategory":"社会学","ArticlePicture":[],"TitleCN":null,"AbstractTextCN":null,"PMCID":null,"EPubDate":"2025/7/8 0:00:00","PubModel":"Epub","JCR":"Q3","JCRName":"CRIMINOLOGY & PENOLOGY","Score":null,"Total":0}
引用次数: 0

摘要

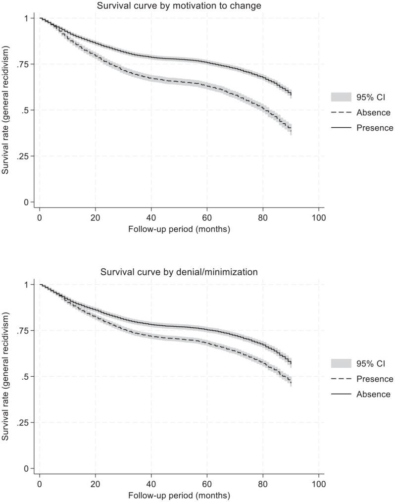
本研究探讨能动性的角色和重要性,定义为认识个人问题的能力和改变的动机。更具体地说,该研究旨在探讨机构是否可以帮助克服犯罪风险和需求,在社区重新进入司法参与的个人。基于14000名被判缓刑或监禁的成年男性的样本,采用一系列生存分析(如Cox比例风险)来调查犯罪风险与与累犯有关的需求和机构相关指标之间的关系。研究结果强调了犯罪风险和需求的重要性,同时强调了改变动机作为可能的调节因素的作用。在涉及司法的个人面临众多障碍和挑战的情况下解决犯罪风险和需求,使制止犯罪成为一个漫长而艰难的过程,特别是在干预措施不支持机构决定和行为的情况下。
本文章由计算机程序翻译,如有差异,请以英文原文为准。

Agency, Criminogenic Risk and Needs, and Recidivism: A Prospective Longitudinal Study Including 14,000 Adult Justice-involved Individuals.

Agency, Criminogenic Risk and Needs, and Recidivism: A Prospective Longitudinal Study Including 14,000 Adult Justice-involved Individuals.

Agency, Criminogenic Risk and Needs, and Recidivism: A Prospective Longitudinal Study Including 14,000 Adult Justice-involved Individuals.

Agency, Criminogenic Risk and Needs, and Recidivism: A Prospective Longitudinal Study Including 14,000 Adult Justice-involved Individuals.

This study examines the role and importance of agency, defined as the ability to recognize personal issues and motivation to change. More specifically, the study aims to explore whether agency can help overcome criminogenic risk and needs in the context of community re-entry among justice-involved individuals. Based on a sample of 14,000 adult males sentenced to probation or incarceration, a series of survival analyses (e.g., Cox proportional hazards) were used to investigate the association between criminogenic risk and needs and agency-related indicators in relation to recidivism. The findings underscore the importance of criminogenic risks and needs while emphasizing the role of motivation to change as a possible moderator. Addressing criminogenic risk and needs while justice-involved individuals face numerous barriers and challenges make desistance from crime a long and difficult process, especially if interventions do not support agentic decisions and behaviors.

求助全文
通过发布文献求助,成功后即可免费获取论文全文。 去求助
来源期刊
CiteScore
3.40
自引率
6.70%
发文量
164
期刊介绍: The International Journal of Press/Politics is an interdisciplinary journal for the analysis and discussion of the role of the press and politics in a globalized world. The Journal is interested in theoretical and empirical research on the linkages between the news media and political processes and actors. Special attention is given to the following subjects: the press and political institutions (e.g. the state, government, political parties, social movements, unions, interest groups, business), the politics of media coverage of social and cultural issues (e.g. race, language, health, environment, gender, nationhood, migration, labor), the dynamics and effects of political communication.
×
引用
GB/T 7714-2015
复制
MLA
复制
APA
复制
导出至
BibTeX EndNote RefMan NoteFirst NoteExpress
×
提示
您的信息不完整,为了账户安全,请先补充。
现在去补充
×
提示
您因"违规操作"
具体请查看互助需知
我知道了
×
提示
确定
请完成安全验证×
copy
已复制链接
快去分享给好友吧!
我知道了
右上角分享
点击右上角分享
0
联系我们:info@booksci.cn Book学术提供免费学术资源搜索服务,方便国内外学者检索中英文文献。致力于提供最便捷和优质的服务体验。 Copyright © 2023 布克学术 All rights reserved.
京ICP备2023020795号-1
ghs 京公网安备 11010802042870号
Book学术文献互助
Book学术文献互助群
群 号:604180095
Book学术官方微信