重组人生长激素治疗早产儿和足月短胎龄儿的疗效比较。

IF 3.3 Q3 ENDOCRINOLOGY & METABOLISM
Dohyung Kim, Ji-Hee Yoon, Soojin Hwang, Ja Hye Kim, Han-Wook Yoo, Jin-Ho Choi
{"title":"重组人生长激素治疗早产儿和足月短胎龄儿的疗效比较。","authors":"Dohyung Kim, Ji-Hee Yoon, Soojin Hwang, Ja Hye Kim, Han-Wook Yoo, Jin-Ho Choi","doi":"10.6065/apem.2448128.064","DOIUrl":null,"url":null,"abstract":"<p><strong>Purpose: </strong>With improvements in the infant survival rates for high-risk pregnancies, the prevalence of short stature in children born prematurely and small for gestational age (SGA) has also increased. The aim of this study was to compare the effectiveness of recombinant human growth hormone (rhGH) therapy for preterm and full-term SGA children with short stature.</p><p><strong>Methods: </strong>This study included 114 children born SGA (40 preterm and 74 term), who showed no catch-up growth by age 4 years and had undergone rhGH therapy for at least one year. The clinical parameters were reviewed retrospectively.</p><p><strong>Results: </strong>The mean height standard deviation scores (SDSs) for preterm and full-term SGA children at the start of rhGH therapy were -2.97±0.85 and -2.46±0.54, respectively. The mean duration of treatment was 3.3±1.9 years for preterm SGA children and 3.3±1.6 years for full-term SGA children. The height SDS increased to -1.13±0.96 in preterm children and -0.77±0.59 in full-term children by the fourth year of treatment. Full-term SGA children responded better to rhGH therapy than preterm children in the first year of therapy (P=0.03). Serum insulin-like growth factor 1 and insulin-like growth factor binding protein 3 levels significantly increased after the start of rhGH therapy (P<0.001).</p><p><strong>Conclusion: </strong>rhGH therapy significantly improved height SDS in both preterm and full-term SGA children, emphasizing the key role of this intervention for managing short stature in children born SGA, regardless of gestational age.</p>","PeriodicalId":44915,"journal":{"name":"Annals of Pediatric Endocrinology & Metabolism","volume":"30 3","pages":"140-148"},"PeriodicalIF":3.3000,"publicationDate":"2025-06-01","publicationTypes":"Journal Article","fieldsOfStudy":null,"isOpenAccess":false,"openAccessPdf":"https://www.ncbi.nlm.nih.gov/pmc/articles/PMC12235430/pdf/","citationCount":"0","resultStr":"{\"title\":\"Comparison of the effectiveness of recombinant human growth hormone therapy in preterm and full-term children with short stature born small for gestational age.\",\"authors\":\"Dohyung Kim, Ji-Hee Yoon, Soojin Hwang, Ja Hye Kim, Han-Wook Yoo, Jin-Ho Choi\",\"doi\":\"10.6065/apem.2448128.064\",\"DOIUrl\":null,\"url\":null,\"abstract\":\"<p><strong>Purpose: </strong>With improvements in the infant survival rates for high-risk pregnancies, the prevalence of short stature in children born prematurely and small for gestational age (SGA) has also increased. The aim of this study was to compare the effectiveness of recombinant human growth hormone (rhGH) therapy for preterm and full-term SGA children with short stature.</p><p><strong>Methods: </strong>This study included 114 children born SGA (40 preterm and 74 term), who showed no catch-up growth by age 4 years and had undergone rhGH therapy for at least one year. The clinical parameters were reviewed retrospectively.</p><p><strong>Results: </strong>The mean height standard deviation scores (SDSs) for preterm and full-term SGA children at the start of rhGH therapy were -2.97±0.85 and -2.46±0.54, respectively. The mean duration of treatment was 3.3±1.9 years for preterm SGA children and 3.3±1.6 years for full-term SGA children. The height SDS increased to -1.13±0.96 in preterm children and -0.77±0.59 in full-term children by the fourth year of treatment. Full-term SGA children responded better to rhGH therapy than preterm children in the first year of therapy (P=0.03). Serum insulin-like growth factor 1 and insulin-like growth factor binding protein 3 levels significantly increased after the start of rhGH therapy (P<0.001).</p><p><strong>Conclusion: </strong>rhGH therapy significantly improved height SDS in both preterm and full-term SGA children, emphasizing the key role of this intervention for managing short stature in children born SGA, regardless of gestational age.</p>\",\"PeriodicalId\":44915,\"journal\":{\"name\":\"Annals of Pediatric Endocrinology & Metabolism\",\"volume\":\"30 3\",\"pages\":\"140-148\"},\"PeriodicalIF\":3.3000,\"publicationDate\":\"2025-06-01\",\"publicationTypes\":\"Journal Article\",\"fieldsOfStudy\":null,\"isOpenAccess\":false,\"openAccessPdf\":\"https://www.ncbi.nlm.nih.gov/pmc/articles/PMC12235430/pdf/\",\"citationCount\":\"0\",\"resultStr\":null,\"platform\":\"Semanticscholar\",\"paperid\":null,\"PeriodicalName\":\"Annals of Pediatric Endocrinology & Metabolism\",\"FirstCategoryId\":\"1085\",\"ListUrlMain\":\"https://doi.org/10.6065/apem.2448128.064\",\"RegionNum\":0,\"RegionCategory\":null,\"ArticlePicture\":[],\"TitleCN\":null,\"AbstractTextCN\":null,\"PMCID\":null,\"EPubDate\":\"2025/6/30 0:00:00\",\"PubModel\":\"Epub\",\"JCR\":\"Q3\",\"JCRName\":\"ENDOCRINOLOGY & METABOLISM\",\"Score\":null,\"Total\":0}","platform":"Semanticscholar","paperid":null,"PeriodicalName":"Annals of Pediatric Endocrinology & Metabolism","FirstCategoryId":"1085","ListUrlMain":"https://doi.org/10.6065/apem.2448128.064","RegionNum":0,"RegionCategory":null,"ArticlePicture":[],"TitleCN":null,"AbstractTextCN":null,"PMCID":null,"EPubDate":"2025/6/30 0:00:00","PubModel":"Epub","JCR":"Q3","JCRName":"ENDOCRINOLOGY & METABOLISM","Score":null,"Total":0}
引用次数: 0

摘要

目的:随着高危妊娠婴儿存活率的提高,早产和小于胎龄(SGA)儿童身材矮小的患病率也有所增加。本研究的目的是比较重组人生长激素(rhGH)治疗早产儿和足月身高矮小的SGA儿童的有效性。方法:本研究纳入114例先天性SGA患儿(早产儿40例,足月74例),这些患儿在4岁前未出现追赶性生长,并接受了至少一年的rhGH治疗。回顾性分析临床参数。结果:在rhGH治疗开始时,早产儿和足月SGA儿童的平均身高标准差(SDSs)分别为-2.97±0.85和-2.46±0.54。早产儿SGA患儿平均治疗时间为3.3±1.9年,足月SGA患儿平均治疗时间为3.3±1.6年。治疗第4年时,早产儿的身高SDS为-1.13±0.96,足月儿童的身高SDS为-0.77±0.59。在治疗的第一年,足月SGA患儿对rhGH治疗的反应优于早产儿(P=0.03)。rhGH治疗开始后血清胰岛素样生长因子1和胰岛素样生长因子结合蛋白3水平显著升高(结论:rhGH治疗显著改善了早产和足月SGA儿童的身高SDS,强调了这种干预对SGA出生儿童身高矮小的关键作用,无论胎龄如何。
本文章由计算机程序翻译,如有差异,请以英文原文为准。

Comparison of the effectiveness of recombinant human growth hormone therapy in preterm and full-term children with short stature born small for gestational age.

Comparison of the effectiveness of recombinant human growth hormone therapy in preterm and full-term children with short stature born small for gestational age.

Comparison of the effectiveness of recombinant human growth hormone therapy in preterm and full-term children with short stature born small for gestational age.

Comparison of the effectiveness of recombinant human growth hormone therapy in preterm and full-term children with short stature born small for gestational age.

Purpose: With improvements in the infant survival rates for high-risk pregnancies, the prevalence of short stature in children born prematurely and small for gestational age (SGA) has also increased. The aim of this study was to compare the effectiveness of recombinant human growth hormone (rhGH) therapy for preterm and full-term SGA children with short stature.

Methods: This study included 114 children born SGA (40 preterm and 74 term), who showed no catch-up growth by age 4 years and had undergone rhGH therapy for at least one year. The clinical parameters were reviewed retrospectively.

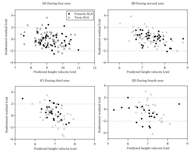
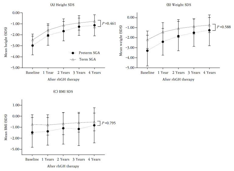
Results: The mean height standard deviation scores (SDSs) for preterm and full-term SGA children at the start of rhGH therapy were -2.97±0.85 and -2.46±0.54, respectively. The mean duration of treatment was 3.3±1.9 years for preterm SGA children and 3.3±1.6 years for full-term SGA children. The height SDS increased to -1.13±0.96 in preterm children and -0.77±0.59 in full-term children by the fourth year of treatment. Full-term SGA children responded better to rhGH therapy than preterm children in the first year of therapy (P=0.03). Serum insulin-like growth factor 1 and insulin-like growth factor binding protein 3 levels significantly increased after the start of rhGH therapy (P<0.001).

Conclusion: rhGH therapy significantly improved height SDS in both preterm and full-term SGA children, emphasizing the key role of this intervention for managing short stature in children born SGA, regardless of gestational age.

求助全文
通过发布文献求助,成功后即可免费获取论文全文。 去求助
来源期刊
CiteScore
4.00
自引率
18.20%
发文量
59
审稿时长
24 weeks
期刊介绍: The Annals of Pediatric Endocrinology & Metabolism Journal is the official publication of the Korean Society of Pediatric Endocrinology. Its formal abbreviated title is “Ann Pediatr Endocrinol Metab”. It is a peer-reviewed open access journal of medicine published in English. The journal was launched in 1996 under the title of ‘Journal of Korean Society of Pediatric Endocrinology’ until 2011 (pISSN 1226-2242). Since 2012, the title is now changed to ‘Annals of Pediatric Endocrinology & Metabolism’. The Journal is published four times per year on the last day of March, June, September, and December. It is widely distributed for free to members of the Korean Society of Pediatric Endocrinology, medical schools, libraries, and academic institutions. The journal is indexed/tracked/covered by web sites of PubMed Central, PubMed, Emerging Sources Citation Index (ESCI), Scopus, EBSCO, EMBASE, KoreaMed, KoMCI, KCI, Science Central, DOI/CrossRef, Directory of Open Access Journals(DOAJ), and Google Scholar. The aims of Annals of Pediatric Endocrinology & Metabolism are to contribute to the advancements in the fields of pediatric endocrinology & metabolism through the scientific reviews and interchange of all of pediatric endocrinology and metabolism. It aims to reflect the latest clinical, translational, and basic research trends from worldwide valuable achievements. In addition, genome research, epidemiology, public education and clinical practice guidelines in each country are welcomed for publication. The Journal particularly focuses on research conducted with Asian-Pacific children whose genetic and environmental backgrounds are different from those of the Western. Area of specific interest include the following : Growth, puberty, glucose metabolism including diabetes mellitus, obesity, nutrition, disorders of sexual development, pituitary, thyroid, parathyroid, adrenal cortex, bone or other endocrine and metabolic disorders from infancy through adolescence.
×
引用
GB/T 7714-2015
复制
MLA
复制
APA
复制
导出至
BibTeX EndNote RefMan NoteFirst NoteExpress
×
提示
您的信息不完整,为了账户安全,请先补充。
现在去补充
×
提示
您因"违规操作"
具体请查看互助需知
我知道了
×
提示
确定
请完成安全验证×
copy
已复制链接
快去分享给好友吧!
我知道了
右上角分享
点击右上角分享
0
联系我们:info@booksci.cn Book学术提供免费学术资源搜索服务,方便国内外学者检索中英文文献。致力于提供最便捷和优质的服务体验。 Copyright © 2023 布克学术 All rights reserved.
京ICP备2023020795号-1
ghs 京公网安备 11010802042870号
Book学术文献互助
Book学术文献互助群
群 号:604180095
Book学术官方微信