肠道菌群组成与伴侣犬的焦虑和攻击得分有关。

IF 3.9 2区 综合性期刊 Q1 MULTIDISCIPLINARY SCIENCES
Sarita D Pellowe, Allan Zhang, Dawn R D Bignell, Lourdes Peña-Castillo, Carolyn J Walsh
{"title":"肠道菌群组成与伴侣犬的焦虑和攻击得分有关。","authors":"Sarita D Pellowe, Allan Zhang, Dawn R D Bignell, Lourdes Peña-Castillo, Carolyn J Walsh","doi":"10.1038/s41598-025-06178-4","DOIUrl":null,"url":null,"abstract":"<p><p>There is mounting evidence for a link between behaviour and the gut microbiome in animal and human health. However, the role of the gut microbiome in the development and severity of behavioural issues in companion dogs is not yet fully understood. Here, we investigated the relationship between gut microbiota composition and aggression or anxiety in pet dogs. Dogs were assigned to higher or lower anxiety and aggression groups based on their owner's responses to the Canine Behavioral Assessment & Research Questionnaire (C-BARQ). Then, the gut microbiota composition of each animal, sequenced from microbial DNA extracted from fecal samples, was assessed for association with the dog's assigned behavioural group using multiple approaches. While minimal differences in relative abundance were seen between behavioural groups, machine-learning and compositional balance models could predict behavioural group based on gut microbiota composition. The genus Blautia was identified consistently across analyses, suggesting a link between this genus and anxiety in pet dogs. This study provides insight into specific bacteria that are linked to increased anxiety and aggression in pet dogs. Further research is required to identify bacteria to the species level, and to better understand the specific role of Blautia in the canine gut-brain axis.</p>","PeriodicalId":21811,"journal":{"name":"Scientific Reports","volume":"15 1","pages":"24336"},"PeriodicalIF":3.9000,"publicationDate":"2025-07-08","publicationTypes":"Journal Article","fieldsOfStudy":null,"isOpenAccess":false,"openAccessPdf":"https://www.ncbi.nlm.nih.gov/pmc/articles/PMC12234828/pdf/","citationCount":"0","resultStr":"{\"title\":\"Gut microbiota composition is related to anxiety and aggression scores in companion dogs.\",\"authors\":\"Sarita D Pellowe, Allan Zhang, Dawn R D Bignell, Lourdes Peña-Castillo, Carolyn J Walsh\",\"doi\":\"10.1038/s41598-025-06178-4\",\"DOIUrl\":null,\"url\":null,\"abstract\":\"<p><p>There is mounting evidence for a link between behaviour and the gut microbiome in animal and human health. However, the role of the gut microbiome in the development and severity of behavioural issues in companion dogs is not yet fully understood. Here, we investigated the relationship between gut microbiota composition and aggression or anxiety in pet dogs. Dogs were assigned to higher or lower anxiety and aggression groups based on their owner's responses to the Canine Behavioral Assessment & Research Questionnaire (C-BARQ). Then, the gut microbiota composition of each animal, sequenced from microbial DNA extracted from fecal samples, was assessed for association with the dog's assigned behavioural group using multiple approaches. While minimal differences in relative abundance were seen between behavioural groups, machine-learning and compositional balance models could predict behavioural group based on gut microbiota composition. The genus Blautia was identified consistently across analyses, suggesting a link between this genus and anxiety in pet dogs. This study provides insight into specific bacteria that are linked to increased anxiety and aggression in pet dogs. Further research is required to identify bacteria to the species level, and to better understand the specific role of Blautia in the canine gut-brain axis.</p>\",\"PeriodicalId\":21811,\"journal\":{\"name\":\"Scientific Reports\",\"volume\":\"15 1\",\"pages\":\"24336\"},\"PeriodicalIF\":3.9000,\"publicationDate\":\"2025-07-08\",\"publicationTypes\":\"Journal Article\",\"fieldsOfStudy\":null,\"isOpenAccess\":false,\"openAccessPdf\":\"https://www.ncbi.nlm.nih.gov/pmc/articles/PMC12234828/pdf/\",\"citationCount\":\"0\",\"resultStr\":null,\"platform\":\"Semanticscholar\",\"paperid\":null,\"PeriodicalName\":\"Scientific Reports\",\"FirstCategoryId\":\"103\",\"ListUrlMain\":\"https://doi.org/10.1038/s41598-025-06178-4\",\"RegionNum\":2,\"RegionCategory\":\"综合性期刊\",\"ArticlePicture\":[],\"TitleCN\":null,\"AbstractTextCN\":null,\"PMCID\":null,\"EPubDate\":\"\",\"PubModel\":\"\",\"JCR\":\"Q1\",\"JCRName\":\"MULTIDISCIPLINARY SCIENCES\",\"Score\":null,\"Total\":0}","platform":"Semanticscholar","paperid":null,"PeriodicalName":"Scientific Reports","FirstCategoryId":"103","ListUrlMain":"https://doi.org/10.1038/s41598-025-06178-4","RegionNum":2,"RegionCategory":"综合性期刊","ArticlePicture":[],"TitleCN":null,"AbstractTextCN":null,"PMCID":null,"EPubDate":"","PubModel":"","JCR":"Q1","JCRName":"MULTIDISCIPLINARY SCIENCES","Score":null,"Total":0}
引用次数: 0

摘要

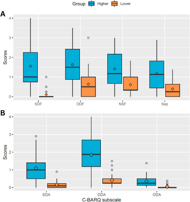
越来越多的证据表明,动物和人类的行为与肠道微生物群之间存在联系。然而,肠道微生物群在伴侣犬行为问题的发展和严重程度中的作用尚未完全了解。在这里,我们研究了宠物狗肠道微生物群组成与攻击或焦虑之间的关系。根据狗主人对犬类行为评估与研究问卷(C-BARQ)的回答,狗被分配到焦虑和攻击程度较高或较低的组。然后,利用从粪便样本中提取的微生物DNA对每只动物的肠道微生物群组成进行测序,并使用多种方法评估与狗的指定行为组的关联。虽然行为组之间的相对丰度差异很小,但机器学习和成分平衡模型可以根据肠道微生物群组成预测行为组。在所有分析中都一致地确定了Blautia属,这表明该属与宠物狗的焦虑之间存在联系。这项研究深入了解了与宠物狗焦虑和攻击性增加有关的特定细菌。进一步的研究需要将细菌识别到物种水平,并更好地了解Blautia在犬肠-脑轴中的具体作用。
本文章由计算机程序翻译,如有差异,请以英文原文为准。

Gut microbiota composition is related to anxiety and aggression scores in companion dogs.

Gut microbiota composition is related to anxiety and aggression scores in companion dogs.

Gut microbiota composition is related to anxiety and aggression scores in companion dogs.

Gut microbiota composition is related to anxiety and aggression scores in companion dogs.

There is mounting evidence for a link between behaviour and the gut microbiome in animal and human health. However, the role of the gut microbiome in the development and severity of behavioural issues in companion dogs is not yet fully understood. Here, we investigated the relationship between gut microbiota composition and aggression or anxiety in pet dogs. Dogs were assigned to higher or lower anxiety and aggression groups based on their owner's responses to the Canine Behavioral Assessment & Research Questionnaire (C-BARQ). Then, the gut microbiota composition of each animal, sequenced from microbial DNA extracted from fecal samples, was assessed for association with the dog's assigned behavioural group using multiple approaches. While minimal differences in relative abundance were seen between behavioural groups, machine-learning and compositional balance models could predict behavioural group based on gut microbiota composition. The genus Blautia was identified consistently across analyses, suggesting a link between this genus and anxiety in pet dogs. This study provides insight into specific bacteria that are linked to increased anxiety and aggression in pet dogs. Further research is required to identify bacteria to the species level, and to better understand the specific role of Blautia in the canine gut-brain axis.

求助全文
通过发布文献求助,成功后即可免费获取论文全文。 去求助
来源期刊
Scientific Reports
Scientific Reports Natural Science Disciplines-
CiteScore
7.50
自引率
4.30%
发文量
19567
审稿时长
3.9 months
期刊介绍: We publish original research from all areas of the natural sciences, psychology, medicine and engineering. You can learn more about what we publish by browsing our specific scientific subject areas below or explore Scientific Reports by browsing all articles and collections. Scientific Reports has a 2-year impact factor: 4.380 (2021), and is the 6th most-cited journal in the world, with more than 540,000 citations in 2020 (Clarivate Analytics, 2021). •Engineering Engineering covers all aspects of engineering, technology, and applied science. It plays a crucial role in the development of technologies to address some of the world''s biggest challenges, helping to save lives and improve the way we live. •Physical sciences Physical sciences are those academic disciplines that aim to uncover the underlying laws of nature — often written in the language of mathematics. It is a collective term for areas of study including astronomy, chemistry, materials science and physics. •Earth and environmental sciences Earth and environmental sciences cover all aspects of Earth and planetary science and broadly encompass solid Earth processes, surface and atmospheric dynamics, Earth system history, climate and climate change, marine and freshwater systems, and ecology. It also considers the interactions between humans and these systems. •Biological sciences Biological sciences encompass all the divisions of natural sciences examining various aspects of vital processes. The concept includes anatomy, physiology, cell biology, biochemistry and biophysics, and covers all organisms from microorganisms, animals to plants. •Health sciences The health sciences study health, disease and healthcare. This field of study aims to develop knowledge, interventions and technology for use in healthcare to improve the treatment of patients.
×
引用
GB/T 7714-2015
复制
MLA
复制
APA
复制
导出至
BibTeX EndNote RefMan NoteFirst NoteExpress
×
提示
您的信息不完整,为了账户安全,请先补充。
现在去补充
×
提示
您因"违规操作"
具体请查看互助需知
我知道了
×
提示
确定
请完成安全验证×
copy
已复制链接
快去分享给好友吧!
我知道了
右上角分享
点击右上角分享
0
联系我们:info@booksci.cn Book学术提供免费学术资源搜索服务,方便国内外学者检索中英文文献。致力于提供最便捷和优质的服务体验。 Copyright © 2023 布克学术 All rights reserved.
京ICP备2023020795号-1
ghs 京公网安备 11010802042870号
Book学术文献互助
Book学术文献互助群
群 号:604180095
Book学术官方微信