腰椎退行性疾病内固定术后手术部位感染的nomogram预测模型的建立与验证。

IF 2.1 3区 医学 Q2 ANESTHESIOLOGY
Yongjun Liu, Xiaodong Wei, Xiaoyan Chen, Yan Ding
{"title":"腰椎退行性疾病内固定术后手术部位感染的nomogram预测模型的建立与验证。","authors":"Yongjun Liu, Xiaodong Wei, Xiaoyan Chen, Yan Ding","doi":"10.1186/s13741-025-00556-2","DOIUrl":null,"url":null,"abstract":"<p><strong>Purpose: </strong>This retrospective study aimed to investigate the incidence and risk factors for surgical site infection (SSI) following instrumentation for degenerative lumbar spinal diseases, and to develop a predictive nomogram model.</p><p><strong>Method: </strong>Patients who underwent posterior instrumentation for degenerative lumbar spinal diseases between January 2020 and December 2022 with a minimum 12-month follow-up were included. Patients were classified as having an SSI or not, and differences in demographics, clinical data, and laboratory indicators were compared. Multivariate logistic regression was performed to identify independent risk factors, and a nomogram was constructed to visualize the results.</p><p><strong>Results: </strong>The study included 1,462 patients (687 men, 775 women) with a mean age of 52.9 ± 13.7 years and 53 patients (3.5%) developed an SSI. Multivariate analysis identified several risk factors for SSI: higher ASA class (III or IV vs I or II, OR = 2.362; 95%CI, 1.312 to 4.249), surgery involving sacral vertebrae (OR = 2.319; 95%CI, 1.242 to 4.330), open surgery compared to minimally invasive surgery (OR = 3.081; 95%CI, 1.701 to 5.581), prolonged surgical time (per hour increase, OR = 1.482; 95%CI, 1.017 to 2.160), and preoperative hemoglobin < 100 g/L (OR = 4.962; 95%CI, 1.728 to 6.943). The nomogram model demonstrated good discrimination, with a C-index of 0.743 (95% CI: 0.682-0.804), which remained robust at 0.722 after 1,000 bootstrap verifications. The calibration curve indicated the predicted SSI probability aligned well with the actual probability.</p><p><strong>Conclusions: </strong>This study found a moderate 3.5% SSI rate following instrumentation for degenerative lumbar spinal diseases and identified several risk factors. These findings can inform preoperative patient counseling, risk assessment, and the development of personalized strategies to mitigate SSI.</p>","PeriodicalId":19764,"journal":{"name":"Perioperative Medicine","volume":"14 1","pages":"71"},"PeriodicalIF":2.1000,"publicationDate":"2025-07-07","publicationTypes":"Journal Article","fieldsOfStudy":null,"isOpenAccess":false,"openAccessPdf":"https://www.ncbi.nlm.nih.gov/pmc/articles/PMC12235930/pdf/","citationCount":"0","resultStr":"{\"title\":\"Development and validation of a nomogram prediction model for surgical site infection after instrumentation for degenerative lumbar spinal diseases.\",\"authors\":\"Yongjun Liu, Xiaodong Wei, Xiaoyan Chen, Yan Ding\",\"doi\":\"10.1186/s13741-025-00556-2\",\"DOIUrl\":null,\"url\":null,\"abstract\":\"<p><strong>Purpose: </strong>This retrospective study aimed to investigate the incidence and risk factors for surgical site infection (SSI) following instrumentation for degenerative lumbar spinal diseases, and to develop a predictive nomogram model.</p><p><strong>Method: </strong>Patients who underwent posterior instrumentation for degenerative lumbar spinal diseases between January 2020 and December 2022 with a minimum 12-month follow-up were included. Patients were classified as having an SSI or not, and differences in demographics, clinical data, and laboratory indicators were compared. Multivariate logistic regression was performed to identify independent risk factors, and a nomogram was constructed to visualize the results.</p><p><strong>Results: </strong>The study included 1,462 patients (687 men, 775 women) with a mean age of 52.9 ± 13.7 years and 53 patients (3.5%) developed an SSI. Multivariate analysis identified several risk factors for SSI: higher ASA class (III or IV vs I or II, OR = 2.362; 95%CI, 1.312 to 4.249), surgery involving sacral vertebrae (OR = 2.319; 95%CI, 1.242 to 4.330), open surgery compared to minimally invasive surgery (OR = 3.081; 95%CI, 1.701 to 5.581), prolonged surgical time (per hour increase, OR = 1.482; 95%CI, 1.017 to 2.160), and preoperative hemoglobin < 100 g/L (OR = 4.962; 95%CI, 1.728 to 6.943). The nomogram model demonstrated good discrimination, with a C-index of 0.743 (95% CI: 0.682-0.804), which remained robust at 0.722 after 1,000 bootstrap verifications. The calibration curve indicated the predicted SSI probability aligned well with the actual probability.</p><p><strong>Conclusions: </strong>This study found a moderate 3.5% SSI rate following instrumentation for degenerative lumbar spinal diseases and identified several risk factors. These findings can inform preoperative patient counseling, risk assessment, and the development of personalized strategies to mitigate SSI.</p>\",\"PeriodicalId\":19764,\"journal\":{\"name\":\"Perioperative Medicine\",\"volume\":\"14 1\",\"pages\":\"71\"},\"PeriodicalIF\":2.1000,\"publicationDate\":\"2025-07-07\",\"publicationTypes\":\"Journal Article\",\"fieldsOfStudy\":null,\"isOpenAccess\":false,\"openAccessPdf\":\"https://www.ncbi.nlm.nih.gov/pmc/articles/PMC12235930/pdf/\",\"citationCount\":\"0\",\"resultStr\":null,\"platform\":\"Semanticscholar\",\"paperid\":null,\"PeriodicalName\":\"Perioperative Medicine\",\"FirstCategoryId\":\"3\",\"ListUrlMain\":\"https://doi.org/10.1186/s13741-025-00556-2\",\"RegionNum\":3,\"RegionCategory\":\"医学\",\"ArticlePicture\":[],\"TitleCN\":null,\"AbstractTextCN\":null,\"PMCID\":null,\"EPubDate\":\"\",\"PubModel\":\"\",\"JCR\":\"Q2\",\"JCRName\":\"ANESTHESIOLOGY\",\"Score\":null,\"Total\":0}","platform":"Semanticscholar","paperid":null,"PeriodicalName":"Perioperative Medicine","FirstCategoryId":"3","ListUrlMain":"https://doi.org/10.1186/s13741-025-00556-2","RegionNum":3,"RegionCategory":"医学","ArticlePicture":[],"TitleCN":null,"AbstractTextCN":null,"PMCID":null,"EPubDate":"","PubModel":"","JCR":"Q2","JCRName":"ANESTHESIOLOGY","Score":null,"Total":0}
引用次数: 0

摘要

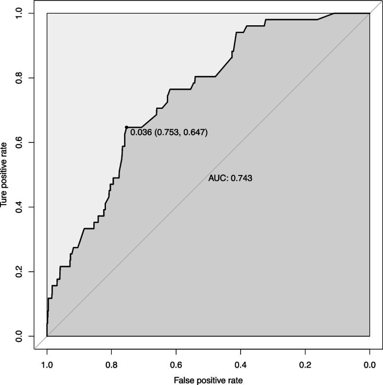
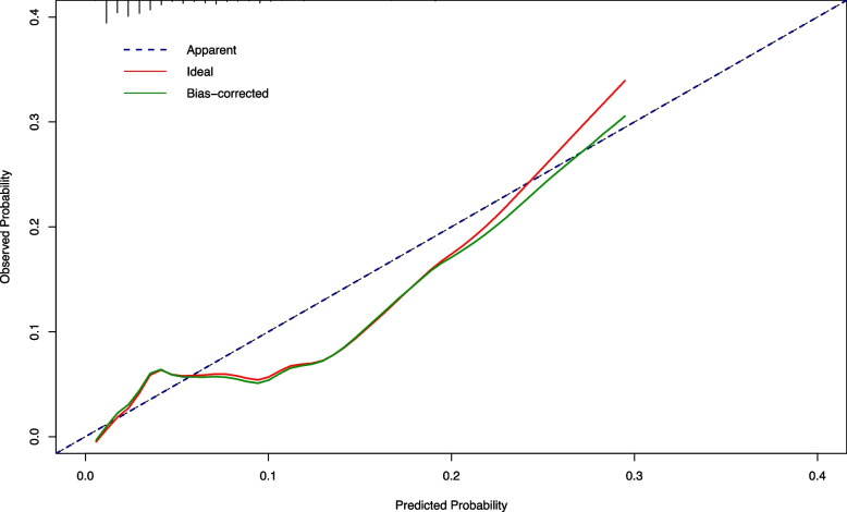
目的:本回顾性研究旨在探讨退行性腰椎疾病内固定术后手术部位感染(SSI)的发生率和危险因素,并建立预测nomogram模型。方法:纳入2020年1月至2022年12月期间因退行性腰椎疾病接受后路内固定术的患者,随访至少12个月。将患者分为是否有SSI,并比较人口统计学、临床数据和实验室指标的差异。采用多因素logistic回归分析确定独立危险因素,并构建nomogram可视化分析结果。结果:研究纳入1462例患者(男性687例,女性775例),平均年龄52.9±13.7岁,53例(3.5%)发生SSI。多因素分析确定了SSI的几个危险因素:较高的ASA等级(III或IV vs I或II, or = 2.362;95%CI, 1.312 ~ 4.249),骶骨手术(OR = 2.319;95%CI, 1.242 ~ 4.330),开放手术与微创手术相比(OR = 3.081;95%CI, 1.701 ~ 5.581),延长手术时间(每小时增加,OR = 1.482;结论:本研究发现腰椎退行性疾病内固定后SSI发生率为3.5%,并确定了几个危险因素。这些发现可以为术前患者咨询、风险评估和制定减轻SSI的个性化策略提供信息。
本文章由计算机程序翻译,如有差异,请以英文原文为准。

Development and validation of a nomogram prediction model for surgical site infection after instrumentation for degenerative lumbar spinal diseases.

Development and validation of a nomogram prediction model for surgical site infection after instrumentation for degenerative lumbar spinal diseases.

Development and validation of a nomogram prediction model for surgical site infection after instrumentation for degenerative lumbar spinal diseases.

Development and validation of a nomogram prediction model for surgical site infection after instrumentation for degenerative lumbar spinal diseases.

Purpose: This retrospective study aimed to investigate the incidence and risk factors for surgical site infection (SSI) following instrumentation for degenerative lumbar spinal diseases, and to develop a predictive nomogram model.

Method: Patients who underwent posterior instrumentation for degenerative lumbar spinal diseases between January 2020 and December 2022 with a minimum 12-month follow-up were included. Patients were classified as having an SSI or not, and differences in demographics, clinical data, and laboratory indicators were compared. Multivariate logistic regression was performed to identify independent risk factors, and a nomogram was constructed to visualize the results.

Results: The study included 1,462 patients (687 men, 775 women) with a mean age of 52.9 ± 13.7 years and 53 patients (3.5%) developed an SSI. Multivariate analysis identified several risk factors for SSI: higher ASA class (III or IV vs I or II, OR = 2.362; 95%CI, 1.312 to 4.249), surgery involving sacral vertebrae (OR = 2.319; 95%CI, 1.242 to 4.330), open surgery compared to minimally invasive surgery (OR = 3.081; 95%CI, 1.701 to 5.581), prolonged surgical time (per hour increase, OR = 1.482; 95%CI, 1.017 to 2.160), and preoperative hemoglobin < 100 g/L (OR = 4.962; 95%CI, 1.728 to 6.943). The nomogram model demonstrated good discrimination, with a C-index of 0.743 (95% CI: 0.682-0.804), which remained robust at 0.722 after 1,000 bootstrap verifications. The calibration curve indicated the predicted SSI probability aligned well with the actual probability.

Conclusions: This study found a moderate 3.5% SSI rate following instrumentation for degenerative lumbar spinal diseases and identified several risk factors. These findings can inform preoperative patient counseling, risk assessment, and the development of personalized strategies to mitigate SSI.

求助全文
通过发布文献求助,成功后即可免费获取论文全文。 去求助
来源期刊
自引率
3.80%
发文量
55
审稿时长
10 weeks
×
引用
GB/T 7714-2015
复制
MLA
复制
APA
复制
导出至
BibTeX EndNote RefMan NoteFirst NoteExpress
×
提示
您的信息不完整,为了账户安全,请先补充。
现在去补充
×
提示
您因"违规操作"
具体请查看互助需知
我知道了
×
提示
确定
请完成安全验证×
copy
已复制链接
快去分享给好友吧!
我知道了
右上角分享
点击右上角分享
0
联系我们:info@booksci.cn Book学术提供免费学术资源搜索服务,方便国内外学者检索中英文文献。致力于提供最便捷和优质的服务体验。 Copyright © 2023 布克学术 All rights reserved.
京ICP备2023020795号-1
ghs 京公网安备 11010802042870号
Book学术文献互助
Book学术文献互助群
群 号:604180095
Book学术官方微信