在短时间和长时间的高强度功能性训练中,多成分运动前补充对起搏和动力表达的急性影响。

IF 3.9 2区 医学 Q1 NUTRITION & DIETETICS
Gerald T Mangine, Christopher Staples, James W Henley, Ashley Hines, Kristyn C McGeehan, Wysmark Chaves, Wil King, Tiffany A Esmat, John R McLester, Jacob L Grazer
{"title":"在短时间和长时间的高强度功能性训练中,多成分运动前补充对起搏和动力表达的急性影响。","authors":"Gerald T Mangine, Christopher Staples, James W Henley, Ashley Hines, Kristyn C McGeehan, Wysmark Chaves, Wil King, Tiffany A Esmat, John R McLester, Jacob L Grazer","doi":"10.1080/15502783.2025.2529906","DOIUrl":null,"url":null,"abstract":"<p><strong>Background: </strong>High-intensity functional training (HIFT) varies daily workout programming, and trainees are often tasked with completing \"as many repetitions as possible\" (AMRAP) within a set time. Successful performance depends on fatigue management skills and maintaining a consistent expression of force and velocity when performing and transitioning between exercises over the duration of the workout. Multi-ingredient pre-workout (MIPS) supplement formulations often contain ingredients shown to facilitate energy availability and mitigate fatigue, and therefore, might positively affect HIFT performance. This study aimed to assess a multi-ingredient pre-workout supplement's acute effect on pacing and the expression of kinetics throughout a 5- and 15-minute HIFT-style AMRAP.</p><p><strong>Methods: </strong>Twelve men and 10 women (29.3 ± 7.1 years, 171 ± 7 cm, 80.5 ± 15.6 kg) with HIFT experience ( > 2 years) completed four weekly visits, consuming either the supplement (S) or placebo (P) before a 5- or 15-minute AMRAP of rowing (9 or 7 Calories for men and women), six barbell thrusters (43.1 kg and 29.5 kg), and three jumps onto a box (0.61 m and 0.51 m). Video recordings of each workout were analyzed to quantify repetitions completed, volume load (kg), and pace (i.e. time spent on each workout component, repetition completion rate). The expression of kinetics and related factors were quantified during rowing via the ergometer microcomputer (Calories per stroke, power [W], and strokes per minute), during barbell thrusters by a 3D motion tracking system (barbell velocity [m · sec<sup>-1</sup>] and power [W]), and by in-ground force plates during box jumps (peak and mean force [N], time-to-peak force [ms], rate of force development [RFD; N·sec<sup>-1</sup>], and impulse [N·sec]). The averages, standard deviation, and slope across rounds were calculated for all pacing and kinetic variables for separate 3-way (sex × workout durations × supplement conditions) repeated measures analysis of variance comparisons.</p><p><strong>Results: </strong>Men and women completed a greater total volume load (~4.4%, <i>p</i> = 0.009) and repetitions at a faster rate (~2.2%, <i>p</i> = 0.043) during S compared to P and regardless of workout duration. These were best explained by participants completing a greater rowing volume load (~8.1%, <i>p</i> = 0.009) by averaging more powerful strokes (~7.0%, <i>p</i> = 0.005), more consistent transitions to rowing (~11.0%, <i>p</i> = 0.020), and a trend for faster barbell thruster repetition completion rate (~2.3%, <i>p</i> = 0.077). Interestingly, participants varied more across rounds during S (~16.8-29.4%, <i>p</i> < 0.05) in box jump force expression (peak force, mean force, time-to-peak force, and RFD). No other differences were seen between supplement conditions, only expected differences were seen between men and women and between workout durations.</p><p><strong>Conclusions: </strong>Although it did not affect repetitions completed, the multi-ingredient pre-workout supplement led to a greater volume load and faster overall repetition completion rate. These were primarily due to improvements surrounding rowing performance and evidence of an effect on thruster pacing and box jump force expression. The effects were similar in both sexes and workout durations. Athletes might consider this MIPS formulation to improve HIFT performance, particularly when a workout contains a component that requires sustained, continuous effort.</p>","PeriodicalId":17400,"journal":{"name":"Journal of the International Society of Sports Nutrition","volume":"22 1","pages":"2529906"},"PeriodicalIF":3.9000,"publicationDate":"2025-12-01","publicationTypes":"Journal Article","fieldsOfStudy":null,"isOpenAccess":false,"openAccessPdf":"https://www.ncbi.nlm.nih.gov/pmc/articles/PMC12239229/pdf/","citationCount":"0","resultStr":"{\"title\":\"Acute effect of a multi-ingredient pre-workout supplement on pacing and kinetic expression during shorter and longer bouts of high intensity functional training.\",\"authors\":\"Gerald T Mangine, Christopher Staples, James W Henley, Ashley Hines, Kristyn C McGeehan, Wysmark Chaves, Wil King, Tiffany A Esmat, John R McLester, Jacob L Grazer\",\"doi\":\"10.1080/15502783.2025.2529906\",\"DOIUrl\":null,\"url\":null,\"abstract\":\"<p><strong>Background: </strong>High-intensity functional training (HIFT) varies daily workout programming, and trainees are often tasked with completing \\\"as many repetitions as possible\\\" (AMRAP) within a set time. Successful performance depends on fatigue management skills and maintaining a consistent expression of force and velocity when performing and transitioning between exercises over the duration of the workout. Multi-ingredient pre-workout (MIPS) supplement formulations often contain ingredients shown to facilitate energy availability and mitigate fatigue, and therefore, might positively affect HIFT performance. This study aimed to assess a multi-ingredient pre-workout supplement's acute effect on pacing and the expression of kinetics throughout a 5- and 15-minute HIFT-style AMRAP.</p><p><strong>Methods: </strong>Twelve men and 10 women (29.3 ± 7.1 years, 171 ± 7 cm, 80.5 ± 15.6 kg) with HIFT experience ( > 2 years) completed four weekly visits, consuming either the supplement (S) or placebo (P) before a 5- or 15-minute AMRAP of rowing (9 or 7 Calories for men and women), six barbell thrusters (43.1 kg and 29.5 kg), and three jumps onto a box (0.61 m and 0.51 m). Video recordings of each workout were analyzed to quantify repetitions completed, volume load (kg), and pace (i.e. time spent on each workout component, repetition completion rate). The expression of kinetics and related factors were quantified during rowing via the ergometer microcomputer (Calories per stroke, power [W], and strokes per minute), during barbell thrusters by a 3D motion tracking system (barbell velocity [m · sec<sup>-1</sup>] and power [W]), and by in-ground force plates during box jumps (peak and mean force [N], time-to-peak force [ms], rate of force development [RFD; N·sec<sup>-1</sup>], and impulse [N·sec]). The averages, standard deviation, and slope across rounds were calculated for all pacing and kinetic variables for separate 3-way (sex × workout durations × supplement conditions) repeated measures analysis of variance comparisons.</p><p><strong>Results: </strong>Men and women completed a greater total volume load (~4.4%, <i>p</i> = 0.009) and repetitions at a faster rate (~2.2%, <i>p</i> = 0.043) during S compared to P and regardless of workout duration. These were best explained by participants completing a greater rowing volume load (~8.1%, <i>p</i> = 0.009) by averaging more powerful strokes (~7.0%, <i>p</i> = 0.005), more consistent transitions to rowing (~11.0%, <i>p</i> = 0.020), and a trend for faster barbell thruster repetition completion rate (~2.3%, <i>p</i> = 0.077). Interestingly, participants varied more across rounds during S (~16.8-29.4%, <i>p</i> < 0.05) in box jump force expression (peak force, mean force, time-to-peak force, and RFD). No other differences were seen between supplement conditions, only expected differences were seen between men and women and between workout durations.</p><p><strong>Conclusions: </strong>Although it did not affect repetitions completed, the multi-ingredient pre-workout supplement led to a greater volume load and faster overall repetition completion rate. These were primarily due to improvements surrounding rowing performance and evidence of an effect on thruster pacing and box jump force expression. The effects were similar in both sexes and workout durations. Athletes might consider this MIPS formulation to improve HIFT performance, particularly when a workout contains a component that requires sustained, continuous effort.</p>\",\"PeriodicalId\":17400,\"journal\":{\"name\":\"Journal of the International Society of Sports Nutrition\",\"volume\":\"22 1\",\"pages\":\"2529906\"},\"PeriodicalIF\":3.9000,\"publicationDate\":\"2025-12-01\",\"publicationTypes\":\"Journal Article\",\"fieldsOfStudy\":null,\"isOpenAccess\":false,\"openAccessPdf\":\"https://www.ncbi.nlm.nih.gov/pmc/articles/PMC12239229/pdf/\",\"citationCount\":\"0\",\"resultStr\":null,\"platform\":\"Semanticscholar\",\"paperid\":null,\"PeriodicalName\":\"Journal of the International Society of Sports Nutrition\",\"FirstCategoryId\":\"3\",\"ListUrlMain\":\"https://doi.org/10.1080/15502783.2025.2529906\",\"RegionNum\":2,\"RegionCategory\":\"医学\",\"ArticlePicture\":[],\"TitleCN\":null,\"AbstractTextCN\":null,\"PMCID\":null,\"EPubDate\":\"2025/7/8 0:00:00\",\"PubModel\":\"Epub\",\"JCR\":\"Q1\",\"JCRName\":\"NUTRITION & DIETETICS\",\"Score\":null,\"Total\":0}","platform":"Semanticscholar","paperid":null,"PeriodicalName":"Journal of the International Society of Sports Nutrition","FirstCategoryId":"3","ListUrlMain":"https://doi.org/10.1080/15502783.2025.2529906","RegionNum":2,"RegionCategory":"医学","ArticlePicture":[],"TitleCN":null,"AbstractTextCN":null,"PMCID":null,"EPubDate":"2025/7/8 0:00:00","PubModel":"Epub","JCR":"Q1","JCRName":"NUTRITION & DIETETICS","Score":null,"Total":0}
引用次数: 0

摘要

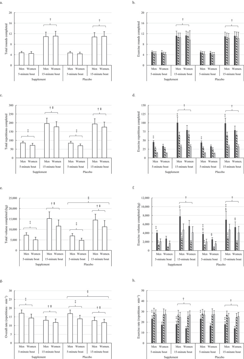
背景:高强度功能训练(High-intensity functional training, HIFT)是不同的日常训练计划,受训者通常被要求在规定的时间内完成“尽可能多的重复”(AMRAP)。成功的表现取决于疲劳管理技能,以及在锻炼期间进行和在锻炼之间转换时保持力和速度的一致表达。多成分运动前(MIPS)补充剂配方通常含有促进能量可用性和减轻疲劳的成分,因此可能对hft表现产生积极影响。本研究旨在评估多成分运动前补充剂在5分钟和15分钟hft式AMRAP中对起搏和动力学表达的急性影响。方法:12名男性和10名女性(29.3±7.1岁,171±7厘米,80.5±15.6公斤)有HIFT经验(bbbb2年)完成了4次每周访问,在5或15分钟的划船AMRAP(男性和女性9或7卡路里),6个杠铃推力器(43.1公斤和29.5公斤)和3次跳到一个盒子(0.61米和0.51米)之前服用补充剂(S)或安慰剂(P)。对每次锻炼的录像进行分析,以量化完成的重复次数、体积负荷(kg)和配速(即在每个锻炼组成部分上花费的时间、重复完成率)。在划船过程中,通过测力仪(每冲程热量、功率[W]和每分钟冲程),在杠铃推力器运动过程中,通过3D运动跟踪系统(杠铃速度[m·秒-1]和功率[W]),在跳箱过程中,通过地内力板(峰值和平均力[N]、力峰值时间[ms]、力发展速率[RFD])来量化动力学和相关因素的表达。N·sec-1]和脉冲[N·sec])。对单独的3-way(性别×锻炼持续时间×补充条件)重复测量方差比较分析计算所有起搏和动力学变量的平均值、标准差和斜率。结果:无论锻炼时间长短,男性和女性在S期间完成了更大的总容积负荷(~4.4%,p = 0.009)和更快的重复率(~2.2%,p = 0.043)。这些最好的解释是参与者完成了更大的划船容积负荷(~8.1%,p = 0.009),平均更有力的划水(~7.0%,p = 0.005),更一致地过渡到划船(~11.0%,p = 0.020),以及更快的杠铃推力器重复完成率(~2.3%,p = 0.077)。有趣的是,在S (~16.8-29.4%, p)期间,参与者在不同回合之间的变化更大。结论:尽管它不影响重复完成,但多成分运动前补充可导致更大的容量负荷和更快的整体重复完成率。这主要是由于赛艇性能的改善,以及对推进器速度和跳跃力表达的影响。这种影响在男女和锻炼时间上都是相似的。运动员可能会考虑这种MIPS配方来提高hft表现,特别是当训练中包含需要持续不断努力的成分时。
本文章由计算机程序翻译,如有差异,请以英文原文为准。

Acute effect of a multi-ingredient pre-workout supplement on pacing and kinetic expression during shorter and longer bouts of high intensity functional training.

Acute effect of a multi-ingredient pre-workout supplement on pacing and kinetic expression during shorter and longer bouts of high intensity functional training.

Acute effect of a multi-ingredient pre-workout supplement on pacing and kinetic expression during shorter and longer bouts of high intensity functional training.

Acute effect of a multi-ingredient pre-workout supplement on pacing and kinetic expression during shorter and longer bouts of high intensity functional training.

Background: High-intensity functional training (HIFT) varies daily workout programming, and trainees are often tasked with completing "as many repetitions as possible" (AMRAP) within a set time. Successful performance depends on fatigue management skills and maintaining a consistent expression of force and velocity when performing and transitioning between exercises over the duration of the workout. Multi-ingredient pre-workout (MIPS) supplement formulations often contain ingredients shown to facilitate energy availability and mitigate fatigue, and therefore, might positively affect HIFT performance. This study aimed to assess a multi-ingredient pre-workout supplement's acute effect on pacing and the expression of kinetics throughout a 5- and 15-minute HIFT-style AMRAP.

Methods: Twelve men and 10 women (29.3 ± 7.1 years, 171 ± 7 cm, 80.5 ± 15.6 kg) with HIFT experience ( > 2 years) completed four weekly visits, consuming either the supplement (S) or placebo (P) before a 5- or 15-minute AMRAP of rowing (9 or 7 Calories for men and women), six barbell thrusters (43.1 kg and 29.5 kg), and three jumps onto a box (0.61 m and 0.51 m). Video recordings of each workout were analyzed to quantify repetitions completed, volume load (kg), and pace (i.e. time spent on each workout component, repetition completion rate). The expression of kinetics and related factors were quantified during rowing via the ergometer microcomputer (Calories per stroke, power [W], and strokes per minute), during barbell thrusters by a 3D motion tracking system (barbell velocity [m · sec-1] and power [W]), and by in-ground force plates during box jumps (peak and mean force [N], time-to-peak force [ms], rate of force development [RFD; N·sec-1], and impulse [N·sec]). The averages, standard deviation, and slope across rounds were calculated for all pacing and kinetic variables for separate 3-way (sex × workout durations × supplement conditions) repeated measures analysis of variance comparisons.

Results: Men and women completed a greater total volume load (~4.4%, p = 0.009) and repetitions at a faster rate (~2.2%, p = 0.043) during S compared to P and regardless of workout duration. These were best explained by participants completing a greater rowing volume load (~8.1%, p = 0.009) by averaging more powerful strokes (~7.0%, p = 0.005), more consistent transitions to rowing (~11.0%, p = 0.020), and a trend for faster barbell thruster repetition completion rate (~2.3%, p = 0.077). Interestingly, participants varied more across rounds during S (~16.8-29.4%, p < 0.05) in box jump force expression (peak force, mean force, time-to-peak force, and RFD). No other differences were seen between supplement conditions, only expected differences were seen between men and women and between workout durations.

Conclusions: Although it did not affect repetitions completed, the multi-ingredient pre-workout supplement led to a greater volume load and faster overall repetition completion rate. These were primarily due to improvements surrounding rowing performance and evidence of an effect on thruster pacing and box jump force expression. The effects were similar in both sexes and workout durations. Athletes might consider this MIPS formulation to improve HIFT performance, particularly when a workout contains a component that requires sustained, continuous effort.

求助全文
通过发布文献求助,成功后即可免费获取论文全文。 去求助
来源期刊
Journal of the International Society of Sports Nutrition
Journal of the International Society of Sports Nutrition NUTRITION & DIETETICS-SPORT SCIENCES
CiteScore
8.80
自引率
3.90%
发文量
34
审稿时长
6-12 weeks
期刊介绍: Journal of the International Society of Sports Nutrition (JISSN) focuses on the acute and chronic effects of sports nutrition and supplementation strategies on body composition, physical performance and metabolism. JISSN is aimed at researchers and sport enthusiasts focused on delivering knowledge on exercise and nutrition on health, disease, rehabilitation, training, and performance. The journal provides a platform on which readers can determine nutritional strategies that may enhance exercise and/or training adaptations leading to improved health and performance.
×
引用
GB/T 7714-2015
复制
MLA
复制
APA
复制
导出至
BibTeX EndNote RefMan NoteFirst NoteExpress
×
提示
您的信息不完整,为了账户安全,请先补充。
现在去补充
×
提示
您因"违规操作"
具体请查看互助需知
我知道了
×
提示
确定
请完成安全验证×
copy
已复制链接
快去分享给好友吧!
我知道了
右上角分享
点击右上角分享
0
联系我们:info@booksci.cn Book学术提供免费学术资源搜索服务,方便国内外学者检索中英文文献。致力于提供最便捷和优质的服务体验。 Copyright © 2023 布克学术 All rights reserved.
京ICP备2023020795号-1
ghs 京公网安备 11010802042870号
Book学术文献互助
Book学术文献互助群
群 号:604180095
Book学术官方微信