里昂2.0胃食管反流病共识的验证:韩国人平均夜间基础阻抗的有限临床应用

IF 3.3 3区 医学 Q2 CLINICAL NEUROLOGY
Jae Hyuk Lee, Boram Cha, Kee Wook Jung, Soo In Choi, Ga Hee Kim, Myeongsook Seo, Ju Yup Lee, Seung Young Kim, Jong Wook Kim, Kee Don Choi, Hee Kyong Na, Ji Yong Ahn, JeongHoon Lee, Do Hoon Kim, Ho June Song, Gin Hyug Lee, Hwoon-Yong Jung
{"title":"里昂2.0胃食管反流病共识的验证:韩国人平均夜间基础阻抗的有限临床应用","authors":"Jae Hyuk Lee, Boram Cha, Kee Wook Jung, Soo In Choi, Ga Hee Kim, Myeongsook Seo, Ju Yup Lee, Seung Young Kim, Jong Wook Kim, Kee Don Choi, Hee Kyong Na, Ji Yong Ahn, JeongHoon Lee, Do Hoon Kim, Ho June Song, Gin Hyug Lee, Hwoon-Yong Jung","doi":"10.5056/jnm25001","DOIUrl":null,"url":null,"abstract":"<p><strong>Background/aims: </strong>The Lyon Consensus 2.0 (Lyon 2.0) revised gastroesophageal reflux disease (GERD) definitions, incorporating Los Angeles (LA) grade B as diagnostic and mean nocturnal basal impedance (MNBI) as supplementary evidence. Asian populations show differing impedancepH thresholds, with lower acid exposure time (AET) and higher MNBI values. The clinical validity of MNBI in Asian GERD patients remains uncertain. This study evaluated Lyon 2.0's applicability to Korean patients.</p><p><strong>Methods: </strong>From January 2021 to August 2023, GERD-suspected patients underwent endoscopy, manometry, and pH testing. MNBI was measured 5 cm above the lower esophageal sphincter. Patients with major motor disorders, organic diseases, or prior foregut surgery were excluded. GERD was defined by AET ≥ 4% or LA grades B-D; non-GERD by AET < 4%, LA grade A or normal Z line with < 40 reflux episodes/day. The optimal MNBI threshold was determined via receiver operating characteristic curve analysis.</p><p><strong>Results: </strong>Among 427 patients (mean age 57.7 ± 13.8 years, 37.2% male), 59 (13.8%) had GERD (10 endoscopically confirmed, 54 by AET ≥ 4%). Non-GERD accounted for 63.5% (n = 271), with 22.7% (n = 97) in the borderline group. MNBI correlated negatively with AET (<i>r</i> = -0.482, <i>P</i> < 0.01) and LA grade (<i>r</i> = -1.390, <i>P</i> = 0.005). The optimal MNBI threshold for GERD was 2167 Ω (sensitivity 0.86, specificity 0.75). Three LA grade A cases were reclassified as GERD-positive using this threshold.</p><p><strong>Conclusion: </strong>MNBI significantly correlated with AET and LA grades, highlighting its diagnostic value in Korean GERD patients. However, regional variations suggest higher MNBI thresholds than Lyon 2.0 recommendations, warranting further studies to refine criteria for Asian populations.</p>","PeriodicalId":16543,"journal":{"name":"Journal of Neurogastroenterology and Motility","volume":"31 3","pages":"340-346"},"PeriodicalIF":3.3000,"publicationDate":"2025-07-30","publicationTypes":"Journal Article","fieldsOfStudy":null,"isOpenAccess":false,"openAccessPdf":"https://www.ncbi.nlm.nih.gov/pmc/articles/PMC12241920/pdf/","citationCount":"0","resultStr":"{\"title\":\"Validation of Lyon 2.0 Gastroesophageal Reflux Disease Consensus: Limited Clinical Utility of Mean Nocturnal Basal Impedance in Koreans.\",\"authors\":\"Jae Hyuk Lee, Boram Cha, Kee Wook Jung, Soo In Choi, Ga Hee Kim, Myeongsook Seo, Ju Yup Lee, Seung Young Kim, Jong Wook Kim, Kee Don Choi, Hee Kyong Na, Ji Yong Ahn, JeongHoon Lee, Do Hoon Kim, Ho June Song, Gin Hyug Lee, Hwoon-Yong Jung\",\"doi\":\"10.5056/jnm25001\",\"DOIUrl\":null,\"url\":null,\"abstract\":\"<p><strong>Background/aims: </strong>The Lyon Consensus 2.0 (Lyon 2.0) revised gastroesophageal reflux disease (GERD) definitions, incorporating Los Angeles (LA) grade B as diagnostic and mean nocturnal basal impedance (MNBI) as supplementary evidence. Asian populations show differing impedancepH thresholds, with lower acid exposure time (AET) and higher MNBI values. The clinical validity of MNBI in Asian GERD patients remains uncertain. This study evaluated Lyon 2.0's applicability to Korean patients.</p><p><strong>Methods: </strong>From January 2021 to August 2023, GERD-suspected patients underwent endoscopy, manometry, and pH testing. MNBI was measured 5 cm above the lower esophageal sphincter. Patients with major motor disorders, organic diseases, or prior foregut surgery were excluded. GERD was defined by AET ≥ 4% or LA grades B-D; non-GERD by AET < 4%, LA grade A or normal Z line with < 40 reflux episodes/day. The optimal MNBI threshold was determined via receiver operating characteristic curve analysis.</p><p><strong>Results: </strong>Among 427 patients (mean age 57.7 ± 13.8 years, 37.2% male), 59 (13.8%) had GERD (10 endoscopically confirmed, 54 by AET ≥ 4%). Non-GERD accounted for 63.5% (n = 271), with 22.7% (n = 97) in the borderline group. MNBI correlated negatively with AET (<i>r</i> = -0.482, <i>P</i> < 0.01) and LA grade (<i>r</i> = -1.390, <i>P</i> = 0.005). The optimal MNBI threshold for GERD was 2167 Ω (sensitivity 0.86, specificity 0.75). Three LA grade A cases were reclassified as GERD-positive using this threshold.</p><p><strong>Conclusion: </strong>MNBI significantly correlated with AET and LA grades, highlighting its diagnostic value in Korean GERD patients. However, regional variations suggest higher MNBI thresholds than Lyon 2.0 recommendations, warranting further studies to refine criteria for Asian populations.</p>\",\"PeriodicalId\":16543,\"journal\":{\"name\":\"Journal of Neurogastroenterology and Motility\",\"volume\":\"31 3\",\"pages\":\"340-346\"},\"PeriodicalIF\":3.3000,\"publicationDate\":\"2025-07-30\",\"publicationTypes\":\"Journal Article\",\"fieldsOfStudy\":null,\"isOpenAccess\":false,\"openAccessPdf\":\"https://www.ncbi.nlm.nih.gov/pmc/articles/PMC12241920/pdf/\",\"citationCount\":\"0\",\"resultStr\":null,\"platform\":\"Semanticscholar\",\"paperid\":null,\"PeriodicalName\":\"Journal of Neurogastroenterology and Motility\",\"FirstCategoryId\":\"3\",\"ListUrlMain\":\"https://doi.org/10.5056/jnm25001\",\"RegionNum\":3,\"RegionCategory\":\"医学\",\"ArticlePicture\":[],\"TitleCN\":null,\"AbstractTextCN\":null,\"PMCID\":null,\"EPubDate\":\"\",\"PubModel\":\"\",\"JCR\":\"Q2\",\"JCRName\":\"CLINICAL NEUROLOGY\",\"Score\":null,\"Total\":0}","platform":"Semanticscholar","paperid":null,"PeriodicalName":"Journal of Neurogastroenterology and Motility","FirstCategoryId":"3","ListUrlMain":"https://doi.org/10.5056/jnm25001","RegionNum":3,"RegionCategory":"医学","ArticlePicture":[],"TitleCN":null,"AbstractTextCN":null,"PMCID":null,"EPubDate":"","PubModel":"","JCR":"Q2","JCRName":"CLINICAL NEUROLOGY","Score":null,"Total":0}
引用次数: 0

摘要

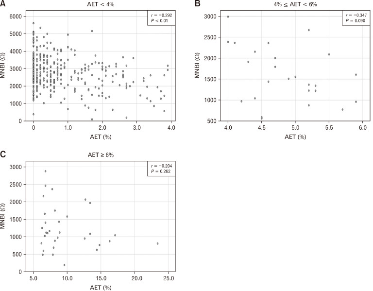
背景/目的:里昂共识2.0 (Lyon 2.0)修订了胃食管反流病(GERD)的定义,将洛杉矶(LA)分级B作为诊断,并将平均夜间基础阻抗(MNBI)作为补充证据。亚洲人群表现出不同的阻抗- ph阈值,酸暴露时间(AET)较低,MNBI值较高。MNBI在亚洲GERD患者中的临床有效性仍不确定。本次研究评估了里昂2.0对韩国患者的适用性。方法:从2021年1月到2023年8月,对疑似gerd患者进行了内窥镜检查、测压和pH测试。在食管下括约肌上方5cm处测量MNBI。排除有重大运动障碍、器质性疾病或既往前肠手术的患者。GERD的定义为AET≥4%或LA分级B-D;AET < 4%, LA等级A或正常Z线,反流发作次数/天< 40次。通过受试者工作特征曲线分析确定最佳MNBI阈值。结果:427例患者(平均年龄57.7±13.8岁,男性37.2%)中,59例(13.8%)发生胃食管反流(内镜确诊10例,AET≥4% 54例)。非gerd占63.5% (n = 271),边缘组占22.7% (n = 97)。MNBI与AET (r = -0.482, P < 0.01)、LA分级(r = -1.390, P = 0.005)呈负相关。诊断GERD的最佳MNBI阈值为2167 Ω(敏感性0.86,特异性0.75)。根据该阈值,3例LA A级病例被重新分类为gerd阳性。结论:MNBI与AET和LA分级显著相关,突出了其在韩国GERD患者中的诊断价值。然而,区域差异表明MNBI阈值高于里昂2.0建议值,需要进一步研究以完善亚洲人群的标准。
本文章由计算机程序翻译,如有差异,请以英文原文为准。

Validation of Lyon 2.0 Gastroesophageal Reflux Disease Consensus: Limited Clinical Utility of Mean Nocturnal Basal Impedance in Koreans.

Validation of Lyon 2.0 Gastroesophageal Reflux Disease Consensus: Limited Clinical Utility of Mean Nocturnal Basal Impedance in Koreans.

Validation of Lyon 2.0 Gastroesophageal Reflux Disease Consensus: Limited Clinical Utility of Mean Nocturnal Basal Impedance in Koreans.

Validation of Lyon 2.0 Gastroesophageal Reflux Disease Consensus: Limited Clinical Utility of Mean Nocturnal Basal Impedance in Koreans.

Background/aims: The Lyon Consensus 2.0 (Lyon 2.0) revised gastroesophageal reflux disease (GERD) definitions, incorporating Los Angeles (LA) grade B as diagnostic and mean nocturnal basal impedance (MNBI) as supplementary evidence. Asian populations show differing impedancepH thresholds, with lower acid exposure time (AET) and higher MNBI values. The clinical validity of MNBI in Asian GERD patients remains uncertain. This study evaluated Lyon 2.0's applicability to Korean patients.

Methods: From January 2021 to August 2023, GERD-suspected patients underwent endoscopy, manometry, and pH testing. MNBI was measured 5 cm above the lower esophageal sphincter. Patients with major motor disorders, organic diseases, or prior foregut surgery were excluded. GERD was defined by AET ≥ 4% or LA grades B-D; non-GERD by AET < 4%, LA grade A or normal Z line with < 40 reflux episodes/day. The optimal MNBI threshold was determined via receiver operating characteristic curve analysis.

Results: Among 427 patients (mean age 57.7 ± 13.8 years, 37.2% male), 59 (13.8%) had GERD (10 endoscopically confirmed, 54 by AET ≥ 4%). Non-GERD accounted for 63.5% (n = 271), with 22.7% (n = 97) in the borderline group. MNBI correlated negatively with AET (r = -0.482, P < 0.01) and LA grade (r = -1.390, P = 0.005). The optimal MNBI threshold for GERD was 2167 Ω (sensitivity 0.86, specificity 0.75). Three LA grade A cases were reclassified as GERD-positive using this threshold.

Conclusion: MNBI significantly correlated with AET and LA grades, highlighting its diagnostic value in Korean GERD patients. However, regional variations suggest higher MNBI thresholds than Lyon 2.0 recommendations, warranting further studies to refine criteria for Asian populations.

求助全文
通过发布文献求助,成功后即可免费获取论文全文。 去求助
来源期刊
Journal of Neurogastroenterology and Motility
Journal of Neurogastroenterology and Motility GASTROENTEROLOGY & HEPATOLOGY-CLINICAL NEUROLOGY
CiteScore
6.30
自引率
8.80%
发文量
96
期刊介绍: Journal of Neurogastroenterology and Motility (J Neurogastroenterol Motil) is a joint official journal of the Korean Society of Neurogastroenterology and Motility, the Thai Neurogastroenterology and Motility Society, the Japanese Society of Neurogastroenterology and Motility, the Indian Motility and Functional Disease Association, the Chinese Society of Gastrointestinal Motility, the South East Asia Gastro-Neuro Motility Association, the Taiwan Neurogastroenterology and Motility Society and the Asian Neurogastroenterology and Motility Association, launched in January 2010 after the title change from the Korean Journal of Neurogastroenterology and Motility, published from 1994 to 2009.
×
引用
GB/T 7714-2015
复制
MLA
复制
APA
复制
导出至
BibTeX EndNote RefMan NoteFirst NoteExpress
×
提示
您的信息不完整,为了账户安全,请先补充。
现在去补充
×
提示
您因"违规操作"
具体请查看互助需知
我知道了
×
提示
确定
请完成安全验证×
copy
已复制链接
快去分享给好友吧!
我知道了
右上角分享
点击右上角分享
0
联系我们:info@booksci.cn Book学术提供免费学术资源搜索服务,方便国内外学者检索中英文文献。致力于提供最便捷和优质的服务体验。 Copyright © 2023 布克学术 All rights reserved.
京ICP备2023020795号-1
ghs 京公网安备 11010802042870号
Book学术文献互助
Book学术文献互助群
群 号:604180095
Book学术官方微信