儿童时期的交通暴露和青年时期的肺功能——一项低交通流量地区的前瞻性队列研究。

IF 5.3 2区 环境科学与生态学 Q1 ENVIRONMENTAL SCIENCES
Nicolás Bermúdez Barón, Helena Backman, Linnea Hedman, Eva Rönmark, Martin Andersson
{"title":"儿童时期的交通暴露和青年时期的肺功能——一项低交通流量地区的前瞻性队列研究。","authors":"Nicolás Bermúdez Barón, Helena Backman, Linnea Hedman, Eva Rönmark, Martin Andersson","doi":"10.1186/s12940-025-01198-z","DOIUrl":null,"url":null,"abstract":"<p><strong>Background: </strong>Exposure to high levels of vehicle traffic during childhood seems to have a negative effect on lung function. Less is known about the effects of exposure to relatively low levels during childhood. We aimed to study how exposure to vehicle traffic in childhood is associated with lung function and asthma in young adulthood in a 10-year follow-up of a population-based cohort in a municipality with relatively low levels of vehicle traffic.</p><p><strong>Methods: </strong>The Obstructive Lung Disease in Northern Sweden (OLIN) pediatric cohort II was recruited in 2006 at age 8 years. Exposure to vehicle traffic at baseline was studied in relation to lung function at follow-up at age 19 years (n = 1056 participants). Lung function measures included FEV<sub>1</sub>, FVC and FEV<sub>1</sub>/FVC. Different exposure thresholds were defined based on proximity (within a 200 m radius from the home address) to a road with a minimum daily count of heavy vehicles (≥ 250 and ≥ 500) or any type of vehicle (≥ 4000 and ≥ 8000). The association between exposure to vehicle traffic at baseline and lung function at follow-up was analyzed by linear regression adjusting for potential confounders.</p><p><strong>Results: </strong>In general, those above the exposure thresholds had lower lung function than those below, but not significantly so in all comparisons. Those exposed to ≥ 250 heavy vehicles/day had lower mean FEV<sub>1</sub> z-score at follow-up (-0.38) compared with those exposed to < 250 heavy vehicles/day (-0.21), p = 0.033, and this association remained after adjustment for confounders (p = 0.036). Also, those exposed to ≥ 8000 vehicles/day had lower mean FVC z-score (-0.19) than those exposed to < 8000 vehicles/day (-0.02), p = 0.047, with p = 0.032 after adjustment.</p><p><strong>Conclusions: </strong>Exposure to vehicle traffic in childhood, in a relatively low traffic-flow environment, may be associated with a slightly lower lung function in young adulthood.</p>","PeriodicalId":11686,"journal":{"name":"Environmental Health","volume":"24 1","pages":"44"},"PeriodicalIF":5.3000,"publicationDate":"2025-07-07","publicationTypes":"Journal Article","fieldsOfStudy":null,"isOpenAccess":false,"openAccessPdf":"https://www.ncbi.nlm.nih.gov/pmc/articles/PMC12235861/pdf/","citationCount":"0","resultStr":"{\"title\":\"Exposure to vehicle traffic in childhood and lung function in young adulthood-a prospective cohort study in an area with low traffic-flows.\",\"authors\":\"Nicolás Bermúdez Barón, Helena Backman, Linnea Hedman, Eva Rönmark, Martin Andersson\",\"doi\":\"10.1186/s12940-025-01198-z\",\"DOIUrl\":null,\"url\":null,\"abstract\":\"<p><strong>Background: </strong>Exposure to high levels of vehicle traffic during childhood seems to have a negative effect on lung function. Less is known about the effects of exposure to relatively low levels during childhood. We aimed to study how exposure to vehicle traffic in childhood is associated with lung function and asthma in young adulthood in a 10-year follow-up of a population-based cohort in a municipality with relatively low levels of vehicle traffic.</p><p><strong>Methods: </strong>The Obstructive Lung Disease in Northern Sweden (OLIN) pediatric cohort II was recruited in 2006 at age 8 years. Exposure to vehicle traffic at baseline was studied in relation to lung function at follow-up at age 19 years (n = 1056 participants). Lung function measures included FEV<sub>1</sub>, FVC and FEV<sub>1</sub>/FVC. Different exposure thresholds were defined based on proximity (within a 200 m radius from the home address) to a road with a minimum daily count of heavy vehicles (≥ 250 and ≥ 500) or any type of vehicle (≥ 4000 and ≥ 8000). The association between exposure to vehicle traffic at baseline and lung function at follow-up was analyzed by linear regression adjusting for potential confounders.</p><p><strong>Results: </strong>In general, those above the exposure thresholds had lower lung function than those below, but not significantly so in all comparisons. Those exposed to ≥ 250 heavy vehicles/day had lower mean FEV<sub>1</sub> z-score at follow-up (-0.38) compared with those exposed to < 250 heavy vehicles/day (-0.21), p = 0.033, and this association remained after adjustment for confounders (p = 0.036). Also, those exposed to ≥ 8000 vehicles/day had lower mean FVC z-score (-0.19) than those exposed to < 8000 vehicles/day (-0.02), p = 0.047, with p = 0.032 after adjustment.</p><p><strong>Conclusions: </strong>Exposure to vehicle traffic in childhood, in a relatively low traffic-flow environment, may be associated with a slightly lower lung function in young adulthood.</p>\",\"PeriodicalId\":11686,\"journal\":{\"name\":\"Environmental Health\",\"volume\":\"24 1\",\"pages\":\"44\"},\"PeriodicalIF\":5.3000,\"publicationDate\":\"2025-07-07\",\"publicationTypes\":\"Journal Article\",\"fieldsOfStudy\":null,\"isOpenAccess\":false,\"openAccessPdf\":\"https://www.ncbi.nlm.nih.gov/pmc/articles/PMC12235861/pdf/\",\"citationCount\":\"0\",\"resultStr\":null,\"platform\":\"Semanticscholar\",\"paperid\":null,\"PeriodicalName\":\"Environmental Health\",\"FirstCategoryId\":\"93\",\"ListUrlMain\":\"https://doi.org/10.1186/s12940-025-01198-z\",\"RegionNum\":2,\"RegionCategory\":\"环境科学与生态学\",\"ArticlePicture\":[],\"TitleCN\":null,\"AbstractTextCN\":null,\"PMCID\":null,\"EPubDate\":\"\",\"PubModel\":\"\",\"JCR\":\"Q1\",\"JCRName\":\"ENVIRONMENTAL SCIENCES\",\"Score\":null,\"Total\":0}","platform":"Semanticscholar","paperid":null,"PeriodicalName":"Environmental Health","FirstCategoryId":"93","ListUrlMain":"https://doi.org/10.1186/s12940-025-01198-z","RegionNum":2,"RegionCategory":"环境科学与生态学","ArticlePicture":[],"TitleCN":null,"AbstractTextCN":null,"PMCID":null,"EPubDate":"","PubModel":"","JCR":"Q1","JCRName":"ENVIRONMENTAL SCIENCES","Score":null,"Total":0}
引用次数: 0

摘要

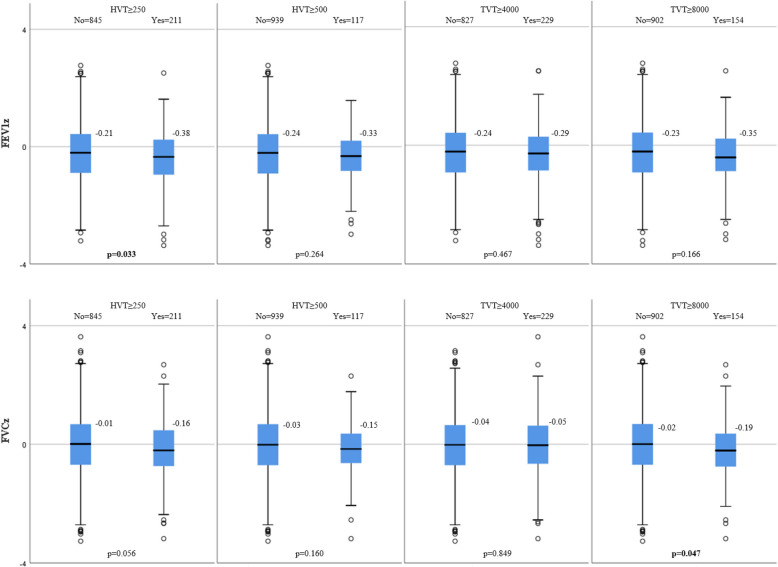
背景:童年时期暴露于高水平的车辆交通似乎对肺功能有负面影响。对于儿童时期暴露于相对低水平辐射的影响,人们所知甚少。我们的目的是通过对一个交通水平相对较低的城市的人口队列进行10年随访,研究儿童时期的交通暴露与成年后的肺功能和哮喘之间的关系。方法:2006年8岁的瑞典北部阻塞性肺疾病(OLIN)儿童队列II被招募。在19岁随访时(n = 1056名参与者),研究了基线暴露于车辆交通与肺功能的关系。肺功能测量包括FEV1、FVC和FEV1/FVC。根据每日最少重型车辆(≥250辆和≥500辆)或任何类型车辆(≥4000辆和≥8000辆)的道路距离(距离家庭住址200米半径范围内)确定不同的暴露阈值。基线时的车辆交通暴露与随访时的肺功能之间的关系通过线性回归调整潜在混杂因素进行分析。结果:总体而言,高于暴露阈值者肺功能低于暴露阈值者,但在所有比较中差异不显著。与每天暴露于≥250辆重型车辆的儿童相比,随访时的平均FEV1 z-score较低(-0.38)。结论:在相对低交通流量的环境中,儿童期暴露于车辆交通可能与青年期肺功能略低有关。
本文章由计算机程序翻译,如有差异,请以英文原文为准。

Exposure to vehicle traffic in childhood and lung function in young adulthood-a prospective cohort study in an area with low traffic-flows.

Exposure to vehicle traffic in childhood and lung function in young adulthood-a prospective cohort study in an area with low traffic-flows.

Exposure to vehicle traffic in childhood and lung function in young adulthood-a prospective cohort study in an area with low traffic-flows.

Exposure to vehicle traffic in childhood and lung function in young adulthood-a prospective cohort study in an area with low traffic-flows.

Background: Exposure to high levels of vehicle traffic during childhood seems to have a negative effect on lung function. Less is known about the effects of exposure to relatively low levels during childhood. We aimed to study how exposure to vehicle traffic in childhood is associated with lung function and asthma in young adulthood in a 10-year follow-up of a population-based cohort in a municipality with relatively low levels of vehicle traffic.

Methods: The Obstructive Lung Disease in Northern Sweden (OLIN) pediatric cohort II was recruited in 2006 at age 8 years. Exposure to vehicle traffic at baseline was studied in relation to lung function at follow-up at age 19 years (n = 1056 participants). Lung function measures included FEV1, FVC and FEV1/FVC. Different exposure thresholds were defined based on proximity (within a 200 m radius from the home address) to a road with a minimum daily count of heavy vehicles (≥ 250 and ≥ 500) or any type of vehicle (≥ 4000 and ≥ 8000). The association between exposure to vehicle traffic at baseline and lung function at follow-up was analyzed by linear regression adjusting for potential confounders.

Results: In general, those above the exposure thresholds had lower lung function than those below, but not significantly so in all comparisons. Those exposed to ≥ 250 heavy vehicles/day had lower mean FEV1 z-score at follow-up (-0.38) compared with those exposed to < 250 heavy vehicles/day (-0.21), p = 0.033, and this association remained after adjustment for confounders (p = 0.036). Also, those exposed to ≥ 8000 vehicles/day had lower mean FVC z-score (-0.19) than those exposed to < 8000 vehicles/day (-0.02), p = 0.047, with p = 0.032 after adjustment.

Conclusions: Exposure to vehicle traffic in childhood, in a relatively low traffic-flow environment, may be associated with a slightly lower lung function in young adulthood.

求助全文
通过发布文献求助,成功后即可免费获取论文全文。 去求助
来源期刊
Environmental Health
Environmental Health 环境科学-公共卫生、环境卫生与职业卫生
CiteScore
10.10
自引率
1.70%
发文量
115
审稿时长
3.0 months
期刊介绍: Environmental Health publishes manuscripts on all aspects of environmental and occupational medicine and related studies in toxicology and epidemiology. Environmental Health is aimed at scientists and practitioners in all areas of environmental science where human health and well-being are involved, either directly or indirectly. Environmental Health is a public health journal serving the public health community and scientists working on matters of public health interest and importance pertaining to the environment.
×
引用
GB/T 7714-2015
复制
MLA
复制
APA
复制
导出至
BibTeX EndNote RefMan NoteFirst NoteExpress
×
提示
您的信息不完整,为了账户安全,请先补充。
现在去补充
×
提示
您因"违规操作"
具体请查看互助需知
我知道了
×
提示
确定
请完成安全验证×
copy
已复制链接
快去分享给好友吧!
我知道了
右上角分享
点击右上角分享
0
联系我们:info@booksci.cn Book学术提供免费学术资源搜索服务,方便国内外学者检索中英文文献。致力于提供最便捷和优质的服务体验。 Copyright © 2023 布克学术 All rights reserved.
京ICP备2023020795号-1
ghs 京公网安备 11010802042870号
Book学术文献互助
Book学术文献互助群
群 号:604180095
Book学术官方微信