基于gps的街景绿地暴露和可穿戴设备评估的美国女性前瞻性队列的身体活动。

IF 5.5 1区 医学 Q1 NUTRITION & DIETETICS
Li Yi, Jaime E Hart, Grete Wilt, Cindy R Hu, Marcia Pescador Jimenez, Pi-I Debby Lin, Esra Suel, Perry Hystad, Steve Hankey, Wenwen Zhang, Jorge E Chavarro, Francine Laden, Peter James
{"title":"基于gps的街景绿地暴露和可穿戴设备评估的美国女性前瞻性队列的身体活动。","authors":"Li Yi, Jaime E Hart, Grete Wilt, Cindy R Hu, Marcia Pescador Jimenez, Pi-I Debby Lin, Esra Suel, Perry Hystad, Steve Hankey, Wenwen Zhang, Jorge E Chavarro, Francine Laden, Peter James","doi":"10.1186/s12966-025-01795-8","DOIUrl":null,"url":null,"abstract":"<p><strong>Background: </strong>Increasing evidence positively links greenspace and physical activity (PA). However, most studies use measures of greenspace, such as satellite-based vegetation indices around the residence, which fail to capture ground-level views and day-to-day dynamic exposures, potentially misclassifying greenspace and limiting policy relevance.</p><p><strong>Methods: </strong>We analyzed data from the US-based Nurses' Health Study 3 Mobile Health Substudy (2018-2020). Participants wore Fitbits™ and provided smartphone global positioning system (GPS) for four 7-day periods throughout the year. Street-view greenspace (%trees, %grass, %other greenspace [flowers/plants/fields]) were derived from 2019 street-view imagery using deep-learning algorithms at a 100-meter resolution and linked to 10-minute GPS observations. Average steps-per-minute for were calculated for each 10-minute period following each GPS observation. Generalized Additive Mixed Models examined associations of street-view greenspace exposure with PA, adjusting for individual and area-level covariates. We considered effect modification by region, season, neighborhood walkability and socioeconomic status (SES), temperature, and precipitation.</p><p><strong>Results: </strong>Our sample included 335 participants (mean<sub>age</sub>= 39.4 years, n = 304,394 observations). Mean steps-per-minute per 10-minutes were 6.9 (SD = 14.6). An IQR increase (18.7%) in street-view trees was associated with a 0.36 steps-per-minute decrease (95%CI: -0.71, -0.01). In addition, an IQR increase (10.6%) in grass exposure was associated with a 0.59 steps-per-minute decrease (95% CI: -0.79, -0.40); however, the association was non-linear and flattened out after the 75th percentile of street-view grass. Conversely, an IQR increase (1.2%) in other greenspace was associated with a 1.99 steps-per-minute increase (95%CI: 0.01, 3.97). Associations were stronger in the spring and in higher SES neighborhoods, and among residents of the Northeast.</p><p><strong>Conclusions: </strong>In this prospective cohort, momentary street-view exposure to trees and grass was inversely associated with PA, while exposure to other greenspace was positively associated. Future research should confirm these results in other populations and explore the mechanisms through which specific greenspace components influence PA.</p>","PeriodicalId":50336,"journal":{"name":"International Journal of Behavioral Nutrition and Physical Activity","volume":"22 1","pages":"92"},"PeriodicalIF":5.5000,"publicationDate":"2025-07-06","publicationTypes":"Journal Article","fieldsOfStudy":null,"isOpenAccess":false,"openAccessPdf":"https://www.ncbi.nlm.nih.gov/pmc/articles/PMC12232564/pdf/","citationCount":"0","resultStr":"{\"title\":\"GPS-based street-view greenspace exposure and wearable assessed physical activity in a prospective cohort of US women.\",\"authors\":\"Li Yi, Jaime E Hart, Grete Wilt, Cindy R Hu, Marcia Pescador Jimenez, Pi-I Debby Lin, Esra Suel, Perry Hystad, Steve Hankey, Wenwen Zhang, Jorge E Chavarro, Francine Laden, Peter James\",\"doi\":\"10.1186/s12966-025-01795-8\",\"DOIUrl\":null,\"url\":null,\"abstract\":\"<p><strong>Background: </strong>Increasing evidence positively links greenspace and physical activity (PA). However, most studies use measures of greenspace, such as satellite-based vegetation indices around the residence, which fail to capture ground-level views and day-to-day dynamic exposures, potentially misclassifying greenspace and limiting policy relevance.</p><p><strong>Methods: </strong>We analyzed data from the US-based Nurses' Health Study 3 Mobile Health Substudy (2018-2020). Participants wore Fitbits™ and provided smartphone global positioning system (GPS) for four 7-day periods throughout the year. Street-view greenspace (%trees, %grass, %other greenspace [flowers/plants/fields]) were derived from 2019 street-view imagery using deep-learning algorithms at a 100-meter resolution and linked to 10-minute GPS observations. Average steps-per-minute for were calculated for each 10-minute period following each GPS observation. Generalized Additive Mixed Models examined associations of street-view greenspace exposure with PA, adjusting for individual and area-level covariates. We considered effect modification by region, season, neighborhood walkability and socioeconomic status (SES), temperature, and precipitation.</p><p><strong>Results: </strong>Our sample included 335 participants (mean<sub>age</sub>= 39.4 years, n = 304,394 observations). Mean steps-per-minute per 10-minutes were 6.9 (SD = 14.6). An IQR increase (18.7%) in street-view trees was associated with a 0.36 steps-per-minute decrease (95%CI: -0.71, -0.01). In addition, an IQR increase (10.6%) in grass exposure was associated with a 0.59 steps-per-minute decrease (95% CI: -0.79, -0.40); however, the association was non-linear and flattened out after the 75th percentile of street-view grass. Conversely, an IQR increase (1.2%) in other greenspace was associated with a 1.99 steps-per-minute increase (95%CI: 0.01, 3.97). Associations were stronger in the spring and in higher SES neighborhoods, and among residents of the Northeast.</p><p><strong>Conclusions: </strong>In this prospective cohort, momentary street-view exposure to trees and grass was inversely associated with PA, while exposure to other greenspace was positively associated. Future research should confirm these results in other populations and explore the mechanisms through which specific greenspace components influence PA.</p>\",\"PeriodicalId\":50336,\"journal\":{\"name\":\"International Journal of Behavioral Nutrition and Physical Activity\",\"volume\":\"22 1\",\"pages\":\"92\"},\"PeriodicalIF\":5.5000,\"publicationDate\":\"2025-07-06\",\"publicationTypes\":\"Journal Article\",\"fieldsOfStudy\":null,\"isOpenAccess\":false,\"openAccessPdf\":\"https://www.ncbi.nlm.nih.gov/pmc/articles/PMC12232564/pdf/\",\"citationCount\":\"0\",\"resultStr\":null,\"platform\":\"Semanticscholar\",\"paperid\":null,\"PeriodicalName\":\"International Journal of Behavioral Nutrition and Physical Activity\",\"FirstCategoryId\":\"3\",\"ListUrlMain\":\"https://doi.org/10.1186/s12966-025-01795-8\",\"RegionNum\":1,\"RegionCategory\":\"医学\",\"ArticlePicture\":[],\"TitleCN\":null,\"AbstractTextCN\":null,\"PMCID\":null,\"EPubDate\":\"\",\"PubModel\":\"\",\"JCR\":\"Q1\",\"JCRName\":\"NUTRITION & DIETETICS\",\"Score\":null,\"Total\":0}","platform":"Semanticscholar","paperid":null,"PeriodicalName":"International Journal of Behavioral Nutrition and Physical Activity","FirstCategoryId":"3","ListUrlMain":"https://doi.org/10.1186/s12966-025-01795-8","RegionNum":1,"RegionCategory":"医学","ArticlePicture":[],"TitleCN":null,"AbstractTextCN":null,"PMCID":null,"EPubDate":"","PubModel":"","JCR":"Q1","JCRName":"NUTRITION & DIETETICS","Score":null,"Total":0}
引用次数: 0

摘要

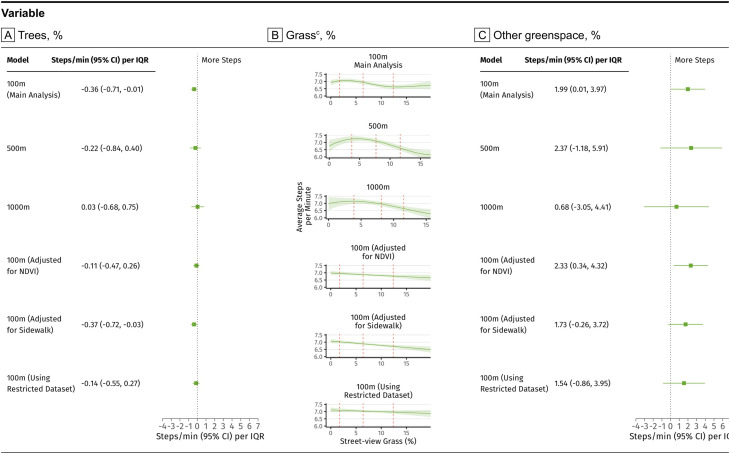
背景:越来越多的证据表明绿地与身体活动(PA)呈正相关。然而,大多数研究使用的是绿色空间的测量方法,例如住宅周围基于卫星的植被指数,这些方法无法捕捉地面景观和日常动态暴露,可能会对绿色空间进行错误分类,并限制政策相关性。方法:我们分析了美国护士健康研究3移动健康亚研究(2018-2020)的数据。参与者佩戴Fitbits™,并在一年中连续四天提供智能手机全球定位系统(GPS)。街景绿地(%树木,%草地,%其他绿地[花/植物/田地])使用深度学习算法以100米分辨率从2019年街景图像中提取,并与10分钟的GPS观测相关联。计算每次GPS观测后每10分钟的平均分钟步数。广义加性混合模型研究了街景绿地暴露与PA的关系,调整了个体和区域水平的协变量。我们考虑了不同地区、季节、社区步行性和社会经济地位(SES)、温度和降水的影响。结果:我们的样本包括335名参与者(平均= 39.4岁,n = 304,394个观察值)。每10分钟平均步数为6.9 (SD = 14.6)。街景树的IQR增加(18.7%)与每分钟0.36步的减少相关(95%CI: -0.71, -0.01)。此外,暴露在草地上的IQR增加(10.6%)与每分钟0.59步的减少相关(95% CI: -0.79, -0.40);然而,这种关联是非线性的,并且在街景草的第75百分位之后趋于平缓。相反,在其他绿色空间中,IQR增加(1.2%)与每分钟增加1.99步相关(95%CI: 0.01, 3.97)。在春季、社会经济地位较高的社区以及东北部的居民中,这种联系更为强烈。结论:在这个前瞻性队列中,短暂的街景暴露于树木和草地与PA呈负相关,而暴露于其他绿色空间与PA呈正相关。未来的研究应该在其他人群中证实这些结果,并探索特定绿地成分影响PA的机制。
本文章由计算机程序翻译,如有差异,请以英文原文为准。

GPS-based street-view greenspace exposure and wearable assessed physical activity in a prospective cohort of US women.

GPS-based street-view greenspace exposure and wearable assessed physical activity in a prospective cohort of US women.

GPS-based street-view greenspace exposure and wearable assessed physical activity in a prospective cohort of US women.

Background: Increasing evidence positively links greenspace and physical activity (PA). However, most studies use measures of greenspace, such as satellite-based vegetation indices around the residence, which fail to capture ground-level views and day-to-day dynamic exposures, potentially misclassifying greenspace and limiting policy relevance.

Methods: We analyzed data from the US-based Nurses' Health Study 3 Mobile Health Substudy (2018-2020). Participants wore Fitbits™ and provided smartphone global positioning system (GPS) for four 7-day periods throughout the year. Street-view greenspace (%trees, %grass, %other greenspace [flowers/plants/fields]) were derived from 2019 street-view imagery using deep-learning algorithms at a 100-meter resolution and linked to 10-minute GPS observations. Average steps-per-minute for were calculated for each 10-minute period following each GPS observation. Generalized Additive Mixed Models examined associations of street-view greenspace exposure with PA, adjusting for individual and area-level covariates. We considered effect modification by region, season, neighborhood walkability and socioeconomic status (SES), temperature, and precipitation.

Results: Our sample included 335 participants (meanage= 39.4 years, n = 304,394 observations). Mean steps-per-minute per 10-minutes were 6.9 (SD = 14.6). An IQR increase (18.7%) in street-view trees was associated with a 0.36 steps-per-minute decrease (95%CI: -0.71, -0.01). In addition, an IQR increase (10.6%) in grass exposure was associated with a 0.59 steps-per-minute decrease (95% CI: -0.79, -0.40); however, the association was non-linear and flattened out after the 75th percentile of street-view grass. Conversely, an IQR increase (1.2%) in other greenspace was associated with a 1.99 steps-per-minute increase (95%CI: 0.01, 3.97). Associations were stronger in the spring and in higher SES neighborhoods, and among residents of the Northeast.

Conclusions: In this prospective cohort, momentary street-view exposure to trees and grass was inversely associated with PA, while exposure to other greenspace was positively associated. Future research should confirm these results in other populations and explore the mechanisms through which specific greenspace components influence PA.

求助全文
通过发布文献求助,成功后即可免费获取论文全文。 去求助
来源期刊
CiteScore
13.80
自引率
3.40%
发文量
138
审稿时长
4-8 weeks
期刊介绍: International Journal of Behavioral Nutrition and Physical Activity (IJBNPA) is an open access, peer-reviewed journal offering high quality articles, rapid publication and wide diffusion in the public domain. IJBNPA is devoted to furthering the understanding of the behavioral aspects of diet and physical activity and is unique in its inclusion of multiple levels of analysis, including populations, groups and individuals and its inclusion of epidemiology, and behavioral, theoretical and measurement research areas.
×
引用
GB/T 7714-2015
复制
MLA
复制
APA
复制
导出至
BibTeX EndNote RefMan NoteFirst NoteExpress
×
提示
您的信息不完整,为了账户安全,请先补充。
现在去补充
×
提示
您因"违规操作"
具体请查看互助需知
我知道了
×
提示
确定
请完成安全验证×
copy
已复制链接
快去分享给好友吧!
我知道了
右上角分享
点击右上角分享
0
联系我们:info@booksci.cn Book学术提供免费学术资源搜索服务,方便国内外学者检索中英文文献。致力于提供最便捷和优质的服务体验。 Copyright © 2023 布克学术 All rights reserved.
京ICP备2023020795号-1
ghs 京公网安备 11010802042870号
Book学术文献互助
Book学术文献互助群
群 号:604180095
Book学术官方微信