平均夜间基线阻抗和反流后吞咽蠕动波指数对区分功能性胃灼热与非糜烂性反流病的临床诊断价值。

IF 2.5 Q3 GASTROENTEROLOGY & HEPATOLOGY
Przegla̜d Gastroenterologiczny Pub Date : 2025-01-01 Epub Date: 2024-09-12 DOI:10.5114/pg.2024.142910
Lei Chen, Shaohua Luo, Jiaxi Chen, Zhenxing Li, Xiaorong Dai
{"title":"平均夜间基线阻抗和反流后吞咽蠕动波指数对区分功能性胃灼热与非糜烂性反流病的临床诊断价值。","authors":"Lei Chen, Shaohua Luo, Jiaxi Chen, Zhenxing Li, Xiaorong Dai","doi":"10.5114/pg.2024.142910","DOIUrl":null,"url":null,"abstract":"<p><strong>Introduction: </strong>Functional heartburn (FH) and non-erosive reflux disease (NERD) are two prevalent diseases, with mean nocturnal baseline impedance (MNBI) and the post-reflux swallow-induced peristaltic wave (PSPW) index being used in their differentiation.</p><p><strong>Aim: </strong>We explored the clinical diagnostic value of MNBI and PSPW index on identifying FH and NERD.</p><p><strong>Material and methods: </strong>In total, 106 NERD and 82 FH patients were selected, and clinical data were collected. The mean low esophageal sphincter (LES) tone, distal contractile integral (DCI), contractile front velocity (CFV), and integrated relaxation pressure (IRP) were acquired. Acid exposure time (AET), total monitoring time, baseline impedance level, number of swallow-induced peristaltic wave reflux episodes within 30 s, total number of reflux episodes, and number of acid reflux episodes of NERD and FH patients were monitored, with AET, MNBI and the PSPW index being calculated. Correlations between MNBI and the PSPW index and pathological indicators of subjects, and the influence and diagnostic value of MNBI and the PSPW index for NERD and FH identification were analyzed.</p><p><strong>Results: </strong>The two groups differed significantly in AET, LES tone, total reflux episodes, acid reflux episodes and episodes of non-acid reflux. The NERD group displayed reduced MNBI and PSPW index levels. MNBI and the PSPW index were negatively associated with subject pathological indicators. MNBI, PSPW, LES tone, total reflux episodes and acid reflux episodes contributed to distinguishing NERD from FH. MNBI > 1975 and PSPW > 47.12 had high clinical application value for identifying NERD and FH.</p><p><strong>Conclusions: </strong>MNBI and PSPW, LES tone, total reflux episodes and acid reflux episodes aided in distinguishing NERD and FH. MNBI and PSPW combinative detection had high clinical application value for distinguishing NERD from FH.</p>","PeriodicalId":20719,"journal":{"name":"Przegla̜d Gastroenterologiczny","volume":"20 2","pages":"206-214"},"PeriodicalIF":2.5000,"publicationDate":"2025-01-01","publicationTypes":"Journal Article","fieldsOfStudy":null,"isOpenAccess":false,"openAccessPdf":"https://www.ncbi.nlm.nih.gov/pmc/articles/PMC12224235/pdf/","citationCount":"0","resultStr":"{\"title\":\"Clinical diagnostic value of mean nocturnal baseline impedance and post-reflux swallow-induced peristaltic wave index for distinguishing functional heartburn from non-erosive reflux disease.\",\"authors\":\"Lei Chen, Shaohua Luo, Jiaxi Chen, Zhenxing Li, Xiaorong Dai\",\"doi\":\"10.5114/pg.2024.142910\",\"DOIUrl\":null,\"url\":null,\"abstract\":\"<p><strong>Introduction: </strong>Functional heartburn (FH) and non-erosive reflux disease (NERD) are two prevalent diseases, with mean nocturnal baseline impedance (MNBI) and the post-reflux swallow-induced peristaltic wave (PSPW) index being used in their differentiation.</p><p><strong>Aim: </strong>We explored the clinical diagnostic value of MNBI and PSPW index on identifying FH and NERD.</p><p><strong>Material and methods: </strong>In total, 106 NERD and 82 FH patients were selected, and clinical data were collected. The mean low esophageal sphincter (LES) tone, distal contractile integral (DCI), contractile front velocity (CFV), and integrated relaxation pressure (IRP) were acquired. Acid exposure time (AET), total monitoring time, baseline impedance level, number of swallow-induced peristaltic wave reflux episodes within 30 s, total number of reflux episodes, and number of acid reflux episodes of NERD and FH patients were monitored, with AET, MNBI and the PSPW index being calculated. Correlations between MNBI and the PSPW index and pathological indicators of subjects, and the influence and diagnostic value of MNBI and the PSPW index for NERD and FH identification were analyzed.</p><p><strong>Results: </strong>The two groups differed significantly in AET, LES tone, total reflux episodes, acid reflux episodes and episodes of non-acid reflux. The NERD group displayed reduced MNBI and PSPW index levels. MNBI and the PSPW index were negatively associated with subject pathological indicators. MNBI, PSPW, LES tone, total reflux episodes and acid reflux episodes contributed to distinguishing NERD from FH. MNBI > 1975 and PSPW > 47.12 had high clinical application value for identifying NERD and FH.</p><p><strong>Conclusions: </strong>MNBI and PSPW, LES tone, total reflux episodes and acid reflux episodes aided in distinguishing NERD and FH. MNBI and PSPW combinative detection had high clinical application value for distinguishing NERD from FH.</p>\",\"PeriodicalId\":20719,\"journal\":{\"name\":\"Przegla̜d Gastroenterologiczny\",\"volume\":\"20 2\",\"pages\":\"206-214\"},\"PeriodicalIF\":2.5000,\"publicationDate\":\"2025-01-01\",\"publicationTypes\":\"Journal Article\",\"fieldsOfStudy\":null,\"isOpenAccess\":false,\"openAccessPdf\":\"https://www.ncbi.nlm.nih.gov/pmc/articles/PMC12224235/pdf/\",\"citationCount\":\"0\",\"resultStr\":null,\"platform\":\"Semanticscholar\",\"paperid\":null,\"PeriodicalName\":\"Przegla̜d Gastroenterologiczny\",\"FirstCategoryId\":\"1085\",\"ListUrlMain\":\"https://doi.org/10.5114/pg.2024.142910\",\"RegionNum\":0,\"RegionCategory\":null,\"ArticlePicture\":[],\"TitleCN\":null,\"AbstractTextCN\":null,\"PMCID\":null,\"EPubDate\":\"2024/9/12 0:00:00\",\"PubModel\":\"Epub\",\"JCR\":\"Q3\",\"JCRName\":\"GASTROENTEROLOGY & HEPATOLOGY\",\"Score\":null,\"Total\":0}","platform":"Semanticscholar","paperid":null,"PeriodicalName":"Przegla̜d Gastroenterologiczny","FirstCategoryId":"1085","ListUrlMain":"https://doi.org/10.5114/pg.2024.142910","RegionNum":0,"RegionCategory":null,"ArticlePicture":[],"TitleCN":null,"AbstractTextCN":null,"PMCID":null,"EPubDate":"2024/9/12 0:00:00","PubModel":"Epub","JCR":"Q3","JCRName":"GASTROENTEROLOGY & HEPATOLOGY","Score":null,"Total":0}
引用次数: 0

摘要

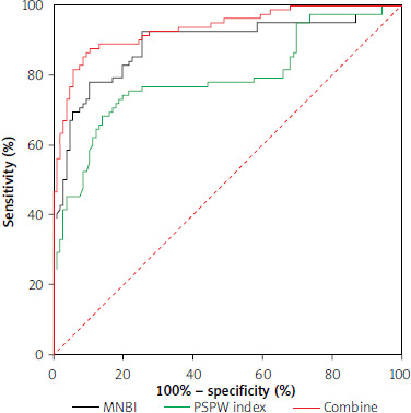
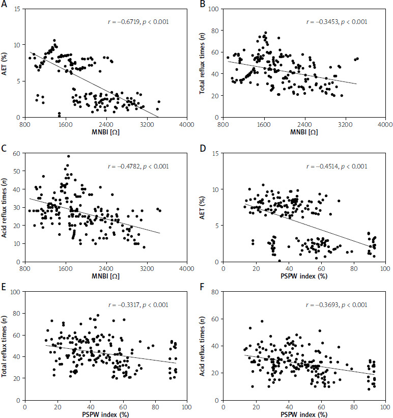
简介:功能性胃灼热(FH)和非糜烂性反流病(NERD)是两种常见疾病,平均夜间基线阻抗(MNBI)和反流后吞咽诱发的肠蠕动波(PSPW)指数可用于两者的区分。目的:探讨MNBI和PSPW指数对FH和NERD的临床诊断价值。材料与方法:共选取NERD患者106例,FH患者82例,收集临床资料。测量平均食管括约肌(LES)低张力、远端收缩积分(DCI)、收缩前速度(CFV)和综合松弛压力(IRP)。监测NERD和FH患者的酸暴露时间(AET)、总监测时间、基线阻抗水平、30 s内吞咽性肠波反流发作次数、反流总发作次数、胃酸反流发作次数,计算AET、MNBI和PSPW指数。分析MNBI和PSPW指数与被试病理指标的相关性,以及MNBI和PSPW指数对NERD和FH鉴别的影响和诊断价值。结果:两组患者在AET、LES音调、总反流发作次数、胃酸反流发作次数和非胃酸反流发作次数方面差异有统计学意义。NERD组MNBI和PSPW指数水平降低。MNBI和PSPW指数与受试者病理指标呈负相关。MNBI、PSPW、LES音调、总反流发作和酸反流发作有助于区分NERD和FH。MNBI b> 1975和PSPW b> 47.12对诊断NERD和FH具有较高的临床应用价值。结论:MNBI和PSPW、LES音调、总反流发作和酸反流发作有助于区分NERD和FH。MNBI和PSPW联合检测对区分NERD和FH具有较高的临床应用价值。
本文章由计算机程序翻译,如有差异,请以英文原文为准。

Clinical diagnostic value of mean nocturnal baseline impedance and post-reflux swallow-induced peristaltic wave index for distinguishing functional heartburn from non-erosive reflux disease.

Clinical diagnostic value of mean nocturnal baseline impedance and post-reflux swallow-induced peristaltic wave index for distinguishing functional heartburn from non-erosive reflux disease.

Clinical diagnostic value of mean nocturnal baseline impedance and post-reflux swallow-induced peristaltic wave index for distinguishing functional heartburn from non-erosive reflux disease.

Clinical diagnostic value of mean nocturnal baseline impedance and post-reflux swallow-induced peristaltic wave index for distinguishing functional heartburn from non-erosive reflux disease.

Introduction: Functional heartburn (FH) and non-erosive reflux disease (NERD) are two prevalent diseases, with mean nocturnal baseline impedance (MNBI) and the post-reflux swallow-induced peristaltic wave (PSPW) index being used in their differentiation.

Aim: We explored the clinical diagnostic value of MNBI and PSPW index on identifying FH and NERD.

Material and methods: In total, 106 NERD and 82 FH patients were selected, and clinical data were collected. The mean low esophageal sphincter (LES) tone, distal contractile integral (DCI), contractile front velocity (CFV), and integrated relaxation pressure (IRP) were acquired. Acid exposure time (AET), total monitoring time, baseline impedance level, number of swallow-induced peristaltic wave reflux episodes within 30 s, total number of reflux episodes, and number of acid reflux episodes of NERD and FH patients were monitored, with AET, MNBI and the PSPW index being calculated. Correlations between MNBI and the PSPW index and pathological indicators of subjects, and the influence and diagnostic value of MNBI and the PSPW index for NERD and FH identification were analyzed.

Results: The two groups differed significantly in AET, LES tone, total reflux episodes, acid reflux episodes and episodes of non-acid reflux. The NERD group displayed reduced MNBI and PSPW index levels. MNBI and the PSPW index were negatively associated with subject pathological indicators. MNBI, PSPW, LES tone, total reflux episodes and acid reflux episodes contributed to distinguishing NERD from FH. MNBI > 1975 and PSPW > 47.12 had high clinical application value for identifying NERD and FH.

Conclusions: MNBI and PSPW, LES tone, total reflux episodes and acid reflux episodes aided in distinguishing NERD and FH. MNBI and PSPW combinative detection had high clinical application value for distinguishing NERD from FH.

求助全文
通过发布文献求助,成功后即可免费获取论文全文。 去求助
来源期刊
Przegla̜d Gastroenterologiczny
Przegla̜d Gastroenterologiczny GASTROENTEROLOGY & HEPATOLOGY-
CiteScore
2.20
自引率
7.70%
发文量
50
审稿时长
6-12 weeks
期刊介绍: Gastroenterology Review is a journal published each 2 months, aimed at gastroenterologists and general practitioners. Published under the patronage of Consultant in Gastroenterology and Polish Pancreatic Club.
×
引用
GB/T 7714-2015
复制
MLA
复制
APA
复制
导出至
BibTeX EndNote RefMan NoteFirst NoteExpress
×
提示
您的信息不完整,为了账户安全,请先补充。
现在去补充
×
提示
您因"违规操作"
具体请查看互助需知
我知道了
×
提示
确定
请完成安全验证×
copy
已复制链接
快去分享给好友吧!
我知道了
右上角分享
点击右上角分享
0
联系我们:info@booksci.cn Book学术提供免费学术资源搜索服务,方便国内外学者检索中英文文献。致力于提供最便捷和优质的服务体验。 Copyright © 2023 布克学术 All rights reserved.
京ICP备2023020795号-1
ghs 京公网安备 11010802042870号
Book学术文献互助
Book学术文献互助群
群 号:604180095
Book学术官方微信