儿童非临床显著性食管静脉曲张的自然进展和预测指标。

IF 2.6 3区 医学 Q3 GASTROENTEROLOGY & HEPATOLOGY
Cody Chan, Akshat Goel, Robert Hegarty, Bethany Tucker, Vandana Jain, Eirini Kyrana, Tassos Grammatikopoulos
{"title":"儿童非临床显著性食管静脉曲张的自然进展和预测指标。","authors":"Cody Chan, Akshat Goel, Robert Hegarty, Bethany Tucker, Vandana Jain, Eirini Kyrana, Tassos Grammatikopoulos","doi":"10.1002/jpn3.70136","DOIUrl":null,"url":null,"abstract":"<p><strong>Objectives: </strong>Limited literature exists on non-clinically significant varices (nCSV) and progression in children with portal hypertension (PHT). This study investigates trends and associations in this cohort.</p><p><strong>Methods: </strong>This retrospective cohort study analysed 70 children with nCSV undergoing surveillance endoscopy between January 2012 and 2024. Laboratory parameters, prediction scores and fibroscan results were collected. Statistical analysis include Mann-Whitney U test, chi-squared test and receiver operating characteristic.</p><p><strong>Results: </strong>Ten children (14.3%) presented with portal vein thrombosis (PVT), 26 (37.1%) with non-biliary atresia chronic liver disease (CLD) and 34 (48.6%) with biliary atresia (BA). Twenty-five children (35.7%) had variceal progression, with median years until progression of 3 years recorded in PVT and CLD (PVT: 1-6 years, CLD: 2-8 years), and 2 years (1-10 years) in BA. Haemoglobin count (Hb) (area under the curve [AUC] = 0.943), risk score (AUC = 0.748), and spleen stiffness by fibroscan (SSM) (AUC = 1.00) revealed optimal accuracy in predicting progression in PVT, with similar findings in CLD (von Willebrand Factor score [vWFAg score]: AUC = 1.00, risk score: AUC = 0.767, SSM: AUC = 0.882). Suboptimal accuracy was seen in BA biomarkers.</p><p><strong>Conclusions: </strong>Risk score is a reliable marker to monitor variceal progression in CLD and PVT. Interim noninvasive scores could be trialled along with surveillance OGD to validate results. Caution is advised extending endoscopy period for children with BA. Due to small subgroup sizes, larger cohort studies are needed to validate SSM and vWFAg score in children with nCSV.</p>","PeriodicalId":16694,"journal":{"name":"Journal of Pediatric Gastroenterology and Nutrition","volume":" ","pages":"644-652"},"PeriodicalIF":2.6000,"publicationDate":"2025-09-01","publicationTypes":"Journal Article","fieldsOfStudy":null,"isOpenAccess":false,"openAccessPdf":"https://www.ncbi.nlm.nih.gov/pmc/articles/PMC12408977/pdf/","citationCount":"0","resultStr":"{\"title\":\"Natural progression and prediction markers in non-clinically significant oesophageal varices in children.\",\"authors\":\"Cody Chan, Akshat Goel, Robert Hegarty, Bethany Tucker, Vandana Jain, Eirini Kyrana, Tassos Grammatikopoulos\",\"doi\":\"10.1002/jpn3.70136\",\"DOIUrl\":null,\"url\":null,\"abstract\":\"<p><strong>Objectives: </strong>Limited literature exists on non-clinically significant varices (nCSV) and progression in children with portal hypertension (PHT). This study investigates trends and associations in this cohort.</p><p><strong>Methods: </strong>This retrospective cohort study analysed 70 children with nCSV undergoing surveillance endoscopy between January 2012 and 2024. Laboratory parameters, prediction scores and fibroscan results were collected. Statistical analysis include Mann-Whitney U test, chi-squared test and receiver operating characteristic.</p><p><strong>Results: </strong>Ten children (14.3%) presented with portal vein thrombosis (PVT), 26 (37.1%) with non-biliary atresia chronic liver disease (CLD) and 34 (48.6%) with biliary atresia (BA). Twenty-five children (35.7%) had variceal progression, with median years until progression of 3 years recorded in PVT and CLD (PVT: 1-6 years, CLD: 2-8 years), and 2 years (1-10 years) in BA. Haemoglobin count (Hb) (area under the curve [AUC] = 0.943), risk score (AUC = 0.748), and spleen stiffness by fibroscan (SSM) (AUC = 1.00) revealed optimal accuracy in predicting progression in PVT, with similar findings in CLD (von Willebrand Factor score [vWFAg score]: AUC = 1.00, risk score: AUC = 0.767, SSM: AUC = 0.882). Suboptimal accuracy was seen in BA biomarkers.</p><p><strong>Conclusions: </strong>Risk score is a reliable marker to monitor variceal progression in CLD and PVT. Interim noninvasive scores could be trialled along with surveillance OGD to validate results. Caution is advised extending endoscopy period for children with BA. Due to small subgroup sizes, larger cohort studies are needed to validate SSM and vWFAg score in children with nCSV.</p>\",\"PeriodicalId\":16694,\"journal\":{\"name\":\"Journal of Pediatric Gastroenterology and Nutrition\",\"volume\":\" \",\"pages\":\"644-652\"},\"PeriodicalIF\":2.6000,\"publicationDate\":\"2025-09-01\",\"publicationTypes\":\"Journal Article\",\"fieldsOfStudy\":null,\"isOpenAccess\":false,\"openAccessPdf\":\"https://www.ncbi.nlm.nih.gov/pmc/articles/PMC12408977/pdf/\",\"citationCount\":\"0\",\"resultStr\":null,\"platform\":\"Semanticscholar\",\"paperid\":null,\"PeriodicalName\":\"Journal of Pediatric Gastroenterology and Nutrition\",\"FirstCategoryId\":\"3\",\"ListUrlMain\":\"https://doi.org/10.1002/jpn3.70136\",\"RegionNum\":3,\"RegionCategory\":\"医学\",\"ArticlePicture\":[],\"TitleCN\":null,\"AbstractTextCN\":null,\"PMCID\":null,\"EPubDate\":\"2025/7/7 0:00:00\",\"PubModel\":\"Epub\",\"JCR\":\"Q3\",\"JCRName\":\"GASTROENTEROLOGY & HEPATOLOGY\",\"Score\":null,\"Total\":0}","platform":"Semanticscholar","paperid":null,"PeriodicalName":"Journal of Pediatric Gastroenterology and Nutrition","FirstCategoryId":"3","ListUrlMain":"https://doi.org/10.1002/jpn3.70136","RegionNum":3,"RegionCategory":"医学","ArticlePicture":[],"TitleCN":null,"AbstractTextCN":null,"PMCID":null,"EPubDate":"2025/7/7 0:00:00","PubModel":"Epub","JCR":"Q3","JCRName":"GASTROENTEROLOGY & HEPATOLOGY","Score":null,"Total":0}
引用次数: 0

摘要

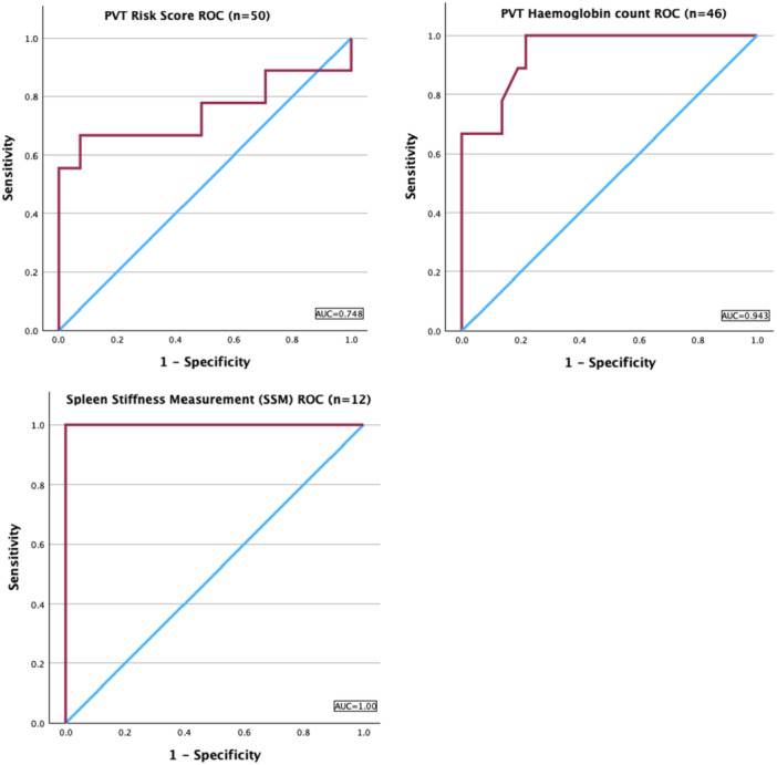
目的:关于儿童门静脉高压(PHT)的非临床显著性静脉曲张(nCSV)和进展的文献有限。本研究调查了这一队列的趋势和关联。方法:本回顾性队列研究分析了2012年1月至2024年1月期间接受监测内窥镜检查的70例nCSV患儿。收集实验室参数、预测评分和纤维扫描结果。统计分析包括Mann-Whitney U检验、卡方检验和受试者工作特征。结果:患儿门静脉血栓形成(PVT) 10例(14.3%),非胆道闭锁慢性肝病(CLD) 26例(37.1%),胆道闭锁(BA) 34例(48.6%)。25名儿童(35.7%)有静脉曲张进展,PVT和CLD的中位进展时间为3年(PVT: 1-6年,CLD: 2-8年),BA为2年(1-10年)。血红蛋白计数(Hb)(曲线下面积[AUC] = 0.943)、风险评分(AUC = 0.748)和纤维扫描脾脏硬度(SSM) (AUC = 1.00)在预测PVT进展方面具有最佳准确性,在CLD中也有类似的发现(血管性血友病因子评分[vWFAg评分]:AUC = 1.00,风险评分:AUC = 0.767, SSM: AUC = 0.882)。BA生物标志物的准确性不理想。结论:风险评分是监测CLD和pvt静脉曲张进展的可靠指标。中期无创评分可与监测OGD一起试验以验证结果。建议延长BA患儿的内窥镜检查时间。由于亚组规模小,需要更大的队列研究来验证非csv儿童的SSM和vWFAg评分。
本文章由计算机程序翻译,如有差异,请以英文原文为准。

Natural progression and prediction markers in non-clinically significant oesophageal varices in children.

Natural progression and prediction markers in non-clinically significant oesophageal varices in children.

Natural progression and prediction markers in non-clinically significant oesophageal varices in children.

Objectives: Limited literature exists on non-clinically significant varices (nCSV) and progression in children with portal hypertension (PHT). This study investigates trends and associations in this cohort.

Methods: This retrospective cohort study analysed 70 children with nCSV undergoing surveillance endoscopy between January 2012 and 2024. Laboratory parameters, prediction scores and fibroscan results were collected. Statistical analysis include Mann-Whitney U test, chi-squared test and receiver operating characteristic.

Results: Ten children (14.3%) presented with portal vein thrombosis (PVT), 26 (37.1%) with non-biliary atresia chronic liver disease (CLD) and 34 (48.6%) with biliary atresia (BA). Twenty-five children (35.7%) had variceal progression, with median years until progression of 3 years recorded in PVT and CLD (PVT: 1-6 years, CLD: 2-8 years), and 2 years (1-10 years) in BA. Haemoglobin count (Hb) (area under the curve [AUC] = 0.943), risk score (AUC = 0.748), and spleen stiffness by fibroscan (SSM) (AUC = 1.00) revealed optimal accuracy in predicting progression in PVT, with similar findings in CLD (von Willebrand Factor score [vWFAg score]: AUC = 1.00, risk score: AUC = 0.767, SSM: AUC = 0.882). Suboptimal accuracy was seen in BA biomarkers.

Conclusions: Risk score is a reliable marker to monitor variceal progression in CLD and PVT. Interim noninvasive scores could be trialled along with surveillance OGD to validate results. Caution is advised extending endoscopy period for children with BA. Due to small subgroup sizes, larger cohort studies are needed to validate SSM and vWFAg score in children with nCSV.

求助全文
通过发布文献求助,成功后即可免费获取论文全文。 去求助
来源期刊
CiteScore
5.30
自引率
13.80%
发文量
467
审稿时长
3-6 weeks
期刊介绍: ​The Journal of Pediatric Gastroenterology and Nutrition (JPGN) provides a forum for original papers and reviews dealing with pediatric gastroenterology and nutrition, including normal and abnormal functions of the alimentary tract and its associated organs, including the salivary glands, pancreas, gallbladder, and liver. Particular emphasis is on development and its relation to infant and childhood nutrition.
×
引用
GB/T 7714-2015
复制
MLA
复制
APA
复制
导出至
BibTeX EndNote RefMan NoteFirst NoteExpress
×
提示
您的信息不完整,为了账户安全,请先补充。
现在去补充
×
提示
您因"违规操作"
具体请查看互助需知
我知道了
×
提示
确定
请完成安全验证×
copy
已复制链接
快去分享给好友吧!
我知道了
右上角分享
点击右上角分享
0
联系我们:info@booksci.cn Book学术提供免费学术资源搜索服务,方便国内外学者检索中英文文献。致力于提供最便捷和优质的服务体验。 Copyright © 2023 布克学术 All rights reserved.
京ICP备2023020795号-1
ghs 京公网安备 11010802042870号
Book学术文献互助
Book学术文献互助群
群 号:604180095
Book学术官方微信