腓肠背神经在早期糖尿病神经病变的临床相关性和检测中的应用。

IF 1.8 4区 医学 Q3 CLINICAL NEUROLOGY
Annals of Indian Academy of Neurology Pub Date : 2025-07-01 Epub Date: 2025-07-07 DOI:10.4103/aian.aian_1121_24
Partisha Gupta, Ajoy Kumar Sodani, Rahul Jain, Ashish Gaur
{"title":"腓肠背神经在早期糖尿病神经病变的临床相关性和检测中的应用。","authors":"Partisha Gupta, Ajoy Kumar Sodani, Rahul Jain, Ashish Gaur","doi":"10.4103/aian.aian_1121_24","DOIUrl":null,"url":null,"abstract":"<p><strong>Background and objectives: </strong>Monofilament and tuning fork are commonly applied in clinical testing for distal sensory peripheral neuropathy (DSP). However, a dependable diagnosis of DSP requires nerve conduction studies (NCS). In the present study, we emphasize on the utility of dorsal sural sensory nerve action potential (dsSNAP) abnormality over sural sensory nerve action potential (SNAP) abnormality in detecting early DSP. Furthermore, we study the correlation between the clinical findings and sural SNAP and dsSNAP abnormalities.</p><p><strong>Methods: </strong>The study included 101 persons with type 2 diabetes mellitus (T2DM) (PWD; 202 lower extremities [LEs]) aged 18-70 years, with the duration of T2DM being ≥6 months. Normative data was generated from controls (200 LEs). Clinical and electrophysiological findings of the study group were analyzed and discussed in comparison with the normative data. Furthermore, receiver operating characteristic (ROC) curve analysis determined the optimal cut-off for different sensory modalities, and Spearman's correlation tests were applied to analyze the correlation between NCS and clinical parameters.</p><p><strong>Results: </strong>dsSNAP was abnormal in 39.1%, while sural SNAP was abnormal in 9.8% of asymptomatic PWD. Early neuropathy was detectable with subjective losses of 10% in temperature and pain sensations, 20% in touch sensation, and vibration duration <12 sec. Conventionally, the lower limit of normal of SNAP is considered as the cut-off for abnormality in the Electrophysiology (EP) lab. On ROC analysis, we found different optimal cut-offs for different sensory modalities.</p><p><strong>Conclusions: </strong>Incorporating dorsal sural nerve into routine NCS enhances the detection of early DSP. Clinical sensory abnormalities, especially temperature and vibration sensation, showed the highest sensitivity and specificity, respectively, in relation to NCS abnormalities. Relying solely on standard institute-based reference SNAP amplitudes may potentially overlook early DSP.</p>","PeriodicalId":8036,"journal":{"name":"Annals of Indian Academy of Neurology","volume":" ","pages":"560-567"},"PeriodicalIF":1.8000,"publicationDate":"2025-07-01","publicationTypes":"Journal Article","fieldsOfStudy":null,"isOpenAccess":false,"openAccessPdf":"https://www.ncbi.nlm.nih.gov/pmc/articles/PMC12393845/pdf/","citationCount":"0","resultStr":"{\"title\":\"Utility of Dorsal Sural Nerve for Clinical Correlation and Detection of Early Diabetic Neuropathy.\",\"authors\":\"Partisha Gupta, Ajoy Kumar Sodani, Rahul Jain, Ashish Gaur\",\"doi\":\"10.4103/aian.aian_1121_24\",\"DOIUrl\":null,\"url\":null,\"abstract\":\"<p><strong>Background and objectives: </strong>Monofilament and tuning fork are commonly applied in clinical testing for distal sensory peripheral neuropathy (DSP). However, a dependable diagnosis of DSP requires nerve conduction studies (NCS). In the present study, we emphasize on the utility of dorsal sural sensory nerve action potential (dsSNAP) abnormality over sural sensory nerve action potential (SNAP) abnormality in detecting early DSP. Furthermore, we study the correlation between the clinical findings and sural SNAP and dsSNAP abnormalities.</p><p><strong>Methods: </strong>The study included 101 persons with type 2 diabetes mellitus (T2DM) (PWD; 202 lower extremities [LEs]) aged 18-70 years, with the duration of T2DM being ≥6 months. Normative data was generated from controls (200 LEs). Clinical and electrophysiological findings of the study group were analyzed and discussed in comparison with the normative data. Furthermore, receiver operating characteristic (ROC) curve analysis determined the optimal cut-off for different sensory modalities, and Spearman's correlation tests were applied to analyze the correlation between NCS and clinical parameters.</p><p><strong>Results: </strong>dsSNAP was abnormal in 39.1%, while sural SNAP was abnormal in 9.8% of asymptomatic PWD. Early neuropathy was detectable with subjective losses of 10% in temperature and pain sensations, 20% in touch sensation, and vibration duration <12 sec. Conventionally, the lower limit of normal of SNAP is considered as the cut-off for abnormality in the Electrophysiology (EP) lab. On ROC analysis, we found different optimal cut-offs for different sensory modalities.</p><p><strong>Conclusions: </strong>Incorporating dorsal sural nerve into routine NCS enhances the detection of early DSP. Clinical sensory abnormalities, especially temperature and vibration sensation, showed the highest sensitivity and specificity, respectively, in relation to NCS abnormalities. Relying solely on standard institute-based reference SNAP amplitudes may potentially overlook early DSP.</p>\",\"PeriodicalId\":8036,\"journal\":{\"name\":\"Annals of Indian Academy of Neurology\",\"volume\":\" \",\"pages\":\"560-567\"},\"PeriodicalIF\":1.8000,\"publicationDate\":\"2025-07-01\",\"publicationTypes\":\"Journal Article\",\"fieldsOfStudy\":null,\"isOpenAccess\":false,\"openAccessPdf\":\"https://www.ncbi.nlm.nih.gov/pmc/articles/PMC12393845/pdf/\",\"citationCount\":\"0\",\"resultStr\":null,\"platform\":\"Semanticscholar\",\"paperid\":null,\"PeriodicalName\":\"Annals of Indian Academy of Neurology\",\"FirstCategoryId\":\"3\",\"ListUrlMain\":\"https://doi.org/10.4103/aian.aian_1121_24\",\"RegionNum\":4,\"RegionCategory\":\"医学\",\"ArticlePicture\":[],\"TitleCN\":null,\"AbstractTextCN\":null,\"PMCID\":null,\"EPubDate\":\"2025/7/7 0:00:00\",\"PubModel\":\"Epub\",\"JCR\":\"Q3\",\"JCRName\":\"CLINICAL NEUROLOGY\",\"Score\":null,\"Total\":0}","platform":"Semanticscholar","paperid":null,"PeriodicalName":"Annals of Indian Academy of Neurology","FirstCategoryId":"3","ListUrlMain":"https://doi.org/10.4103/aian.aian_1121_24","RegionNum":4,"RegionCategory":"医学","ArticlePicture":[],"TitleCN":null,"AbstractTextCN":null,"PMCID":null,"EPubDate":"2025/7/7 0:00:00","PubModel":"Epub","JCR":"Q3","JCRName":"CLINICAL NEUROLOGY","Score":null,"Total":0}
引用次数: 0

摘要

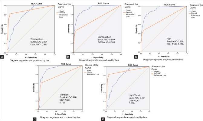
背景与目的:单丝和音叉在远端感觉周围神经病变(DSP)的临床检测中常用。然而,一个可靠的诊断需要神经传导研究(NCS)。在本研究中,我们强调腓肠背侧感觉神经动作电位(dsSNAP)异常与腓肠感觉神经动作电位(SNAP)异常在早期DSP检测中的应用。此外,我们还研究了临床表现与腓肠SNAP和dsSNAP异常的相关性。方法:研究纳入101例2型糖尿病(T2DM) (PWD;202例下肢[LEs]),年龄18 ~ 70岁,T2DM病程≥6个月。标准数据来自对照组(200个le)。将研究组的临床和电生理结果与规范数据进行对比分析和讨论。此外,通过受试者工作特征(ROC)曲线分析确定不同感觉方式的最佳截止点,并应用Spearman相关检验分析NCS与临床参数的相关性。结果:无症状PWD中dsSNAP异常占39.1%,而sural SNAP异常占9.8%。结论:将腓背神经纳入常规神经监测可提高早期DSP的检漏率。临床感觉异常,尤其是温度和振动感觉,分别对NCS异常表现出最高的敏感性和特异性。仅仅依靠标准的基于研究所的参考SNAP振幅可能会忽略早期的DSP。
本文章由计算机程序翻译,如有差异,请以英文原文为准。

Utility of Dorsal Sural Nerve for Clinical Correlation and Detection of Early Diabetic Neuropathy.

Utility of Dorsal Sural Nerve for Clinical Correlation and Detection of Early Diabetic Neuropathy.

Utility of Dorsal Sural Nerve for Clinical Correlation and Detection of Early Diabetic Neuropathy.

Utility of Dorsal Sural Nerve for Clinical Correlation and Detection of Early Diabetic Neuropathy.

Background and objectives: Monofilament and tuning fork are commonly applied in clinical testing for distal sensory peripheral neuropathy (DSP). However, a dependable diagnosis of DSP requires nerve conduction studies (NCS). In the present study, we emphasize on the utility of dorsal sural sensory nerve action potential (dsSNAP) abnormality over sural sensory nerve action potential (SNAP) abnormality in detecting early DSP. Furthermore, we study the correlation between the clinical findings and sural SNAP and dsSNAP abnormalities.

Methods: The study included 101 persons with type 2 diabetes mellitus (T2DM) (PWD; 202 lower extremities [LEs]) aged 18-70 years, with the duration of T2DM being ≥6 months. Normative data was generated from controls (200 LEs). Clinical and electrophysiological findings of the study group were analyzed and discussed in comparison with the normative data. Furthermore, receiver operating characteristic (ROC) curve analysis determined the optimal cut-off for different sensory modalities, and Spearman's correlation tests were applied to analyze the correlation between NCS and clinical parameters.

Results: dsSNAP was abnormal in 39.1%, while sural SNAP was abnormal in 9.8% of asymptomatic PWD. Early neuropathy was detectable with subjective losses of 10% in temperature and pain sensations, 20% in touch sensation, and vibration duration <12 sec. Conventionally, the lower limit of normal of SNAP is considered as the cut-off for abnormality in the Electrophysiology (EP) lab. On ROC analysis, we found different optimal cut-offs for different sensory modalities.

Conclusions: Incorporating dorsal sural nerve into routine NCS enhances the detection of early DSP. Clinical sensory abnormalities, especially temperature and vibration sensation, showed the highest sensitivity and specificity, respectively, in relation to NCS abnormalities. Relying solely on standard institute-based reference SNAP amplitudes may potentially overlook early DSP.

求助全文
通过发布文献求助,成功后即可免费获取论文全文。 去求助
来源期刊
Annals of Indian Academy of Neurology
Annals of Indian Academy of Neurology Nervous System Diseases-
CiteScore
2.20
自引率
11.80%
发文量
293
审稿时长
29 weeks
期刊介绍: The journal has a clinical foundation and has been utilized most by clinical neurologists for improving the practice of neurology. While the focus is on neurology in India, the journal publishes manuscripts of high value from all parts of the world. Journal publishes reviews of various types, original articles, short communications, interesting images and case reports. The journal respects the scientific submission of its authors and believes in following an expeditious double-blind peer review process and endeavors to complete the review process within scheduled time frame. A significant effort from the author and the journal perhaps enables to strike an equilibrium to meet the professional expectations of the peers in the world of scientific publication. AIAN believes in safeguarding the privacy rights of human subjects. In order to comply with it, the journal instructs all authors when uploading the manuscript to also add the ethical clearance (human/animals)/ informed consent of subject in the manuscript. This applies to the study/case report that involves animal/human subjects/human specimens e.g. extracted tooth part/soft tissue for biopsy/in vitro analysis.
×
引用
GB/T 7714-2015
复制
MLA
复制
APA
复制
导出至
BibTeX EndNote RefMan NoteFirst NoteExpress
×
提示
您的信息不完整,为了账户安全,请先补充。
现在去补充
×
提示
您因"违规操作"
具体请查看互助需知
我知道了
×
提示
确定
请完成安全验证×
copy
已复制链接
快去分享给好友吧!
我知道了
右上角分享
点击右上角分享
0
联系我们:info@booksci.cn Book学术提供免费学术资源搜索服务,方便国内外学者检索中英文文献。致力于提供最便捷和优质的服务体验。 Copyright © 2023 布克学术 All rights reserved.
京ICP备2023020795号-1
ghs 京公网安备 11010802042870号
Book学术文献互助
Book学术文献互助群
群 号:604180095
Book学术官方微信