月经周期对龈沟液炎症标志物Il-1β、IL-6、TNF-α的影响

IF 3.2 4区 医学 Q2 DENTISTRY, ORAL SURGERY & MEDICINE
Jules Julien Ndjoh, Metogo Ntsama Junie Annick, Campbell Ngoumusi Etone, Zilefac Brian Ngokwe, Sandra Lydie Akena Ndeng, Réné Ngoulma, Lawrence Essama Eno Belinga, Vicky Ama Moor
{"title":"月经周期对龈沟液炎症标志物Il-1β、IL-6、TNF-α的影响","authors":"Jules Julien Ndjoh, Metogo Ntsama Junie Annick, Campbell Ngoumusi Etone, Zilefac Brian Ngokwe, Sandra Lydie Akena Ndeng, Réné Ngoulma, Lawrence Essama Eno Belinga, Vicky Ama Moor","doi":"10.5051/jpis.2400820041","DOIUrl":null,"url":null,"abstract":"<p><strong>Purpose: </strong>Hormonal fluctuations, primarily in progesterone and estrogen during the menstrual cycle, may influence periodontal tissues, with inflammatory cytokines playing a crucial role. Therefore, our primary objective was to assess clinical periodontal parameters and measure levels of interleukin (IL)-1β, IL-6, and tumor necrosis factor (TNF)-α in gingival crevicular fluid (GCF) throughout the menstrual cycle.</p><p><strong>Methods: </strong>This longitudinal prospective study was conducted from February to April 2022 and included 50 participants. We assessed clinical periodontal parameters-plaque index (PI), gingival index (GI), pocket depth (PD), clinical attachment loss (CAL), and tooth mobility-at three stages of the menstrual cycle: menstruation day, ovulation day, and premenstrual day. Additionally, GCF samples were collected using paper points. These samples were then stored and analyzed for levels of IL-1β, IL-6, and TNF-α using enzyme-linked immunosorbent assays.</p><p><strong>Results: </strong>There were 25 participants in our study. The GI, PD, and CAL increased significantly during the menstrual cycle and were significantly higher during the premenstrual phase than in the ovulation phase (<i>P</i><0.05). The levels of GCF IL-1β (<i>P</i>=0.012), IL-6 (<i>P</i>=0.002), and TNF-α (<i>P</i>=0.015) showed statistically significant throughout the menstrual cycle compared to baseline which was the menstrual (follicular) phase. Furthermore, the GCF levels of IL-1β and IL-6 reached their peak during the luteal or premenstrual phase, whereas TNF-α peaked during the ovulation phase. The increase in biological markers was more pronounced between the menstruation phases than the clinical periodontal markers.</p><p><strong>Conclusions: </strong>All clinical periodontal parameters, except for the PI, showed a slight increase from the follicular phase to the luteal phase, with significant differences observed between each phase. The levels of GCF IL-1β (<i>P</i>=0.012), IL-6 (<i>P</i>=0.002), and TNF-α (<i>P</i>=0.015) were statistically significant, with increases in IL-1β and IL-6 throughout the menstrual cycle, peaking in the luteal phase. This demonstrates the influence of the menstrual cycle on clinical periodontal and GCF inflammatory markers.</p>","PeriodicalId":48795,"journal":{"name":"Journal of Periodontal and Implant Science","volume":"55 3","pages":"180-190"},"PeriodicalIF":3.2000,"publicationDate":"2025-06-01","publicationTypes":"Journal Article","fieldsOfStudy":null,"isOpenAccess":false,"openAccessPdf":"https://www.ncbi.nlm.nih.gov/pmc/articles/PMC12230422/pdf/","citationCount":"0","resultStr":"{\"title\":\"The influence of the menstrual cycle on inflammatory markers: the cytokines Il-1β, IL-6, and TNF-α in the gingival crevicular fluid.\",\"authors\":\"Jules Julien Ndjoh, Metogo Ntsama Junie Annick, Campbell Ngoumusi Etone, Zilefac Brian Ngokwe, Sandra Lydie Akena Ndeng, Réné Ngoulma, Lawrence Essama Eno Belinga, Vicky Ama Moor\",\"doi\":\"10.5051/jpis.2400820041\",\"DOIUrl\":null,\"url\":null,\"abstract\":\"<p><strong>Purpose: </strong>Hormonal fluctuations, primarily in progesterone and estrogen during the menstrual cycle, may influence periodontal tissues, with inflammatory cytokines playing a crucial role. Therefore, our primary objective was to assess clinical periodontal parameters and measure levels of interleukin (IL)-1β, IL-6, and tumor necrosis factor (TNF)-α in gingival crevicular fluid (GCF) throughout the menstrual cycle.</p><p><strong>Methods: </strong>This longitudinal prospective study was conducted from February to April 2022 and included 50 participants. We assessed clinical periodontal parameters-plaque index (PI), gingival index (GI), pocket depth (PD), clinical attachment loss (CAL), and tooth mobility-at three stages of the menstrual cycle: menstruation day, ovulation day, and premenstrual day. Additionally, GCF samples were collected using paper points. These samples were then stored and analyzed for levels of IL-1β, IL-6, and TNF-α using enzyme-linked immunosorbent assays.</p><p><strong>Results: </strong>There were 25 participants in our study. The GI, PD, and CAL increased significantly during the menstrual cycle and were significantly higher during the premenstrual phase than in the ovulation phase (<i>P</i><0.05). The levels of GCF IL-1β (<i>P</i>=0.012), IL-6 (<i>P</i>=0.002), and TNF-α (<i>P</i>=0.015) showed statistically significant throughout the menstrual cycle compared to baseline which was the menstrual (follicular) phase. Furthermore, the GCF levels of IL-1β and IL-6 reached their peak during the luteal or premenstrual phase, whereas TNF-α peaked during the ovulation phase. The increase in biological markers was more pronounced between the menstruation phases than the clinical periodontal markers.</p><p><strong>Conclusions: </strong>All clinical periodontal parameters, except for the PI, showed a slight increase from the follicular phase to the luteal phase, with significant differences observed between each phase. The levels of GCF IL-1β (<i>P</i>=0.012), IL-6 (<i>P</i>=0.002), and TNF-α (<i>P</i>=0.015) were statistically significant, with increases in IL-1β and IL-6 throughout the menstrual cycle, peaking in the luteal phase. This demonstrates the influence of the menstrual cycle on clinical periodontal and GCF inflammatory markers.</p>\",\"PeriodicalId\":48795,\"journal\":{\"name\":\"Journal of Periodontal and Implant Science\",\"volume\":\"55 3\",\"pages\":\"180-190\"},\"PeriodicalIF\":3.2000,\"publicationDate\":\"2025-06-01\",\"publicationTypes\":\"Journal Article\",\"fieldsOfStudy\":null,\"isOpenAccess\":false,\"openAccessPdf\":\"https://www.ncbi.nlm.nih.gov/pmc/articles/PMC12230422/pdf/\",\"citationCount\":\"0\",\"resultStr\":null,\"platform\":\"Semanticscholar\",\"paperid\":null,\"PeriodicalName\":\"Journal of Periodontal and Implant Science\",\"FirstCategoryId\":\"3\",\"ListUrlMain\":\"https://doi.org/10.5051/jpis.2400820041\",\"RegionNum\":4,\"RegionCategory\":\"医学\",\"ArticlePicture\":[],\"TitleCN\":null,\"AbstractTextCN\":null,\"PMCID\":null,\"EPubDate\":\"\",\"PubModel\":\"\",\"JCR\":\"Q2\",\"JCRName\":\"DENTISTRY, ORAL SURGERY & MEDICINE\",\"Score\":null,\"Total\":0}","platform":"Semanticscholar","paperid":null,"PeriodicalName":"Journal of Periodontal and Implant Science","FirstCategoryId":"3","ListUrlMain":"https://doi.org/10.5051/jpis.2400820041","RegionNum":4,"RegionCategory":"医学","ArticlePicture":[],"TitleCN":null,"AbstractTextCN":null,"PMCID":null,"EPubDate":"","PubModel":"","JCR":"Q2","JCRName":"DENTISTRY, ORAL SURGERY & MEDICINE","Score":null,"Total":0}
引用次数: 0

摘要

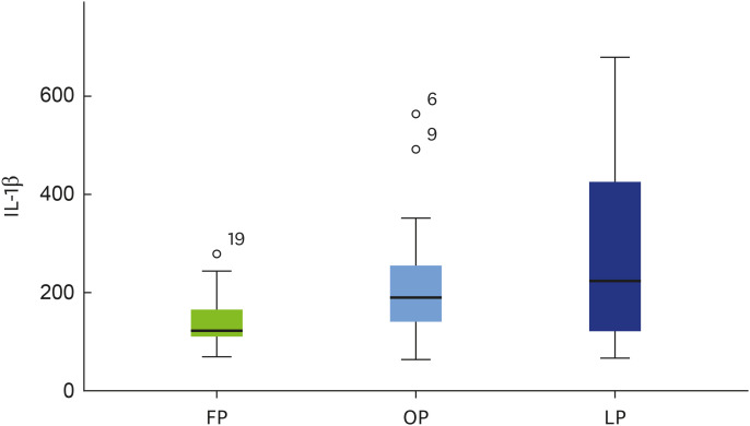
目的:月经周期中的激素波动,主要是孕酮和雌激素,可能影响牙周组织,炎症细胞因子在其中起着至关重要的作用。因此,我们的主要目的是评估临床牙周参数,并测量整个月经周期龈沟液(GCF)中白细胞介素(IL)-1β、IL-6和肿瘤坏死因子(TNF)-α的水平。方法:这项纵向前瞻性研究于2022年2月至4月进行,包括50名参与者。在月经周期的三个阶段:月经日、排卵日和经前日,我们评估了临床牙周参数——菌斑指数(PI)、牙龈指数(GI)、牙袋深度(PD)、临床附着损失(CAL)和牙齿活动性。此外,采用纸点采集GCF样本。然后将这些样品保存并使用酶联免疫吸附法分析IL-1β、IL-6和TNF-α的水平。结果:本研究共纳入25例受试者。GI、PD和CAL在月经周期中显著升高,经前期明显高于排卵期(PP=0.012), IL-6 (P=0.002)和TNF-α (P=0.015)在整个月经周期中与基线(月经(卵泡)期相比均有统计学意义。此外,GCF中IL-1β和IL-6水平在黄体期和经前期达到峰值,而TNF-α在排卵期达到峰值。生理指标的增加在月经期之间比临床牙周指标的增加更为明显。结论:从卵泡期到黄体期,除PI外,所有临床牙周参数均有轻微升高,且各期间差异有统计学意义。GCF IL-1β (P=0.012)、IL-6 (P=0.002)、TNF-α (P=0.015)水平均有统计学意义,IL-1β和IL-6在月经周期中升高,在黄体期达到峰值。这表明月经周期对临床牙周和GCF炎症标志物的影响。
本文章由计算机程序翻译,如有差异,请以英文原文为准。

The influence of the menstrual cycle on inflammatory markers: the cytokines Il-1β, IL-6, and TNF-α in the gingival crevicular fluid.

The influence of the menstrual cycle on inflammatory markers: the cytokines Il-1β, IL-6, and TNF-α in the gingival crevicular fluid.

The influence of the menstrual cycle on inflammatory markers: the cytokines Il-1β, IL-6, and TNF-α in the gingival crevicular fluid.

The influence of the menstrual cycle on inflammatory markers: the cytokines Il-1β, IL-6, and TNF-α in the gingival crevicular fluid.

Purpose: Hormonal fluctuations, primarily in progesterone and estrogen during the menstrual cycle, may influence periodontal tissues, with inflammatory cytokines playing a crucial role. Therefore, our primary objective was to assess clinical periodontal parameters and measure levels of interleukin (IL)-1β, IL-6, and tumor necrosis factor (TNF)-α in gingival crevicular fluid (GCF) throughout the menstrual cycle.

Methods: This longitudinal prospective study was conducted from February to April 2022 and included 50 participants. We assessed clinical periodontal parameters-plaque index (PI), gingival index (GI), pocket depth (PD), clinical attachment loss (CAL), and tooth mobility-at three stages of the menstrual cycle: menstruation day, ovulation day, and premenstrual day. Additionally, GCF samples were collected using paper points. These samples were then stored and analyzed for levels of IL-1β, IL-6, and TNF-α using enzyme-linked immunosorbent assays.

Results: There were 25 participants in our study. The GI, PD, and CAL increased significantly during the menstrual cycle and were significantly higher during the premenstrual phase than in the ovulation phase (P<0.05). The levels of GCF IL-1β (P=0.012), IL-6 (P=0.002), and TNF-α (P=0.015) showed statistically significant throughout the menstrual cycle compared to baseline which was the menstrual (follicular) phase. Furthermore, the GCF levels of IL-1β and IL-6 reached their peak during the luteal or premenstrual phase, whereas TNF-α peaked during the ovulation phase. The increase in biological markers was more pronounced between the menstruation phases than the clinical periodontal markers.

Conclusions: All clinical periodontal parameters, except for the PI, showed a slight increase from the follicular phase to the luteal phase, with significant differences observed between each phase. The levels of GCF IL-1β (P=0.012), IL-6 (P=0.002), and TNF-α (P=0.015) were statistically significant, with increases in IL-1β and IL-6 throughout the menstrual cycle, peaking in the luteal phase. This demonstrates the influence of the menstrual cycle on clinical periodontal and GCF inflammatory markers.

求助全文
通过发布文献求助,成功后即可免费获取论文全文。 去求助
来源期刊
Journal of Periodontal and Implant Science
Journal of Periodontal and Implant Science DENTISTRY, ORAL SURGERY & MEDICINE-
CiteScore
3.30
自引率
5.30%
发文量
38
期刊介绍: Journal of Periodontal & Implant Science (JPIS) is a peer-reviewed and open-access journal providing up-to-date information relevant to professionalism of periodontology and dental implantology. JPIS is dedicated to global and extensive publication which includes evidence-based original articles, and fundamental reviews in order to cover a variety of interests in the field of periodontal as well as implant science.
×
引用
GB/T 7714-2015
复制
MLA
复制
APA
复制
导出至
BibTeX EndNote RefMan NoteFirst NoteExpress
×
提示
您的信息不完整,为了账户安全,请先补充。
现在去补充
×
提示
您因"违规操作"
具体请查看互助需知
我知道了
×
提示
确定
请完成安全验证×
copy
已复制链接
快去分享给好友吧!
我知道了
右上角分享
点击右上角分享
0
联系我们:info@booksci.cn Book学术提供免费学术资源搜索服务,方便国内外学者检索中英文文献。致力于提供最便捷和优质的服务体验。 Copyright © 2023 布克学术 All rights reserved.
京ICP备2023020795号-1
ghs 京公网安备 11010802042870号
Book学术文献互助
Book学术文献互助群
群 号:604180095
Book学术官方微信