聚丙烯腈衍生滤器持续肾脏替代治疗对卡泊芬素浓度影响的回顾性研究。

IF 5.3 3区 医学 Q1 INFECTIOUS DISEASES
Infectious Diseases and Therapy Pub Date : 2025-08-01 Epub Date: 2025-07-05 DOI:10.1007/s40121-025-01191-6
Romain Arrestier, Claire Pressiat, Laura Bouabdallah, Paul Masi, Nicolas Mongardon, Anne Hulin, Armand Mekontso Dessap, Keyvan Razazi
{"title":"聚丙烯腈衍生滤器持续肾脏替代治疗对卡泊芬素浓度影响的回顾性研究。","authors":"Romain Arrestier, Claire Pressiat, Laura Bouabdallah, Paul Masi, Nicolas Mongardon, Anne Hulin, Armand Mekontso Dessap, Keyvan Razazi","doi":"10.1007/s40121-025-01191-6","DOIUrl":null,"url":null,"abstract":"<p><strong>Introduction: </strong>Caspofungin pharmacokinetics may be altered in critically ill patients. In vitro studies suggest significant drug adsorption with polyacrylonitrile (PAN) membranes during continuous renal replacement therapy (CRRT).</p><p><strong>Methods: </strong>This study retrospectively analyzed 66 plasma caspofungin concentrations (pCAS<sub>conc</sub>) from 35 ICU patients between 2021 and 2024, comparing those on PAN-CRRT (n = 19) versus those without (n = 47).</p><p><strong>Results: </strong>Caspofungin is mainly prescribed for candidemia (40%) and invasive Candida infections (25.7%). Median pCAS<sub>conc</sub> at 12 h was similar between groups, but at 18 and 24 h, it was significantly higher in the PAN-CRRT group [5.3 (4.1-6.9) vs. 3.3 (1.9-3.7) mg/L, p = 0.04 and 5.3 (3.9-5.8) vs. 3.1 (2.5-4.5) mg/L, p = 0.01, respectively]. ECMO use was more frequent in PAN-CRRT patients (75% vs. 21.7%, p = 0.01). Persistent candidemia occurred in three patients (one in PAN-CRRT, two in non-PAN-CRRT).</p><p><strong>Conclusion: </strong>This study found no evidence of caspofungin depletion with PAN-CRRT, warranting further research on clinical outcomes.</p>","PeriodicalId":13592,"journal":{"name":"Infectious Diseases and Therapy","volume":" ","pages":"1997-2006"},"PeriodicalIF":5.3000,"publicationDate":"2025-08-01","publicationTypes":"Journal Article","fieldsOfStudy":null,"isOpenAccess":false,"openAccessPdf":"https://www.ncbi.nlm.nih.gov/pmc/articles/PMC12339816/pdf/","citationCount":"0","resultStr":"{\"title\":\"Impact of Continuous Renal Replacement Therapy with Polyacrylonitrile-Derived Filter on Caspofungin Concentration: A Retrospective Study.\",\"authors\":\"Romain Arrestier, Claire Pressiat, Laura Bouabdallah, Paul Masi, Nicolas Mongardon, Anne Hulin, Armand Mekontso Dessap, Keyvan Razazi\",\"doi\":\"10.1007/s40121-025-01191-6\",\"DOIUrl\":null,\"url\":null,\"abstract\":\"<p><strong>Introduction: </strong>Caspofungin pharmacokinetics may be altered in critically ill patients. In vitro studies suggest significant drug adsorption with polyacrylonitrile (PAN) membranes during continuous renal replacement therapy (CRRT).</p><p><strong>Methods: </strong>This study retrospectively analyzed 66 plasma caspofungin concentrations (pCAS<sub>conc</sub>) from 35 ICU patients between 2021 and 2024, comparing those on PAN-CRRT (n = 19) versus those without (n = 47).</p><p><strong>Results: </strong>Caspofungin is mainly prescribed for candidemia (40%) and invasive Candida infections (25.7%). Median pCAS<sub>conc</sub> at 12 h was similar between groups, but at 18 and 24 h, it was significantly higher in the PAN-CRRT group [5.3 (4.1-6.9) vs. 3.3 (1.9-3.7) mg/L, p = 0.04 and 5.3 (3.9-5.8) vs. 3.1 (2.5-4.5) mg/L, p = 0.01, respectively]. ECMO use was more frequent in PAN-CRRT patients (75% vs. 21.7%, p = 0.01). Persistent candidemia occurred in three patients (one in PAN-CRRT, two in non-PAN-CRRT).</p><p><strong>Conclusion: </strong>This study found no evidence of caspofungin depletion with PAN-CRRT, warranting further research on clinical outcomes.</p>\",\"PeriodicalId\":13592,\"journal\":{\"name\":\"Infectious Diseases and Therapy\",\"volume\":\" \",\"pages\":\"1997-2006\"},\"PeriodicalIF\":5.3000,\"publicationDate\":\"2025-08-01\",\"publicationTypes\":\"Journal Article\",\"fieldsOfStudy\":null,\"isOpenAccess\":false,\"openAccessPdf\":\"https://www.ncbi.nlm.nih.gov/pmc/articles/PMC12339816/pdf/\",\"citationCount\":\"0\",\"resultStr\":null,\"platform\":\"Semanticscholar\",\"paperid\":null,\"PeriodicalName\":\"Infectious Diseases and Therapy\",\"FirstCategoryId\":\"3\",\"ListUrlMain\":\"https://doi.org/10.1007/s40121-025-01191-6\",\"RegionNum\":3,\"RegionCategory\":\"医学\",\"ArticlePicture\":[],\"TitleCN\":null,\"AbstractTextCN\":null,\"PMCID\":null,\"EPubDate\":\"2025/7/5 0:00:00\",\"PubModel\":\"Epub\",\"JCR\":\"Q1\",\"JCRName\":\"INFECTIOUS DISEASES\",\"Score\":null,\"Total\":0}","platform":"Semanticscholar","paperid":null,"PeriodicalName":"Infectious Diseases and Therapy","FirstCategoryId":"3","ListUrlMain":"https://doi.org/10.1007/s40121-025-01191-6","RegionNum":3,"RegionCategory":"医学","ArticlePicture":[],"TitleCN":null,"AbstractTextCN":null,"PMCID":null,"EPubDate":"2025/7/5 0:00:00","PubModel":"Epub","JCR":"Q1","JCRName":"INFECTIOUS DISEASES","Score":null,"Total":0}
引用次数: 0

摘要

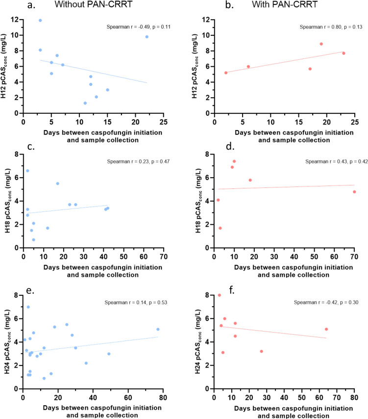
caspofunins在危重患者中可能会改变药代动力学。体外研究表明,在持续肾替代治疗(CRRT)期间,聚丙烯腈(PAN)膜对药物有显著的吸附作用。方法:本研究回顾性分析了2021年至2024年间35例ICU患者的66例血浆casfunins浓度(pCASconc),比较了PAN-CRRT组(n = 19)和未行PAN-CRRT组(n = 47)。结果:卡泊芬净主要用于念珠菌感染(40%)和侵袭性念珠菌感染(25.7%)。12 h时各组pCASconc中位数相似,但18和24 h时,PAN-CRRT组pCASconc中位数显著高于对照组[5.3 (4.1-6.9)vs. 3.3 (1.9-3.7) mg/L, p = 0.04; 5.3 (3.9-5.8) vs. 3.1 (2.5-4.5) mg/L, p = 0.01]。PAN-CRRT患者使用ECMO的频率更高(75%比21.7%,p = 0.01)。3例患者发生持续性念珠菌感染(PAN-CRRT组1例,非PAN-CRRT组2例)。结论:本研究未发现PAN-CRRT减少caspofungin的证据,值得进一步研究临床结果。
本文章由计算机程序翻译,如有差异,请以英文原文为准。

Impact of Continuous Renal Replacement Therapy with Polyacrylonitrile-Derived Filter on Caspofungin Concentration: A Retrospective Study.

Impact of Continuous Renal Replacement Therapy with Polyacrylonitrile-Derived Filter on Caspofungin Concentration: A Retrospective Study.

Impact of Continuous Renal Replacement Therapy with Polyacrylonitrile-Derived Filter on Caspofungin Concentration: A Retrospective Study.

Introduction: Caspofungin pharmacokinetics may be altered in critically ill patients. In vitro studies suggest significant drug adsorption with polyacrylonitrile (PAN) membranes during continuous renal replacement therapy (CRRT).

Methods: This study retrospectively analyzed 66 plasma caspofungin concentrations (pCASconc) from 35 ICU patients between 2021 and 2024, comparing those on PAN-CRRT (n = 19) versus those without (n = 47).

Results: Caspofungin is mainly prescribed for candidemia (40%) and invasive Candida infections (25.7%). Median pCASconc at 12 h was similar between groups, but at 18 and 24 h, it was significantly higher in the PAN-CRRT group [5.3 (4.1-6.9) vs. 3.3 (1.9-3.7) mg/L, p = 0.04 and 5.3 (3.9-5.8) vs. 3.1 (2.5-4.5) mg/L, p = 0.01, respectively]. ECMO use was more frequent in PAN-CRRT patients (75% vs. 21.7%, p = 0.01). Persistent candidemia occurred in three patients (one in PAN-CRRT, two in non-PAN-CRRT).

Conclusion: This study found no evidence of caspofungin depletion with PAN-CRRT, warranting further research on clinical outcomes.

求助全文
通过发布文献求助,成功后即可免费获取论文全文。 去求助
来源期刊
Infectious Diseases and Therapy
Infectious Diseases and Therapy Medicine-Microbiology (medical)
CiteScore
8.60
自引率
1.90%
发文量
136
审稿时长
6 weeks
期刊介绍: Infectious Diseases and Therapy is an international, open access, peer-reviewed, rapid publication journal dedicated to the publication of high-quality clinical (all phases), observational, real-world, and health outcomes research around the discovery, development, and use of infectious disease therapies and interventions, including vaccines and devices. Studies relating to diagnostic products and diagnosis, pharmacoeconomics, public health, epidemiology, quality of life, and patient care, management, and education are also encouraged. Areas of focus include, but are not limited to, bacterial and fungal infections, viral infections (including HIV/AIDS and hepatitis), parasitological diseases, tuberculosis and other mycobacterial diseases, vaccinations and other interventions, and drug-resistance, chronic infections, epidemiology and tropical, emergent, pediatric, dermal and sexually-transmitted diseases.
×
引用
GB/T 7714-2015
复制
MLA
复制
APA
复制
导出至
BibTeX EndNote RefMan NoteFirst NoteExpress
×
提示
您的信息不完整,为了账户安全,请先补充。
现在去补充
×
提示
您因"违规操作"
具体请查看互助需知
我知道了
×
提示
确定
请完成安全验证×
copy
已复制链接
快去分享给好友吧!
我知道了
右上角分享
点击右上角分享
0
联系我们:info@booksci.cn Book学术提供免费学术资源搜索服务,方便国内外学者检索中英文文献。致力于提供最便捷和优质的服务体验。 Copyright © 2023 布克学术 All rights reserved.
京ICP备2023020795号-1
ghs 京公网安备 11010802042870号
Book学术文献互助
Book学术文献互助群
群 号:604180095
Book学术官方微信