体重指数对非囊性纤维化支气管扩张结局的影响。

IF 3.4 3区 医学 Q1 RESPIRATORY SYSTEM
Wan-Hsuan Hsu, Bo-Wen Shiau, Yu-Feng Wei, Chih-Cheng Lai, Ching-Yi Chen
{"title":"体重指数对非囊性纤维化支气管扩张结局的影响。","authors":"Wan-Hsuan Hsu, Bo-Wen Shiau, Yu-Feng Wei, Chih-Cheng Lai, Ching-Yi Chen","doi":"10.1136/bmjresp-2024-002488","DOIUrl":null,"url":null,"abstract":"<p><strong>Background: </strong>Low body mass index (BMI) is associated with poor prognosis in patients with non-cystic fibrosis (non-CF) bronchiectasis. However, the impact of being overweight or obese on clinical outcomes of these patients remains controversial.</p><p><strong>Materials and methods: </strong>This retrospective cohort study was conducted using TriNetX. Patients diagnosed with non-CF bronchiectasis between 2012 and 2022 were identified. The eligible population was divided into four groups based on their BM. Propensity score matching (PSM) was used to balance baseline demographic and clinical characteristics between study groups. The primary outcome of interest was all-cause mortality during a 5-year follow-up period.</p><p><strong>Results: </strong>A total of 14 469 patients were included in the analysis. After PSM, the underweight group exhibited significantly higher all-cause mortality compared with those with a normal BMI (24.3% vs 15.3%; HR 1.83; 95% CI 1.49 to 2.25; p=0.0150). Conversely, both the overweight (16.6% vs 21.4%; HR 0.77; 95% CI 0.68 to 0.88; p=0.0138) and obese groups (16.8% vs 20.2%; HR 0.79; 95% CI 0.71 to 0.87; p=0.0356) demonstrated lower all-cause mortality rates. In addition, consistently higher risks in the underweight group and lower risks in the overweight and obese groups were observed for several critical health outcomes, including the need for critical care service, incidence of pneumonia, tuberculosis or non-tuberculous mycobacterial infection, acute exacerbation of bronchiectasis, acute respiratory failure and ventilator use.</p><p><strong>Conclusions: </strong>Being underweight is a risk factor for all-cause mortality in patients with non-CF bronchiectasis and the aforementioned clinical outcomes. Conversely, overweight and obesity are associated with lower all-cause mortality rates and better outcomes.</p>","PeriodicalId":9048,"journal":{"name":"BMJ Open Respiratory Research","volume":"12 1","pages":""},"PeriodicalIF":3.4000,"publicationDate":"2025-07-05","publicationTypes":"Journal Article","fieldsOfStudy":null,"isOpenAccess":false,"openAccessPdf":"https://www.ncbi.nlm.nih.gov/pmc/articles/PMC12228436/pdf/","citationCount":"0","resultStr":"{\"title\":\"Impact of body mass index on outcomes of non-cystic fibrosis bronchiectasis.\",\"authors\":\"Wan-Hsuan Hsu, Bo-Wen Shiau, Yu-Feng Wei, Chih-Cheng Lai, Ching-Yi Chen\",\"doi\":\"10.1136/bmjresp-2024-002488\",\"DOIUrl\":null,\"url\":null,\"abstract\":\"<p><strong>Background: </strong>Low body mass index (BMI) is associated with poor prognosis in patients with non-cystic fibrosis (non-CF) bronchiectasis. However, the impact of being overweight or obese on clinical outcomes of these patients remains controversial.</p><p><strong>Materials and methods: </strong>This retrospective cohort study was conducted using TriNetX. Patients diagnosed with non-CF bronchiectasis between 2012 and 2022 were identified. The eligible population was divided into four groups based on their BM. Propensity score matching (PSM) was used to balance baseline demographic and clinical characteristics between study groups. The primary outcome of interest was all-cause mortality during a 5-year follow-up period.</p><p><strong>Results: </strong>A total of 14 469 patients were included in the analysis. After PSM, the underweight group exhibited significantly higher all-cause mortality compared with those with a normal BMI (24.3% vs 15.3%; HR 1.83; 95% CI 1.49 to 2.25; p=0.0150). Conversely, both the overweight (16.6% vs 21.4%; HR 0.77; 95% CI 0.68 to 0.88; p=0.0138) and obese groups (16.8% vs 20.2%; HR 0.79; 95% CI 0.71 to 0.87; p=0.0356) demonstrated lower all-cause mortality rates. In addition, consistently higher risks in the underweight group and lower risks in the overweight and obese groups were observed for several critical health outcomes, including the need for critical care service, incidence of pneumonia, tuberculosis or non-tuberculous mycobacterial infection, acute exacerbation of bronchiectasis, acute respiratory failure and ventilator use.</p><p><strong>Conclusions: </strong>Being underweight is a risk factor for all-cause mortality in patients with non-CF bronchiectasis and the aforementioned clinical outcomes. Conversely, overweight and obesity are associated with lower all-cause mortality rates and better outcomes.</p>\",\"PeriodicalId\":9048,\"journal\":{\"name\":\"BMJ Open Respiratory Research\",\"volume\":\"12 1\",\"pages\":\"\"},\"PeriodicalIF\":3.4000,\"publicationDate\":\"2025-07-05\",\"publicationTypes\":\"Journal Article\",\"fieldsOfStudy\":null,\"isOpenAccess\":false,\"openAccessPdf\":\"https://www.ncbi.nlm.nih.gov/pmc/articles/PMC12228436/pdf/\",\"citationCount\":\"0\",\"resultStr\":null,\"platform\":\"Semanticscholar\",\"paperid\":null,\"PeriodicalName\":\"BMJ Open Respiratory Research\",\"FirstCategoryId\":\"3\",\"ListUrlMain\":\"https://doi.org/10.1136/bmjresp-2024-002488\",\"RegionNum\":3,\"RegionCategory\":\"医学\",\"ArticlePicture\":[],\"TitleCN\":null,\"AbstractTextCN\":null,\"PMCID\":null,\"EPubDate\":\"\",\"PubModel\":\"\",\"JCR\":\"Q1\",\"JCRName\":\"RESPIRATORY SYSTEM\",\"Score\":null,\"Total\":0}","platform":"Semanticscholar","paperid":null,"PeriodicalName":"BMJ Open Respiratory Research","FirstCategoryId":"3","ListUrlMain":"https://doi.org/10.1136/bmjresp-2024-002488","RegionNum":3,"RegionCategory":"医学","ArticlePicture":[],"TitleCN":null,"AbstractTextCN":null,"PMCID":null,"EPubDate":"","PubModel":"","JCR":"Q1","JCRName":"RESPIRATORY SYSTEM","Score":null,"Total":0}
引用次数: 0

摘要

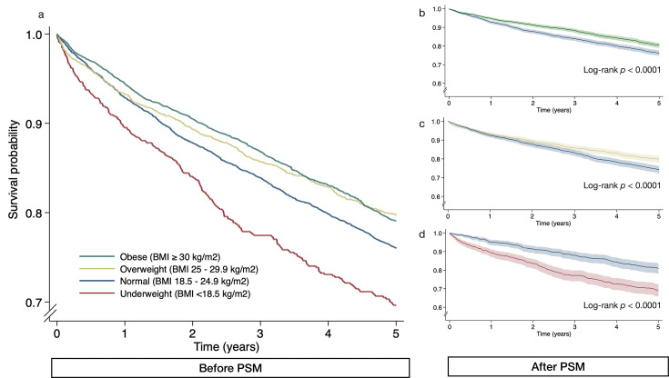
背景:低身体质量指数(BMI)与非囊性纤维化(non-CF)支气管扩张患者预后不良相关。然而,超重或肥胖对这些患者的临床结果的影响仍然存在争议。材料和方法:采用TriNetX进行回顾性队列研究。2012年至2022年间诊断为非cf支气管扩张的患者被确定。将符合条件的人群根据其BM分为四组。倾向评分匹配(PSM)用于平衡研究组之间的基线人口统计学和临床特征。研究的主要终点是5年随访期间的全因死亡率。结果:共纳入14 469例患者。PSM后,体重过轻组的全因死亡率明显高于BMI正常组(24.3% vs 15.3%;人力资源1.83;95% CI 1.49 ~ 2.25;p = 0.0150)。相反,超重组(16.6% vs 21.4%;人力资源0.77;95% CI 0.68 ~ 0.88;P =0.0138)和肥胖组(16.8% vs 20.2%;人力资源0.79;95% CI 0.71 ~ 0.87;P =0.0356)表明全因死亡率较低。此外,在一些关键的健康结果方面,体重不足组的风险始终较高,而超重和肥胖组的风险较低,包括对重症监护服务的需求、肺炎、结核病或非结核性分枝杆菌感染的发病率、支气管扩张急性加重、急性呼吸衰竭和呼吸机使用。结论:体重过轻是导致非cf支气管扩张患者全因死亡率和上述临床结果的危险因素。相反,超重和肥胖与较低的全因死亡率和较好的预后有关。
本文章由计算机程序翻译,如有差异,请以英文原文为准。

Impact of body mass index on outcomes of non-cystic fibrosis bronchiectasis.

Impact of body mass index on outcomes of non-cystic fibrosis bronchiectasis.

Impact of body mass index on outcomes of non-cystic fibrosis bronchiectasis.

Impact of body mass index on outcomes of non-cystic fibrosis bronchiectasis.

Background: Low body mass index (BMI) is associated with poor prognosis in patients with non-cystic fibrosis (non-CF) bronchiectasis. However, the impact of being overweight or obese on clinical outcomes of these patients remains controversial.

Materials and methods: This retrospective cohort study was conducted using TriNetX. Patients diagnosed with non-CF bronchiectasis between 2012 and 2022 were identified. The eligible population was divided into four groups based on their BM. Propensity score matching (PSM) was used to balance baseline demographic and clinical characteristics between study groups. The primary outcome of interest was all-cause mortality during a 5-year follow-up period.

Results: A total of 14 469 patients were included in the analysis. After PSM, the underweight group exhibited significantly higher all-cause mortality compared with those with a normal BMI (24.3% vs 15.3%; HR 1.83; 95% CI 1.49 to 2.25; p=0.0150). Conversely, both the overweight (16.6% vs 21.4%; HR 0.77; 95% CI 0.68 to 0.88; p=0.0138) and obese groups (16.8% vs 20.2%; HR 0.79; 95% CI 0.71 to 0.87; p=0.0356) demonstrated lower all-cause mortality rates. In addition, consistently higher risks in the underweight group and lower risks in the overweight and obese groups were observed for several critical health outcomes, including the need for critical care service, incidence of pneumonia, tuberculosis or non-tuberculous mycobacterial infection, acute exacerbation of bronchiectasis, acute respiratory failure and ventilator use.

Conclusions: Being underweight is a risk factor for all-cause mortality in patients with non-CF bronchiectasis and the aforementioned clinical outcomes. Conversely, overweight and obesity are associated with lower all-cause mortality rates and better outcomes.

求助全文
通过发布文献求助,成功后即可免费获取论文全文。 去求助
来源期刊
BMJ Open Respiratory Research
BMJ Open Respiratory Research RESPIRATORY SYSTEM-
CiteScore
6.60
自引率
2.40%
发文量
95
审稿时长
12 weeks
期刊介绍: BMJ Open Respiratory Research is a peer-reviewed, open access journal publishing respiratory and critical care medicine. It is the sister journal to Thorax and co-owned by the British Thoracic Society and BMJ. The journal focuses on robustness of methodology and scientific rigour with less emphasis on novelty or perceived impact. BMJ Open Respiratory Research operates a rapid review process, with continuous publication online, ensuring timely, up-to-date research is available worldwide. The journal publishes review articles and all research study types: Basic science including laboratory based experiments and animal models, Pilot studies or proof of concept, Observational studies, Study protocols, Registries, Clinical trials from phase I to multicentre randomised clinical trials, Systematic reviews and meta-analyses.
×
引用
GB/T 7714-2015
复制
MLA
复制
APA
复制
导出至
BibTeX EndNote RefMan NoteFirst NoteExpress
×
提示
您的信息不完整,为了账户安全,请先补充。
现在去补充
×
提示
您因"违规操作"
具体请查看互助需知
我知道了
×
提示
确定
请完成安全验证×
copy
已复制链接
快去分享给好友吧!
我知道了
右上角分享
点击右上角分享
0
联系我们:info@booksci.cn Book学术提供免费学术资源搜索服务,方便国内外学者检索中英文文献。致力于提供最便捷和优质的服务体验。 Copyright © 2023 布克学术 All rights reserved.
京ICP备2023020795号-1
ghs 京公网安备 11010802042870号
Book学术文献互助
Book学术文献互助群
群 号:604180095
Book学术官方微信