微创内镜联合肾内手术治疗肾功能不佳患者:1000余例术后发热的回顾性分析。

IF 1.1 0 UROLOGY & NEPHROLOGY
Tadashi Tabei, Hiroki Ito, Takaaki Inoue, Takahiko Watanab, Tetsuo Fukuda, Fukashi Yamamichi, Yosuke Shibata, Junichi Matsuzaki, Kazuki Kobayashi
{"title":"微创内镜联合肾内手术治疗肾功能不佳患者:1000余例术后发热的回顾性分析。","authors":"Tadashi Tabei, Hiroki Ito, Takaaki Inoue, Takahiko Watanab, Tetsuo Fukuda, Fukashi Yamamichi, Yosuke Shibata, Junichi Matsuzaki, Kazuki Kobayashi","doi":"10.5152/tud.2025.25013","DOIUrl":null,"url":null,"abstract":"<p><p>Objective: To assess the safety of mini-endoscopic combined intrarenal surgery (mini-ECIRS) in patients with a poor performance status (PS). Methods: A retrospective analysis was conducted on 1132 patients who underwent mini-ECIRS at 3 hospitals between January 2015 and December 2021. Patients were classified according to their PS (PS0-1 and PS2-4 groups) and compared between the groups in terms of preoperative drainage status, such as ureteral stent or percutaneous nephrostomy (PNS), stone characteristics, surgical outcomes, and postoperative fever. Multivariate logistic regression models were used to identify the predictive factors for postoperative fever in each PS group. Results: Patients in the PS2-4 group were older and had a higher stone burden than those in the PS0-1 group. The stone-free rates and surgical success rate were similar between the PS groups, but PS2-4 patients had higher rates of postoperative fever without preoperative drainage. Stone composition analysis revealed a higher prevalence of infectious stones in the PS2-4 group. In the PS0-1 group, PNS reduced postoperative fever risk (odds ratio (OR): 0.65, 95% CI: 0.48-0.89, P = .01), and history of febrile urinary tract infection, stone burden ! 30 mm, number of involved calyces ! 4, and female sex were independent risk factors. Notably, in the PS2-4 group, PNS remained effective against postoperative fever (OR: 0.24, 95% CI: 0.07-0.80, P = .02), while no other factors were significant. Conclusion: The mini-ECIRS was effective even in PS-poor patients, and they may benefit more from preoperative PNS placement than normal PS cases.</p>","PeriodicalId":101337,"journal":{"name":"Urology research & practice","volume":"51 3","pages":"89-94"},"PeriodicalIF":1.1000,"publicationDate":"2025-06-24","publicationTypes":"Journal Article","fieldsOfStudy":null,"isOpenAccess":false,"openAccessPdf":"https://www.ncbi.nlm.nih.gov/pmc/articles/PMC12257728/pdf/","citationCount":"0","resultStr":"{\"title\":\"Mini-Endoscopic Combined Intrarenal Surgery in Patients with Poor Performance Status: A Retrospective Analysis of Postoperative Fever in Over 1000 Cases.\",\"authors\":\"Tadashi Tabei, Hiroki Ito, Takaaki Inoue, Takahiko Watanab, Tetsuo Fukuda, Fukashi Yamamichi, Yosuke Shibata, Junichi Matsuzaki, Kazuki Kobayashi\",\"doi\":\"10.5152/tud.2025.25013\",\"DOIUrl\":null,\"url\":null,\"abstract\":\"<p><p>Objective: To assess the safety of mini-endoscopic combined intrarenal surgery (mini-ECIRS) in patients with a poor performance status (PS). Methods: A retrospective analysis was conducted on 1132 patients who underwent mini-ECIRS at 3 hospitals between January 2015 and December 2021. Patients were classified according to their PS (PS0-1 and PS2-4 groups) and compared between the groups in terms of preoperative drainage status, such as ureteral stent or percutaneous nephrostomy (PNS), stone characteristics, surgical outcomes, and postoperative fever. Multivariate logistic regression models were used to identify the predictive factors for postoperative fever in each PS group. Results: Patients in the PS2-4 group were older and had a higher stone burden than those in the PS0-1 group. The stone-free rates and surgical success rate were similar between the PS groups, but PS2-4 patients had higher rates of postoperative fever without preoperative drainage. Stone composition analysis revealed a higher prevalence of infectious stones in the PS2-4 group. In the PS0-1 group, PNS reduced postoperative fever risk (odds ratio (OR): 0.65, 95% CI: 0.48-0.89, P = .01), and history of febrile urinary tract infection, stone burden ! 30 mm, number of involved calyces ! 4, and female sex were independent risk factors. Notably, in the PS2-4 group, PNS remained effective against postoperative fever (OR: 0.24, 95% CI: 0.07-0.80, P = .02), while no other factors were significant. Conclusion: The mini-ECIRS was effective even in PS-poor patients, and they may benefit more from preoperative PNS placement than normal PS cases.</p>\",\"PeriodicalId\":101337,\"journal\":{\"name\":\"Urology research & practice\",\"volume\":\"51 3\",\"pages\":\"89-94\"},\"PeriodicalIF\":1.1000,\"publicationDate\":\"2025-06-24\",\"publicationTypes\":\"Journal Article\",\"fieldsOfStudy\":null,\"isOpenAccess\":false,\"openAccessPdf\":\"https://www.ncbi.nlm.nih.gov/pmc/articles/PMC12257728/pdf/\",\"citationCount\":\"0\",\"resultStr\":null,\"platform\":\"Semanticscholar\",\"paperid\":null,\"PeriodicalName\":\"Urology research & practice\",\"FirstCategoryId\":\"1085\",\"ListUrlMain\":\"https://doi.org/10.5152/tud.2025.25013\",\"RegionNum\":0,\"RegionCategory\":null,\"ArticlePicture\":[],\"TitleCN\":null,\"AbstractTextCN\":null,\"PMCID\":null,\"EPubDate\":\"\",\"PubModel\":\"\",\"JCR\":\"0\",\"JCRName\":\"UROLOGY & NEPHROLOGY\",\"Score\":null,\"Total\":0}","platform":"Semanticscholar","paperid":null,"PeriodicalName":"Urology research & practice","FirstCategoryId":"1085","ListUrlMain":"https://doi.org/10.5152/tud.2025.25013","RegionNum":0,"RegionCategory":null,"ArticlePicture":[],"TitleCN":null,"AbstractTextCN":null,"PMCID":null,"EPubDate":"","PubModel":"","JCR":"0","JCRName":"UROLOGY & NEPHROLOGY","Score":null,"Total":0}
引用次数: 0

摘要

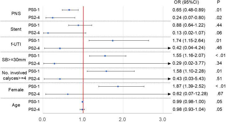
目的:评价微创内镜联合肾内手术(mini-ECIRS)治疗表现不佳(PS)患者的安全性。方法:回顾性分析2015年1月至2021年12月在3家医院接受mini-ECIRS治疗的1132例患者。根据患者PS (PS0-1组和PS2-4组)进行分类,比较两组患者术前输尿管支架或经皮肾造瘘(PNS)等引流情况、结石特征、手术结果、术后发热情况。采用多因素logistic回归模型确定各PS组术后发热的预测因素。结果:PS2-4组患者年龄较大,结石负担高于PS0-1组。PS组结石清除率和手术成功率相似,但PS2-4患者术后发热率较高,术前不引流。结石成分分析显示PS2-4组感染性结石患病率较高。在PS0-1组中,PNS降低了术后发热风险(优势比(OR): 0.65, 95% CI: 0.48-0.89, P = 0.01),降低了发热性尿路感染史、结石负担!30毫米,累及花萼数!4、女性性别为独立危险因素。值得注意的是,在PS2-4组中,PNS对术后发热仍然有效(OR: 0.24, 95% CI: 0.07-0.80, P = 0.02),而其他因素无显著性差异。结论:mini-ECIRS在PS差的患者中也是有效的,术前放置PNS比正常PS患者获益更多。
本文章由计算机程序翻译,如有差异,请以英文原文为准。

Mini-Endoscopic Combined Intrarenal Surgery in Patients with Poor Performance Status: A Retrospective Analysis of Postoperative Fever in Over 1000 Cases.

Mini-Endoscopic Combined Intrarenal Surgery in Patients with Poor Performance Status: A Retrospective Analysis of Postoperative Fever in Over 1000 Cases.

Mini-Endoscopic Combined Intrarenal Surgery in Patients with Poor Performance Status: A Retrospective Analysis of Postoperative Fever in Over 1000 Cases.

Objective: To assess the safety of mini-endoscopic combined intrarenal surgery (mini-ECIRS) in patients with a poor performance status (PS). Methods: A retrospective analysis was conducted on 1132 patients who underwent mini-ECIRS at 3 hospitals between January 2015 and December 2021. Patients were classified according to their PS (PS0-1 and PS2-4 groups) and compared between the groups in terms of preoperative drainage status, such as ureteral stent or percutaneous nephrostomy (PNS), stone characteristics, surgical outcomes, and postoperative fever. Multivariate logistic regression models were used to identify the predictive factors for postoperative fever in each PS group. Results: Patients in the PS2-4 group were older and had a higher stone burden than those in the PS0-1 group. The stone-free rates and surgical success rate were similar between the PS groups, but PS2-4 patients had higher rates of postoperative fever without preoperative drainage. Stone composition analysis revealed a higher prevalence of infectious stones in the PS2-4 group. In the PS0-1 group, PNS reduced postoperative fever risk (odds ratio (OR): 0.65, 95% CI: 0.48-0.89, P = .01), and history of febrile urinary tract infection, stone burden ! 30 mm, number of involved calyces ! 4, and female sex were independent risk factors. Notably, in the PS2-4 group, PNS remained effective against postoperative fever (OR: 0.24, 95% CI: 0.07-0.80, P = .02), while no other factors were significant. Conclusion: The mini-ECIRS was effective even in PS-poor patients, and they may benefit more from preoperative PNS placement than normal PS cases.

求助全文
通过发布文献求助,成功后即可免费获取论文全文。 去求助
来源期刊
CiteScore
2.60
自引率
0.00%
发文量
0
×
引用
GB/T 7714-2015
复制
MLA
复制
APA
复制
导出至
BibTeX EndNote RefMan NoteFirst NoteExpress
×
提示
您的信息不完整,为了账户安全,请先补充。
现在去补充
×
提示
您因"违规操作"
具体请查看互助需知
我知道了
×
提示
确定
请完成安全验证×
copy
已复制链接
快去分享给好友吧!
我知道了
右上角分享
点击右上角分享
0
联系我们:info@booksci.cn Book学术提供免费学术资源搜索服务,方便国内外学者检索中英文文献。致力于提供最便捷和优质的服务体验。 Copyright © 2023 布克学术 All rights reserved.
京ICP备2023020795号-1
ghs 京公网安备 11010802042870号
Book学术文献互助
Book学术文献互助群
群 号:604180095
Book学术官方微信