1990年至2021年自闭症负担的全球和区域趋势:来自全球疾病负担研究的数据重新分析和预测

IF 2 4区 医学 Q2 HEALTH CARE SCIENCES & SERVICES
Risk Management and Healthcare Policy Pub Date : 2025-06-28 eCollection Date: 2025-01-01 DOI:10.2147/RMHP.S510506
Lingping Zhu, Haiyan Zhang, Lili Wang, Xuefeng Yang
{"title":"1990年至2021年自闭症负担的全球和区域趋势:来自全球疾病负担研究的数据重新分析和预测","authors":"Lingping Zhu, Haiyan Zhang, Lili Wang, Xuefeng Yang","doi":"10.2147/RMHP.S510506","DOIUrl":null,"url":null,"abstract":"<p><strong>Objective: </strong>This study aims to investigate global incidence rates and disability-adjusted life-years (DALYs) for autism spectrum disorder (ASD) from 1990 to 2021 and forecast trends for the next 25 years.</p><p><strong>Methods: </strong>Utilizing data from the Global Burden of Disease (GBD) study, we examined global and country-specific ASD incidence, prevalence, and burden. We also calculated age-standardized prevalence, analyzed by sex, age groups, sociodemographic index (SDI) regions, and GBD regions, and made predictions for the future.</p><p><strong>Results: </strong>In 2021, the GBD reported global age-standardized ASD incidence and prevalence at 0.019% and 0.788%, respectively. High-income Asia-Pacific had the highest burden, while Tropical Latin America had the lowest. From 1990 to 2021, global age-standardized prevalence rose by 1.95%, and incidence by 5.20%. Females and low-middle SDI regions saw the most significant increases in incidence, while the Caribbean and Serbia saw decreases. High-income Asia Pacific and Japan experienced the largest prevalence increases, and Middle SDI, East Asia, high-income Asia Pacific, and Equatorial Guinea saw the most significant DALY increases, with Oceania showing the largest decrease. Predictive models forecast continued increases in incidence, prevalence, and DALYs from 2022 to 2046.</p><p><strong>Conclusion: </strong>ASD incidence, prevalence, and DALYs are rising annually, with notable increases in females and middle-low income countries and a decline in the Caribbean. Tailored screening and interventions based on regional rates are essential for improving the health of individuals with autism.</p>","PeriodicalId":56009,"journal":{"name":"Risk Management and Healthcare Policy","volume":"18 ","pages":"2151-2168"},"PeriodicalIF":2.0000,"publicationDate":"2025-06-28","publicationTypes":"Journal Article","fieldsOfStudy":null,"isOpenAccess":false,"openAccessPdf":"https://www.ncbi.nlm.nih.gov/pmc/articles/PMC12222627/pdf/","citationCount":"0","resultStr":"{\"title\":\"Global and Regional Trends in Autism Burden from 1990 to 2021: A Data Re-Analysis and Prediction from the Global Burden of Disease Study.\",\"authors\":\"Lingping Zhu, Haiyan Zhang, Lili Wang, Xuefeng Yang\",\"doi\":\"10.2147/RMHP.S510506\",\"DOIUrl\":null,\"url\":null,\"abstract\":\"<p><strong>Objective: </strong>This study aims to investigate global incidence rates and disability-adjusted life-years (DALYs) for autism spectrum disorder (ASD) from 1990 to 2021 and forecast trends for the next 25 years.</p><p><strong>Methods: </strong>Utilizing data from the Global Burden of Disease (GBD) study, we examined global and country-specific ASD incidence, prevalence, and burden. We also calculated age-standardized prevalence, analyzed by sex, age groups, sociodemographic index (SDI) regions, and GBD regions, and made predictions for the future.</p><p><strong>Results: </strong>In 2021, the GBD reported global age-standardized ASD incidence and prevalence at 0.019% and 0.788%, respectively. High-income Asia-Pacific had the highest burden, while Tropical Latin America had the lowest. From 1990 to 2021, global age-standardized prevalence rose by 1.95%, and incidence by 5.20%. Females and low-middle SDI regions saw the most significant increases in incidence, while the Caribbean and Serbia saw decreases. High-income Asia Pacific and Japan experienced the largest prevalence increases, and Middle SDI, East Asia, high-income Asia Pacific, and Equatorial Guinea saw the most significant DALY increases, with Oceania showing the largest decrease. Predictive models forecast continued increases in incidence, prevalence, and DALYs from 2022 to 2046.</p><p><strong>Conclusion: </strong>ASD incidence, prevalence, and DALYs are rising annually, with notable increases in females and middle-low income countries and a decline in the Caribbean. Tailored screening and interventions based on regional rates are essential for improving the health of individuals with autism.</p>\",\"PeriodicalId\":56009,\"journal\":{\"name\":\"Risk Management and Healthcare Policy\",\"volume\":\"18 \",\"pages\":\"2151-2168\"},\"PeriodicalIF\":2.0000,\"publicationDate\":\"2025-06-28\",\"publicationTypes\":\"Journal Article\",\"fieldsOfStudy\":null,\"isOpenAccess\":false,\"openAccessPdf\":\"https://www.ncbi.nlm.nih.gov/pmc/articles/PMC12222627/pdf/\",\"citationCount\":\"0\",\"resultStr\":null,\"platform\":\"Semanticscholar\",\"paperid\":null,\"PeriodicalName\":\"Risk Management and Healthcare Policy\",\"FirstCategoryId\":\"3\",\"ListUrlMain\":\"https://doi.org/10.2147/RMHP.S510506\",\"RegionNum\":4,\"RegionCategory\":\"医学\",\"ArticlePicture\":[],\"TitleCN\":null,\"AbstractTextCN\":null,\"PMCID\":null,\"EPubDate\":\"2025/1/1 0:00:00\",\"PubModel\":\"eCollection\",\"JCR\":\"Q2\",\"JCRName\":\"HEALTH CARE SCIENCES & SERVICES\",\"Score\":null,\"Total\":0}","platform":"Semanticscholar","paperid":null,"PeriodicalName":"Risk Management and Healthcare Policy","FirstCategoryId":"3","ListUrlMain":"https://doi.org/10.2147/RMHP.S510506","RegionNum":4,"RegionCategory":"医学","ArticlePicture":[],"TitleCN":null,"AbstractTextCN":null,"PMCID":null,"EPubDate":"2025/1/1 0:00:00","PubModel":"eCollection","JCR":"Q2","JCRName":"HEALTH CARE SCIENCES & SERVICES","Score":null,"Total":0}
引用次数: 0

摘要

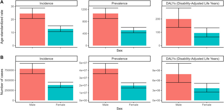
目的:本研究旨在调查1990年至2021年自闭症谱系障碍(ASD)的全球发病率和残疾调整生命年(DALYs),并预测未来25年的趋势。方法:利用全球疾病负担(GBD)研究的数据,我们检查了全球和国家特异性ASD发病率、患病率和负担。我们还计算了年龄标准化患病率,按性别、年龄组、社会人口指数(SDI)地区和GBD地区进行了分析,并对未来进行了预测。结果:2021年,GBD报告的全球年龄标准化ASD发病率和患病率分别为0.019%和0.788%。高收入的亚太地区负担最重,而热带拉丁美洲负担最低。从1990年到2021年,全球年龄标准化患病率上升1.95%,发病率上升5.20%。女性和中低SDI地区的发病率增长最为显著,而加勒比地区和塞尔维亚的发病率则有所下降。高收入亚太地区和日本的患病率增幅最大,中SDI地区、东亚、高收入亚太地区和赤道几内亚的DALY增幅最大,大洋洲的降幅最大。预测模型预测,从2022年到2046年,发病率、患病率和伤残调整生命年将继续增加。结论:ASD的发病率、患病率和DALYs逐年上升,其中女性和中低收入国家显著上升,加勒比地区下降。基于区域比率的量身定制的筛查和干预措施对于改善自闭症患者的健康至关重要。
本文章由计算机程序翻译,如有差异,请以英文原文为准。

Global and Regional Trends in Autism Burden from 1990 to 2021: A Data Re-Analysis and Prediction from the Global Burden of Disease Study.

Global and Regional Trends in Autism Burden from 1990 to 2021: A Data Re-Analysis and Prediction from the Global Burden of Disease Study.

Global and Regional Trends in Autism Burden from 1990 to 2021: A Data Re-Analysis and Prediction from the Global Burden of Disease Study.

Global and Regional Trends in Autism Burden from 1990 to 2021: A Data Re-Analysis and Prediction from the Global Burden of Disease Study.

Objective: This study aims to investigate global incidence rates and disability-adjusted life-years (DALYs) for autism spectrum disorder (ASD) from 1990 to 2021 and forecast trends for the next 25 years.

Methods: Utilizing data from the Global Burden of Disease (GBD) study, we examined global and country-specific ASD incidence, prevalence, and burden. We also calculated age-standardized prevalence, analyzed by sex, age groups, sociodemographic index (SDI) regions, and GBD regions, and made predictions for the future.

Results: In 2021, the GBD reported global age-standardized ASD incidence and prevalence at 0.019% and 0.788%, respectively. High-income Asia-Pacific had the highest burden, while Tropical Latin America had the lowest. From 1990 to 2021, global age-standardized prevalence rose by 1.95%, and incidence by 5.20%. Females and low-middle SDI regions saw the most significant increases in incidence, while the Caribbean and Serbia saw decreases. High-income Asia Pacific and Japan experienced the largest prevalence increases, and Middle SDI, East Asia, high-income Asia Pacific, and Equatorial Guinea saw the most significant DALY increases, with Oceania showing the largest decrease. Predictive models forecast continued increases in incidence, prevalence, and DALYs from 2022 to 2046.

Conclusion: ASD incidence, prevalence, and DALYs are rising annually, with notable increases in females and middle-low income countries and a decline in the Caribbean. Tailored screening and interventions based on regional rates are essential for improving the health of individuals with autism.

求助全文
通过发布文献求助,成功后即可免费获取论文全文。 去求助
来源期刊
Risk Management and Healthcare Policy
Risk Management and Healthcare Policy Medicine-Public Health, Environmental and Occupational Health
CiteScore
6.20
自引率
2.90%
发文量
242
审稿时长
16 weeks
期刊介绍: Risk Management and Healthcare Policy is an international, peer-reviewed, open access journal focusing on all aspects of public health, policy and preventative measures to promote good health and improve morbidity and mortality in the population. Specific topics covered in the journal include: Public and community health Policy and law Preventative and predictive healthcare Risk and hazard management Epidemiology, detection and screening Lifestyle and diet modification Vaccination and disease transmission/modification programs Health and safety and occupational health Healthcare services provision Health literacy and education Advertising and promotion of health issues Health economic evaluations and resource management Risk Management and Healthcare Policy focuses on human interventional and observational research. The journal welcomes submitted papers covering original research, clinical and epidemiological studies, reviews and evaluations, guidelines, expert opinion and commentary, and extended reports. Case reports will only be considered if they make a valuable and original contribution to the literature. The journal does not accept study protocols, animal-based or cell line-based studies.
×
引用
GB/T 7714-2015
复制
MLA
复制
APA
复制
导出至
BibTeX EndNote RefMan NoteFirst NoteExpress
×
提示
您的信息不完整,为了账户安全,请先补充。
现在去补充
×
提示
您因"违规操作"
具体请查看互助需知
我知道了
×
提示
确定
请完成安全验证×
copy
已复制链接
快去分享给好友吧!
我知道了
右上角分享
点击右上角分享
0
联系我们:info@booksci.cn Book学术提供免费学术资源搜索服务,方便国内外学者检索中英文文献。致力于提供最便捷和优质的服务体验。 Copyright © 2023 布克学术 All rights reserved.
京ICP备2023020795号-1
ghs 京公网安备 11010802042870号
Book学术文献互助
Book学术文献互助群
群 号:604180095
Book学术官方微信