2017年至2021年中国宁夏缺血性脑卒中再入院:回顾性队列研究

IF 1.9 Q3 MEDICINE, RESEARCH & EXPERIMENTAL
Hua Meng, Xingtian Wang, Dongfeng Pan, Xinya Su, Wenwen Lu, Zhuo Liu, Yuhui Geng, Xiaojuan Ma, Ting Pan, Peifeng Liang
{"title":"2017年至2021年中国宁夏缺血性脑卒中再入院:回顾性队列研究","authors":"Hua Meng, Xingtian Wang, Dongfeng Pan, Xinya Su, Wenwen Lu, Zhuo Liu, Yuhui Geng, Xiaojuan Ma, Ting Pan, Peifeng Liang","doi":"10.2196/67522","DOIUrl":null,"url":null,"abstract":"<p><strong>Background: </strong>Stroke remains a major cause of death and disability worldwide. Ischemic stroke is the most common type of stroke. Readmissions after hospitalization increase the patient burden and waste health resources.</p><p><strong>Objective: </strong>This study aimed to calculate rehospitalization rates and explore risk factors associated with rehospitalization in ischemic stroke.</p><p><strong>Methods: </strong>In this retrospective cohort study, we identified 12,782 patients admitted for ischemic stroke at People's Hospital of Ningxia Hui Autonomous Region between January 2017 and December 2021. Groups were determined based on the ID number. The most important factors were selected using the Least Absolute Shrinkage and Selection Operator regression model. Stabilized inverse probability of treatment weighting (SIPTW) was used to correct baseline imbalances between groups. The adjusted hazard ratios and Kaplan-Meier survival curves of significant factors after SIPTW were calculated using stepwise backward Cox regression.</p><p><strong>Results: </strong>A total of 10,727 patients were included in the study. Among them, 12.7% and 7.2% were readmitted within 5 years and 1 year, respectively. Stepwise backward Cox analysis of SIPTW showed that diabetes was the influencing factor for rehospitalization within 5 years (1.15, 1.02-1.30) and 1 year (1.21, 1.03-1.43). Additionally, the female gender was identified as a protective factor against readmission within 5 years (0.83, 0.74-0.93).</p><p><strong>Conclusions: </strong>Although the rate of rehospitalization varied among patients with ischemic stroke at different time points, the significant factors remained consistent. Therefore, early prevention and treatment methods may be consistent.</p>","PeriodicalId":51757,"journal":{"name":"Interactive Journal of Medical Research","volume":"14 ","pages":"e67522"},"PeriodicalIF":1.9000,"publicationDate":"2025-07-03","publicationTypes":"Journal Article","fieldsOfStudy":null,"isOpenAccess":false,"openAccessPdf":"https://www.ncbi.nlm.nih.gov/pmc/articles/PMC12244268/pdf/","citationCount":"0","resultStr":"{\"title\":\"Readmission After Ischemic Stroke in Ningxia, China, From 2017 to 2021: Retrospective Cohort Study.\",\"authors\":\"Hua Meng, Xingtian Wang, Dongfeng Pan, Xinya Su, Wenwen Lu, Zhuo Liu, Yuhui Geng, Xiaojuan Ma, Ting Pan, Peifeng Liang\",\"doi\":\"10.2196/67522\",\"DOIUrl\":null,\"url\":null,\"abstract\":\"<p><strong>Background: </strong>Stroke remains a major cause of death and disability worldwide. Ischemic stroke is the most common type of stroke. Readmissions after hospitalization increase the patient burden and waste health resources.</p><p><strong>Objective: </strong>This study aimed to calculate rehospitalization rates and explore risk factors associated with rehospitalization in ischemic stroke.</p><p><strong>Methods: </strong>In this retrospective cohort study, we identified 12,782 patients admitted for ischemic stroke at People's Hospital of Ningxia Hui Autonomous Region between January 2017 and December 2021. Groups were determined based on the ID number. The most important factors were selected using the Least Absolute Shrinkage and Selection Operator regression model. Stabilized inverse probability of treatment weighting (SIPTW) was used to correct baseline imbalances between groups. The adjusted hazard ratios and Kaplan-Meier survival curves of significant factors after SIPTW were calculated using stepwise backward Cox regression.</p><p><strong>Results: </strong>A total of 10,727 patients were included in the study. Among them, 12.7% and 7.2% were readmitted within 5 years and 1 year, respectively. Stepwise backward Cox analysis of SIPTW showed that diabetes was the influencing factor for rehospitalization within 5 years (1.15, 1.02-1.30) and 1 year (1.21, 1.03-1.43). Additionally, the female gender was identified as a protective factor against readmission within 5 years (0.83, 0.74-0.93).</p><p><strong>Conclusions: </strong>Although the rate of rehospitalization varied among patients with ischemic stroke at different time points, the significant factors remained consistent. Therefore, early prevention and treatment methods may be consistent.</p>\",\"PeriodicalId\":51757,\"journal\":{\"name\":\"Interactive Journal of Medical Research\",\"volume\":\"14 \",\"pages\":\"e67522\"},\"PeriodicalIF\":1.9000,\"publicationDate\":\"2025-07-03\",\"publicationTypes\":\"Journal Article\",\"fieldsOfStudy\":null,\"isOpenAccess\":false,\"openAccessPdf\":\"https://www.ncbi.nlm.nih.gov/pmc/articles/PMC12244268/pdf/\",\"citationCount\":\"0\",\"resultStr\":null,\"platform\":\"Semanticscholar\",\"paperid\":null,\"PeriodicalName\":\"Interactive Journal of Medical Research\",\"FirstCategoryId\":\"1085\",\"ListUrlMain\":\"https://doi.org/10.2196/67522\",\"RegionNum\":0,\"RegionCategory\":null,\"ArticlePicture\":[],\"TitleCN\":null,\"AbstractTextCN\":null,\"PMCID\":null,\"EPubDate\":\"\",\"PubModel\":\"\",\"JCR\":\"Q3\",\"JCRName\":\"MEDICINE, RESEARCH & EXPERIMENTAL\",\"Score\":null,\"Total\":0}","platform":"Semanticscholar","paperid":null,"PeriodicalName":"Interactive Journal of Medical Research","FirstCategoryId":"1085","ListUrlMain":"https://doi.org/10.2196/67522","RegionNum":0,"RegionCategory":null,"ArticlePicture":[],"TitleCN":null,"AbstractTextCN":null,"PMCID":null,"EPubDate":"","PubModel":"","JCR":"Q3","JCRName":"MEDICINE, RESEARCH & EXPERIMENTAL","Score":null,"Total":0}
引用次数: 0

摘要

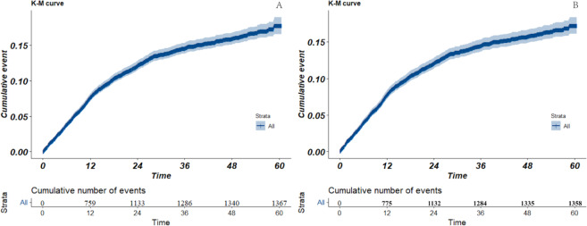
背景:中风仍然是世界范围内死亡和残疾的主要原因。缺血性中风是最常见的中风类型。住院后再入院增加了患者负担,浪费了卫生资源。目的:计算缺血性脑卒中患者再住院率,探讨再住院的相关危险因素。方法:在这项回顾性队列研究中,我们确定了2017年1月至2021年12月在宁夏回族自治区人民医院收治的12782例缺血性脑卒中患者。分组是根据ID号确定的。使用最小绝对收缩和选择算子回归模型选择最重要的因素。治疗加权稳定逆概率(SIPTW)用于纠正组间基线不平衡。采用逐步后向Cox回归计算SIPTW后显著因素的校正风险比和Kaplan-Meier生存曲线。结果:研究共纳入10727例患者。其中,5年内和1年内再次入境的分别占12.7%和7.2%。SIPTW的逐步后向Cox分析显示,糖尿病是5年内(1.15,1.02-1.30)和1年内(1.21,1.03-1.43)再住院的影响因素。此外,女性性别被认为是5年内再入院的保护因素(0.83,0.74-0.93)。结论:虽然不同时间点缺血性脑卒中患者的再住院率存在差异,但显著性因素是一致的。因此,早期预防和治疗方法可能是一致的。
本文章由计算机程序翻译,如有差异,请以英文原文为准。

Readmission After Ischemic Stroke in Ningxia, China, From 2017 to 2021: Retrospective Cohort Study.

Readmission After Ischemic Stroke in Ningxia, China, From 2017 to 2021: Retrospective Cohort Study.

Readmission After Ischemic Stroke in Ningxia, China, From 2017 to 2021: Retrospective Cohort Study.

Readmission After Ischemic Stroke in Ningxia, China, From 2017 to 2021: Retrospective Cohort Study.

Background: Stroke remains a major cause of death and disability worldwide. Ischemic stroke is the most common type of stroke. Readmissions after hospitalization increase the patient burden and waste health resources.

Objective: This study aimed to calculate rehospitalization rates and explore risk factors associated with rehospitalization in ischemic stroke.

Methods: In this retrospective cohort study, we identified 12,782 patients admitted for ischemic stroke at People's Hospital of Ningxia Hui Autonomous Region between January 2017 and December 2021. Groups were determined based on the ID number. The most important factors were selected using the Least Absolute Shrinkage and Selection Operator regression model. Stabilized inverse probability of treatment weighting (SIPTW) was used to correct baseline imbalances between groups. The adjusted hazard ratios and Kaplan-Meier survival curves of significant factors after SIPTW were calculated using stepwise backward Cox regression.

Results: A total of 10,727 patients were included in the study. Among them, 12.7% and 7.2% were readmitted within 5 years and 1 year, respectively. Stepwise backward Cox analysis of SIPTW showed that diabetes was the influencing factor for rehospitalization within 5 years (1.15, 1.02-1.30) and 1 year (1.21, 1.03-1.43). Additionally, the female gender was identified as a protective factor against readmission within 5 years (0.83, 0.74-0.93).

Conclusions: Although the rate of rehospitalization varied among patients with ischemic stroke at different time points, the significant factors remained consistent. Therefore, early prevention and treatment methods may be consistent.

求助全文
通过发布文献求助,成功后即可免费获取论文全文。 去求助
来源期刊
Interactive Journal of Medical Research
Interactive Journal of Medical Research MEDICINE, RESEARCH & EXPERIMENTAL-
自引率
0.00%
发文量
45
审稿时长
12 weeks
×
引用
GB/T 7714-2015
复制
MLA
复制
APA
复制
导出至
BibTeX EndNote RefMan NoteFirst NoteExpress
×
提示
您的信息不完整,为了账户安全,请先补充。
现在去补充
×
提示
您因"违规操作"
具体请查看互助需知
我知道了
×
提示
确定
请完成安全验证×
copy
已复制链接
快去分享给好友吧!
我知道了
右上角分享
点击右上角分享
0
联系我们:info@booksci.cn Book学术提供免费学术资源搜索服务,方便国内外学者检索中英文文献。致力于提供最便捷和优质的服务体验。 Copyright © 2023 布克学术 All rights reserved.
京ICP备2023020795号-1
ghs 京公网安备 11010802042870号
Book学术文献互助
Book学术文献互助群
群 号:604180095
Book学术官方微信