老年人慢性肾病:2012 - 2018年患病率和医疗服务质量趋势

IF 4.6 2区 医学 Q1 UROLOGY & NEPHROLOGY
Clinical Kidney Journal Pub Date : 2025-06-14 eCollection Date: 2025-07-01 DOI:10.1093/ckj/sfaf180
Tim Bothe, Elke Schaeffner, Anna Pöhlmann, Anne-Katrin Fietz, Julia Freitag, Nina Mielke, Jean-François Chenot, Muhammad Helmi Barghouth, Elizabeth Mathias, Simone Kiel, Natalie Ebert
{"title":"老年人慢性肾病:2012 - 2018年患病率和医疗服务质量趋势","authors":"Tim Bothe, Elke Schaeffner, Anna Pöhlmann, Anne-Katrin Fietz, Julia Freitag, Nina Mielke, Jean-François Chenot, Muhammad Helmi Barghouth, Elizabeth Mathias, Simone Kiel, Natalie Ebert","doi":"10.1093/ckj/sfaf180","DOIUrl":null,"url":null,"abstract":"<p><strong>Background: </strong>Data on the healthcare service quality for patients with chronic kidney disease (CKD) are vital for guiding practitioners, patients and healthcare policy makers. We examined new quality indicators for outpatient diagnostics and treatments in older patients with CKD, focusing on trends between 2012 and 2018.</p><p><strong>Methods: </strong>The study included cross-sectional German statutory health insurance claims data from four independent random samples (2012, 2014, 2016, 2018), each with 62 200 individuals aged ≥70 years. We analyzed coded CKD prevalence and incidence, non-recommended drug prescriptions (dual prescriptions of angiotensin-converting enzyme inhibitors with angiotensin II receptor blockers; non-steroidal anti-inflammatory drugs in CKD stage 4-5), as well as albumin/creatinine ratio (ACR) and dipstick testing in incident CKD cases.</p><p><strong>Results: </strong>After standardization, the samples included 58.4%-59.3% females, and mean ages ranging from 77.4 to 78.9 years. CKD prevalence increased from 17.8% [95% confidence interval (CI) 17.5; 18.1] in 2012 to 25.7% (95% CI 25.4; 26.1) in 2018. CKD incidence rose slightly from 6.4% (95% CI 6.2; 6.6) to 7.6% (95% CI 7.4; 7.9). Non-recommended drug prescriptions, which were below 5% in 2012, decreased by more than half by 2018. ACR and dipstick testing varied inconsistently over time, ranging from 11.4% to 13.5% and 55.4% to 57.2%, respectively.</p><p><strong>Conclusions: </strong>CKD prevalence in older adults in Germany rose by eight percentage points from 2012 to 2018 while prescriptions of non-recommended drugs decreased in patients with CKD, indicating better diagnosis and guideline adherence. However, ACR and dipstick diagnostic was alarmingly low, and remained below recommended levels outside kidney specialist care, showing areas for improvement.</p>","PeriodicalId":10435,"journal":{"name":"Clinical Kidney Journal","volume":"18 7","pages":"sfaf180"},"PeriodicalIF":4.6000,"publicationDate":"2025-06-14","publicationTypes":"Journal Article","fieldsOfStudy":null,"isOpenAccess":false,"openAccessPdf":"https://www.ncbi.nlm.nih.gov/pmc/articles/PMC12223366/pdf/","citationCount":"0","resultStr":"{\"title\":\"Chronic kidney disease in older adults: trends in prevalence and healthcare service quality from 2012 to 2018.\",\"authors\":\"Tim Bothe, Elke Schaeffner, Anna Pöhlmann, Anne-Katrin Fietz, Julia Freitag, Nina Mielke, Jean-François Chenot, Muhammad Helmi Barghouth, Elizabeth Mathias, Simone Kiel, Natalie Ebert\",\"doi\":\"10.1093/ckj/sfaf180\",\"DOIUrl\":null,\"url\":null,\"abstract\":\"<p><strong>Background: </strong>Data on the healthcare service quality for patients with chronic kidney disease (CKD) are vital for guiding practitioners, patients and healthcare policy makers. We examined new quality indicators for outpatient diagnostics and treatments in older patients with CKD, focusing on trends between 2012 and 2018.</p><p><strong>Methods: </strong>The study included cross-sectional German statutory health insurance claims data from four independent random samples (2012, 2014, 2016, 2018), each with 62 200 individuals aged ≥70 years. We analyzed coded CKD prevalence and incidence, non-recommended drug prescriptions (dual prescriptions of angiotensin-converting enzyme inhibitors with angiotensin II receptor blockers; non-steroidal anti-inflammatory drugs in CKD stage 4-5), as well as albumin/creatinine ratio (ACR) and dipstick testing in incident CKD cases.</p><p><strong>Results: </strong>After standardization, the samples included 58.4%-59.3% females, and mean ages ranging from 77.4 to 78.9 years. CKD prevalence increased from 17.8% [95% confidence interval (CI) 17.5; 18.1] in 2012 to 25.7% (95% CI 25.4; 26.1) in 2018. CKD incidence rose slightly from 6.4% (95% CI 6.2; 6.6) to 7.6% (95% CI 7.4; 7.9). Non-recommended drug prescriptions, which were below 5% in 2012, decreased by more than half by 2018. ACR and dipstick testing varied inconsistently over time, ranging from 11.4% to 13.5% and 55.4% to 57.2%, respectively.</p><p><strong>Conclusions: </strong>CKD prevalence in older adults in Germany rose by eight percentage points from 2012 to 2018 while prescriptions of non-recommended drugs decreased in patients with CKD, indicating better diagnosis and guideline adherence. However, ACR and dipstick diagnostic was alarmingly low, and remained below recommended levels outside kidney specialist care, showing areas for improvement.</p>\",\"PeriodicalId\":10435,\"journal\":{\"name\":\"Clinical Kidney Journal\",\"volume\":\"18 7\",\"pages\":\"sfaf180\"},\"PeriodicalIF\":4.6000,\"publicationDate\":\"2025-06-14\",\"publicationTypes\":\"Journal Article\",\"fieldsOfStudy\":null,\"isOpenAccess\":false,\"openAccessPdf\":\"https://www.ncbi.nlm.nih.gov/pmc/articles/PMC12223366/pdf/\",\"citationCount\":\"0\",\"resultStr\":null,\"platform\":\"Semanticscholar\",\"paperid\":null,\"PeriodicalName\":\"Clinical Kidney Journal\",\"FirstCategoryId\":\"3\",\"ListUrlMain\":\"https://doi.org/10.1093/ckj/sfaf180\",\"RegionNum\":2,\"RegionCategory\":\"医学\",\"ArticlePicture\":[],\"TitleCN\":null,\"AbstractTextCN\":null,\"PMCID\":null,\"EPubDate\":\"2025/7/1 0:00:00\",\"PubModel\":\"eCollection\",\"JCR\":\"Q1\",\"JCRName\":\"UROLOGY & NEPHROLOGY\",\"Score\":null,\"Total\":0}","platform":"Semanticscholar","paperid":null,"PeriodicalName":"Clinical Kidney Journal","FirstCategoryId":"3","ListUrlMain":"https://doi.org/10.1093/ckj/sfaf180","RegionNum":2,"RegionCategory":"医学","ArticlePicture":[],"TitleCN":null,"AbstractTextCN":null,"PMCID":null,"EPubDate":"2025/7/1 0:00:00","PubModel":"eCollection","JCR":"Q1","JCRName":"UROLOGY & NEPHROLOGY","Score":null,"Total":0}
引用次数: 0

摘要

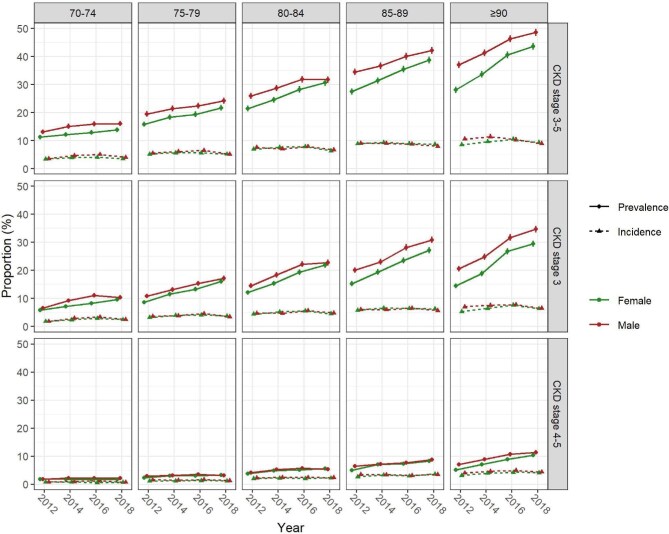
背景:慢性肾脏疾病(CKD)患者的医疗服务质量数据对指导医生、患者和医疗保健决策者至关重要。我们研究了老年CKD患者门诊诊断和治疗的新质量指标,重点关注2012年至2018年的趋势。方法:研究纳入了四个独立随机样本(2012年、2014年、2016年和2018年)的德国法定健康保险索赔数据,每个样本的年龄≥70岁的个体为6200人。我们分析了编码的CKD患病率和发病率,非推荐的药物处方(血管紧张素转换酶抑制剂与血管紧张素II受体阻滞剂的双重处方;非甾体抗炎药(4-5期CKD),以及白蛋白/肌酐比(ACR)和试纸测试在突发CKD病例。结果:经标准化后,样本中女性占58.4% ~ 59.3%,平均年龄77.4 ~ 78.9岁。CKD患病率从17.8%上升[95%可信区间(CI) 17.5;18.1]至25.7% (95% CI 25.4;26.1) 2018年。CKD发病率从6.4%略微上升(95% CI 6.2;6.6)至7.6% (95% CI 7.4;7.9)。非推荐药物处方在2012年低于5%,到2018年减少了一半以上。ACR和试纸测试随时间变化不一致,分别为11.4%至13.5%和55.4%至57.2%。结论:从2012年到2018年,德国老年人CKD患病率上升了8个百分点,而CKD患者的非推荐药物处方减少,表明更好的诊断和指南依从性。然而,ACR和试纸诊断的水平低得惊人,在肾脏专科护理之外仍低于推荐水平,显示出有待改进的领域。
本文章由计算机程序翻译,如有差异,请以英文原文为准。

Chronic kidney disease in older adults: trends in prevalence and healthcare service quality from 2012 to 2018.

Chronic kidney disease in older adults: trends in prevalence and healthcare service quality from 2012 to 2018.

Chronic kidney disease in older adults: trends in prevalence and healthcare service quality from 2012 to 2018.

Chronic kidney disease in older adults: trends in prevalence and healthcare service quality from 2012 to 2018.

Background: Data on the healthcare service quality for patients with chronic kidney disease (CKD) are vital for guiding practitioners, patients and healthcare policy makers. We examined new quality indicators for outpatient diagnostics and treatments in older patients with CKD, focusing on trends between 2012 and 2018.

Methods: The study included cross-sectional German statutory health insurance claims data from four independent random samples (2012, 2014, 2016, 2018), each with 62 200 individuals aged ≥70 years. We analyzed coded CKD prevalence and incidence, non-recommended drug prescriptions (dual prescriptions of angiotensin-converting enzyme inhibitors with angiotensin II receptor blockers; non-steroidal anti-inflammatory drugs in CKD stage 4-5), as well as albumin/creatinine ratio (ACR) and dipstick testing in incident CKD cases.

Results: After standardization, the samples included 58.4%-59.3% females, and mean ages ranging from 77.4 to 78.9 years. CKD prevalence increased from 17.8% [95% confidence interval (CI) 17.5; 18.1] in 2012 to 25.7% (95% CI 25.4; 26.1) in 2018. CKD incidence rose slightly from 6.4% (95% CI 6.2; 6.6) to 7.6% (95% CI 7.4; 7.9). Non-recommended drug prescriptions, which were below 5% in 2012, decreased by more than half by 2018. ACR and dipstick testing varied inconsistently over time, ranging from 11.4% to 13.5% and 55.4% to 57.2%, respectively.

Conclusions: CKD prevalence in older adults in Germany rose by eight percentage points from 2012 to 2018 while prescriptions of non-recommended drugs decreased in patients with CKD, indicating better diagnosis and guideline adherence. However, ACR and dipstick diagnostic was alarmingly low, and remained below recommended levels outside kidney specialist care, showing areas for improvement.

求助全文
通过发布文献求助,成功后即可免费获取论文全文。 去求助
来源期刊
Clinical Kidney Journal
Clinical Kidney Journal Medicine-Transplantation
CiteScore
6.70
自引率
10.90%
发文量
242
审稿时长
8 weeks
期刊介绍: About the Journal Clinical Kidney Journal: Clinical and Translational Nephrology (ckj), an official journal of the ERA-EDTA (European Renal Association-European Dialysis and Transplant Association), is a fully open access, online only journal publishing bimonthly. The journal is an essential educational and training resource integrating clinical, translational and educational research into clinical practice. ckj aims to contribute to a translational research culture among nephrologists and kidney pathologists that helps close the gap between basic researchers and practicing clinicians and promote sorely needed innovation in the Nephrology field. All research articles in this journal have undergone peer review.
×
引用
GB/T 7714-2015
复制
MLA
复制
APA
复制
导出至
BibTeX EndNote RefMan NoteFirst NoteExpress
×
提示
您的信息不完整,为了账户安全,请先补充。
现在去补充
×
提示
您因"违规操作"
具体请查看互助需知
我知道了
×
提示
确定
请完成安全验证×
copy
已复制链接
快去分享给好友吧!
我知道了
右上角分享
点击右上角分享
0
联系我们:info@booksci.cn Book学术提供免费学术资源搜索服务,方便国内外学者检索中英文文献。致力于提供最便捷和优质的服务体验。 Copyright © 2023 布克学术 All rights reserved.
京ICP备2023020795号-1
ghs 京公网安备 11010802042870号
Book学术文献互助
Book学术文献互助群
群 号:604180095
Book学术官方微信