中国浙江省健康成人外周血自然杀伤细胞、单核细胞和树突状细胞亚群的参考区间

IF 2.7 4区 医学 Q3 IMMUNOLOGY
Longyi Zhang, Xuya Chen, Rui Xing, Yan Lu
{"title":"中国浙江省健康成人外周血自然杀伤细胞、单核细胞和树突状细胞亚群的参考区间","authors":"Longyi Zhang, Xuya Chen, Rui Xing, Yan Lu","doi":"10.1186/s12865-025-00731-6","DOIUrl":null,"url":null,"abstract":"","PeriodicalId":9040,"journal":{"name":"BMC Immunology","volume":"26 1","pages":"47"},"PeriodicalIF":2.7000,"publicationDate":"2025-07-04","publicationTypes":"Journal Article","fieldsOfStudy":null,"isOpenAccess":false,"openAccessPdf":"https://www.ncbi.nlm.nih.gov/pmc/articles/PMC12231752/pdf/","citationCount":"0","resultStr":"{\"title\":\"Reference intervals for peripheral blood natural killer cell, monocyte, and dendritic cell subsets in healthy adults from Zhejiang province, China.\",\"authors\":\"Longyi Zhang, Xuya Chen, Rui Xing, Yan Lu\",\"doi\":\"10.1186/s12865-025-00731-6\",\"DOIUrl\":null,\"url\":null,\"abstract\":\"\",\"PeriodicalId\":9040,\"journal\":{\"name\":\"BMC Immunology\",\"volume\":\"26 1\",\"pages\":\"47\"},\"PeriodicalIF\":2.7000,\"publicationDate\":\"2025-07-04\",\"publicationTypes\":\"Journal Article\",\"fieldsOfStudy\":null,\"isOpenAccess\":false,\"openAccessPdf\":\"https://www.ncbi.nlm.nih.gov/pmc/articles/PMC12231752/pdf/\",\"citationCount\":\"0\",\"resultStr\":null,\"platform\":\"Semanticscholar\",\"paperid\":null,\"PeriodicalName\":\"BMC Immunology\",\"FirstCategoryId\":\"3\",\"ListUrlMain\":\"https://doi.org/10.1186/s12865-025-00731-6\",\"RegionNum\":4,\"RegionCategory\":\"医学\",\"ArticlePicture\":[],\"TitleCN\":null,\"AbstractTextCN\":null,\"PMCID\":null,\"EPubDate\":\"\",\"PubModel\":\"\",\"JCR\":\"Q3\",\"JCRName\":\"IMMUNOLOGY\",\"Score\":null,\"Total\":0}","platform":"Semanticscholar","paperid":null,"PeriodicalName":"BMC Immunology","FirstCategoryId":"3","ListUrlMain":"https://doi.org/10.1186/s12865-025-00731-6","RegionNum":4,"RegionCategory":"医学","ArticlePicture":[],"TitleCN":null,"AbstractTextCN":null,"PMCID":null,"EPubDate":"","PubModel":"","JCR":"Q3","JCRName":"IMMUNOLOGY","Score":null,"Total":0}
引用次数: 0

摘要

本文章由计算机程序翻译,如有差异,请以英文原文为准。

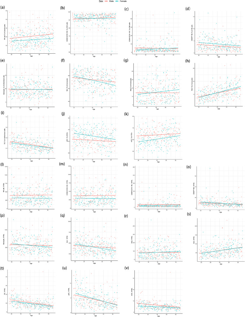
Reference intervals for peripheral blood natural killer cell, monocyte, and dendritic cell subsets in healthy adults from Zhejiang province, China.

Reference intervals for peripheral blood natural killer cell, monocyte, and dendritic cell subsets in healthy adults from Zhejiang province, China.
求助全文
通过发布文献求助,成功后即可免费获取论文全文。 去求助
来源期刊
BMC Immunology
BMC Immunology 医学-免疫学
CiteScore
5.50
自引率
0.00%
发文量
54
审稿时长
1 months
期刊介绍: BMC Immunology is an open access journal publishing original peer-reviewed research articles in molecular, cellular, tissue-level, organismal, functional, and developmental aspects of the immune system as well as clinical studies and animal models of human diseases.
×
引用
GB/T 7714-2015
复制
MLA
复制
APA
复制
导出至
BibTeX EndNote RefMan NoteFirst NoteExpress
×
提示
您的信息不完整,为了账户安全,请先补充。
现在去补充
×
提示
您因"违规操作"
具体请查看互助需知
我知道了
×
提示
确定
请完成安全验证×
copy
已复制链接
快去分享给好友吧!
我知道了
右上角分享
点击右上角分享
0
联系我们:info@booksci.cn Book学术提供免费学术资源搜索服务,方便国内外学者检索中英文文献。致力于提供最便捷和优质的服务体验。 Copyright © 2023 布克学术 All rights reserved.
京ICP备2023020795号-1
ghs 京公网安备 11010802042870号
Book学术文献互助
Book学术文献互助群
群 号:604180095
Book学术官方微信