瘢痕疙瘩与精神障碍之间的关系:来自遗传证据的观点。

IF 3.6 3区 医学 Q1 PSYCHIATRY
Ying Zhan, Yanan Tong, Xiaodan Wu, Zhiguo Wang, Guoxu Zhang
{"title":"瘢痕疙瘩与精神障碍之间的关系:来自遗传证据的观点。","authors":"Ying Zhan, Yanan Tong, Xiaodan Wu, Zhiguo Wang, Guoxu Zhang","doi":"10.1186/s12991-025-00579-5","DOIUrl":null,"url":null,"abstract":"<p><strong>Background: </strong>The causal relationship between keloid and mental disorders remains unclear. The aim of this study was to investigate whether keloid was causally associated with the risk of bipolar disorder (BD), anxiety, schizophrenia (SCZ), major depressive disorder (MDD) and post-traumatic stress disorder (PTSD) using a bidirectional Mendelian randomization (MR) analysis.</p><p><strong>Methods: </strong>The large available genome-wide association study (GWAS) dataset of keloid, BD, anxiety, SCZ, MDD and PTSD was used for summary statistics. The bidirectional MR analyses were performed using a variety of methods of analysis including inverse variance weighting, MR-Egger regression, weighted median, simple modal and weighted modal methods. Sensitivity analyses were conducted using Cochran's Q to estimate heterogeneity, and the MR-Egger method was used to estimate horizontal pleiotropy.</p><p><strong>Results: </strong>MR analysis showed that keloid susceptibility was associated with an increased risk of BD (OR = 1.027, 95% CI: 1.005-1.049, p = 0.015) and SCZ (OR = 1.023 (95% CI: 1.006-1.040, p = 0.006). We also observed a negative association between keloid and PTSD (OR = 0.903, 95% CI: [0.835-0.977], p = 0.011). There was no evidence for a causal relationship between keloid and anxiety (OR = 0.982, 95% CI: 0.961-1.004, p = 0.110) and MDD (OR = 0.997, 95% CI: 0.987-1.006, p = 0.476). Reverse MR analysis revealed that there was no causal relationship between keloid and the mental disorders.</p><p><strong>Conclusion: </strong>This study provides evidence that there is a link between BD, SCZ, PTSD and keloid. However, there was no causal relationship between anxiety, MDD and keloid. This study may provide important clues and references for the study of keloid and mental disorders. We urge that the mental conditions of keloid patients should be taken into account in clinical practice and that necessary psychological support should be provided.</p>","PeriodicalId":7942,"journal":{"name":"Annals of General Psychiatry","volume":"24 1","pages":"42"},"PeriodicalIF":3.6000,"publicationDate":"2025-07-03","publicationTypes":"Journal Article","fieldsOfStudy":null,"isOpenAccess":false,"openAccessPdf":"https://www.ncbi.nlm.nih.gov/pmc/articles/PMC12224494/pdf/","citationCount":"0","resultStr":"{\"title\":\"Association between keloid and mental disorders: perspective from genetic evidence.\",\"authors\":\"Ying Zhan, Yanan Tong, Xiaodan Wu, Zhiguo Wang, Guoxu Zhang\",\"doi\":\"10.1186/s12991-025-00579-5\",\"DOIUrl\":null,\"url\":null,\"abstract\":\"<p><strong>Background: </strong>The causal relationship between keloid and mental disorders remains unclear. The aim of this study was to investigate whether keloid was causally associated with the risk of bipolar disorder (BD), anxiety, schizophrenia (SCZ), major depressive disorder (MDD) and post-traumatic stress disorder (PTSD) using a bidirectional Mendelian randomization (MR) analysis.</p><p><strong>Methods: </strong>The large available genome-wide association study (GWAS) dataset of keloid, BD, anxiety, SCZ, MDD and PTSD was used for summary statistics. The bidirectional MR analyses were performed using a variety of methods of analysis including inverse variance weighting, MR-Egger regression, weighted median, simple modal and weighted modal methods. Sensitivity analyses were conducted using Cochran's Q to estimate heterogeneity, and the MR-Egger method was used to estimate horizontal pleiotropy.</p><p><strong>Results: </strong>MR analysis showed that keloid susceptibility was associated with an increased risk of BD (OR = 1.027, 95% CI: 1.005-1.049, p = 0.015) and SCZ (OR = 1.023 (95% CI: 1.006-1.040, p = 0.006). We also observed a negative association between keloid and PTSD (OR = 0.903, 95% CI: [0.835-0.977], p = 0.011). There was no evidence for a causal relationship between keloid and anxiety (OR = 0.982, 95% CI: 0.961-1.004, p = 0.110) and MDD (OR = 0.997, 95% CI: 0.987-1.006, p = 0.476). Reverse MR analysis revealed that there was no causal relationship between keloid and the mental disorders.</p><p><strong>Conclusion: </strong>This study provides evidence that there is a link between BD, SCZ, PTSD and keloid. However, there was no causal relationship between anxiety, MDD and keloid. This study may provide important clues and references for the study of keloid and mental disorders. We urge that the mental conditions of keloid patients should be taken into account in clinical practice and that necessary psychological support should be provided.</p>\",\"PeriodicalId\":7942,\"journal\":{\"name\":\"Annals of General Psychiatry\",\"volume\":\"24 1\",\"pages\":\"42\"},\"PeriodicalIF\":3.6000,\"publicationDate\":\"2025-07-03\",\"publicationTypes\":\"Journal Article\",\"fieldsOfStudy\":null,\"isOpenAccess\":false,\"openAccessPdf\":\"https://www.ncbi.nlm.nih.gov/pmc/articles/PMC12224494/pdf/\",\"citationCount\":\"0\",\"resultStr\":null,\"platform\":\"Semanticscholar\",\"paperid\":null,\"PeriodicalName\":\"Annals of General Psychiatry\",\"FirstCategoryId\":\"3\",\"ListUrlMain\":\"https://doi.org/10.1186/s12991-025-00579-5\",\"RegionNum\":3,\"RegionCategory\":\"医学\",\"ArticlePicture\":[],\"TitleCN\":null,\"AbstractTextCN\":null,\"PMCID\":null,\"EPubDate\":\"\",\"PubModel\":\"\",\"JCR\":\"Q1\",\"JCRName\":\"PSYCHIATRY\",\"Score\":null,\"Total\":0}","platform":"Semanticscholar","paperid":null,"PeriodicalName":"Annals of General Psychiatry","FirstCategoryId":"3","ListUrlMain":"https://doi.org/10.1186/s12991-025-00579-5","RegionNum":3,"RegionCategory":"医学","ArticlePicture":[],"TitleCN":null,"AbstractTextCN":null,"PMCID":null,"EPubDate":"","PubModel":"","JCR":"Q1","JCRName":"PSYCHIATRY","Score":null,"Total":0}
引用次数: 0

摘要

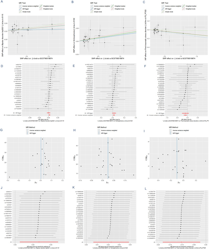
背景:瘢痕疙瘩与精神障碍之间的因果关系尚不清楚。本研究的目的是通过双向孟德尔随机化(MR)分析,探讨瘢痕瘤是否与双相情感障碍(BD)、焦虑、精神分裂症(SCZ)、重度抑郁症(MDD)和创伤后应激障碍(PTSD)的风险存在因果关系。方法:利用现有的瘢痕疙瘩、双相障碍、焦虑、SCZ、重度抑郁症和创伤后应激障碍的全基因组关联研究(GWAS)数据集进行汇总统计。双向磁共振分析采用多种分析方法,包括方差逆加权、MR- egger回归、加权中位数、简单模态和加权模态方法。采用Cochran’s Q进行敏感性分析以估计异质性,采用MR-Egger方法估计水平多效性。结果:磁共振分析显示,瘢痕疙瘩易感性与BD (OR = 1.027, 95% CI: 1.005-1.049, p = 0.015)和SCZ (OR = 1.023, 95% CI: 1.006-1.040, p = 0.006)的风险增加相关。我们还观察到瘢痕疙瘩与创伤后应激障碍呈负相关(OR = 0.903, 95% CI: [0.835-0.977], p = 0.011)。瘢痕疙瘩与焦虑(OR = 0.982, 95% CI: 0.961-1.004, p = 0.110)和MDD (OR = 0.997, 95% CI: 0.987-1.006, p = 0.476)之间没有因果关系。反向磁共振分析显示瘢痕疙瘩与精神障碍之间没有因果关系。结论:本研究为双相障碍、SCZ、创伤后应激障碍与瘢痕疙瘩之间存在联系提供了证据。然而,焦虑、重度抑郁症和瘢痕疙瘩之间没有因果关系。本研究可为瘢痕疙瘩与精神障碍的研究提供重要线索和参考。我们呼吁在临床实践中应考虑到瘢痕疙瘩患者的精神状况,并提供必要的心理支持。
本文章由计算机程序翻译,如有差异,请以英文原文为准。

Association between keloid and mental disorders: perspective from genetic evidence.

Association between keloid and mental disorders: perspective from genetic evidence.

Association between keloid and mental disorders: perspective from genetic evidence.

Association between keloid and mental disorders: perspective from genetic evidence.

Background: The causal relationship between keloid and mental disorders remains unclear. The aim of this study was to investigate whether keloid was causally associated with the risk of bipolar disorder (BD), anxiety, schizophrenia (SCZ), major depressive disorder (MDD) and post-traumatic stress disorder (PTSD) using a bidirectional Mendelian randomization (MR) analysis.

Methods: The large available genome-wide association study (GWAS) dataset of keloid, BD, anxiety, SCZ, MDD and PTSD was used for summary statistics. The bidirectional MR analyses were performed using a variety of methods of analysis including inverse variance weighting, MR-Egger regression, weighted median, simple modal and weighted modal methods. Sensitivity analyses were conducted using Cochran's Q to estimate heterogeneity, and the MR-Egger method was used to estimate horizontal pleiotropy.

Results: MR analysis showed that keloid susceptibility was associated with an increased risk of BD (OR = 1.027, 95% CI: 1.005-1.049, p = 0.015) and SCZ (OR = 1.023 (95% CI: 1.006-1.040, p = 0.006). We also observed a negative association between keloid and PTSD (OR = 0.903, 95% CI: [0.835-0.977], p = 0.011). There was no evidence for a causal relationship between keloid and anxiety (OR = 0.982, 95% CI: 0.961-1.004, p = 0.110) and MDD (OR = 0.997, 95% CI: 0.987-1.006, p = 0.476). Reverse MR analysis revealed that there was no causal relationship between keloid and the mental disorders.

Conclusion: This study provides evidence that there is a link between BD, SCZ, PTSD and keloid. However, there was no causal relationship between anxiety, MDD and keloid. This study may provide important clues and references for the study of keloid and mental disorders. We urge that the mental conditions of keloid patients should be taken into account in clinical practice and that necessary psychological support should be provided.

求助全文
通过发布文献求助,成功后即可免费获取论文全文。 去求助
来源期刊
CiteScore
6.60
自引率
2.70%
发文量
43
审稿时长
>12 weeks
期刊介绍: Annals of General Psychiatry considers manuscripts on all aspects of psychiatry, including neuroscience and psychological medicine. Both basic and clinical neuroscience contributions are encouraged. Annals of General Psychiatry emphasizes a biopsychosocial approach to illness and health and strongly supports and follows the principles of evidence-based medicine. As an open access journal, Annals of General Psychiatry facilitates the worldwide distribution of high quality psychiatry and mental health research. The journal considers submissions on a wide range of topics including, but not limited to, psychopharmacology, forensic psychiatry, psychotic disorders, psychiatric genetics, and mood and anxiety disorders.
×
引用
GB/T 7714-2015
复制
MLA
复制
APA
复制
导出至
BibTeX EndNote RefMan NoteFirst NoteExpress
×
提示
您的信息不完整,为了账户安全,请先补充。
现在去补充
×
提示
您因"违规操作"
具体请查看互助需知
我知道了
×
提示
确定
请完成安全验证×
copy
已复制链接
快去分享给好友吧!
我知道了
右上角分享
点击右上角分享
0
联系我们:info@booksci.cn Book学术提供免费学术资源搜索服务,方便国内外学者检索中英文文献。致力于提供最便捷和优质的服务体验。 Copyright © 2023 布克学术 All rights reserved.
京ICP备2023020795号-1
ghs 京公网安备 11010802042870号
Book学术文献互助
Book学术文献互助群
群 号:604180095
Book学术官方微信