伴有躯体症状的青少年重度抑郁症的异常静态和动态区域同质性:静息状态fMRI研究

IF 3.6 3区 医学 Q1 PSYCHIATRY
Siye Yu, Chang Shu, Gaohua Wang
{"title":"伴有躯体症状的青少年重度抑郁症的异常静态和动态区域同质性:静息状态fMRI研究","authors":"Siye Yu, Chang Shu, Gaohua Wang","doi":"10.1186/s12991-025-00581-x","DOIUrl":null,"url":null,"abstract":"<p><strong>Background: </strong>Somatic symptoms are common in adolescent major depressive disorder (MDD) and related to severity of depression and clinical outcomes. However, the neurological mechanism of somatic symptoms in adolescent MDD remains unknown. In this study, we aimed to explore the functional alterations of intrinsic brain local connectivity in adolescent MDD with somatic symptoms based on static and dynamic reginal homogeneity (ReHo).</p><p><strong>Methods: </strong>This study included 50 first-episode, drug naïve adolescent MDD patients and 34 healthy controls (HCs) matched for age, gender and years of education. Patients were categorized into somatic depression (SD) group (n = 21) and non-somatic depression (NSD) group (n = 29) based on the presence of somatic symptoms or not. All participants underwent resting-state functional magnetic resonance imaging (rs-fMRI), and static and dynamic ReHo were calculated and compared among SD, NSD and HC groups. Correlation analysis was performed to evaluate the relationship between altered ReHo values and severity of clinical symptoms.</p><p><strong>Results: </strong>Adolescent MDD patients with somatic symptoms showed higher total scores of the 17-items Hamilton Depression Scale (HAMD-17). Moreover, increased static ReHo in left inferior parietal gyrus (IPG), left superior parietal gyrus (SPG) and left triangular part of inferior frontal gyrus (IFGtriang) were observed in SD group compared with NSD group. The SD group also exhibited decreased dynamic ReHo in bilateral IPG, bilateral SPG, and left IFGtriang. Moreover, there were significant correlations between static and dynamic ReHo values in these abnormal brain regions and the weight factor scores of HAMD-17.</p><p><strong>Conclusions: </strong>Our findings suggested that there may be abnormal patterns of functional local connectivity in SPG, IPG and IFGtriang in adolescent MDD patients with somatic symptoms, enriching the knowledge of neurological mechanism concerning somatic symptoms in adolescent MDD.</p>","PeriodicalId":7942,"journal":{"name":"Annals of General Psychiatry","volume":"24 1","pages":"41"},"PeriodicalIF":3.6000,"publicationDate":"2025-07-03","publicationTypes":"Journal Article","fieldsOfStudy":null,"isOpenAccess":false,"openAccessPdf":"https://www.ncbi.nlm.nih.gov/pmc/articles/PMC12224741/pdf/","citationCount":"0","resultStr":"{\"title\":\"Abnormal static and dynamic regional homogeneity in adolescent major depressive disorder with somatic symptoms: a resting-state fMRI study.\",\"authors\":\"Siye Yu, Chang Shu, Gaohua Wang\",\"doi\":\"10.1186/s12991-025-00581-x\",\"DOIUrl\":null,\"url\":null,\"abstract\":\"<p><strong>Background: </strong>Somatic symptoms are common in adolescent major depressive disorder (MDD) and related to severity of depression and clinical outcomes. However, the neurological mechanism of somatic symptoms in adolescent MDD remains unknown. In this study, we aimed to explore the functional alterations of intrinsic brain local connectivity in adolescent MDD with somatic symptoms based on static and dynamic reginal homogeneity (ReHo).</p><p><strong>Methods: </strong>This study included 50 first-episode, drug naïve adolescent MDD patients and 34 healthy controls (HCs) matched for age, gender and years of education. Patients were categorized into somatic depression (SD) group (n = 21) and non-somatic depression (NSD) group (n = 29) based on the presence of somatic symptoms or not. All participants underwent resting-state functional magnetic resonance imaging (rs-fMRI), and static and dynamic ReHo were calculated and compared among SD, NSD and HC groups. Correlation analysis was performed to evaluate the relationship between altered ReHo values and severity of clinical symptoms.</p><p><strong>Results: </strong>Adolescent MDD patients with somatic symptoms showed higher total scores of the 17-items Hamilton Depression Scale (HAMD-17). Moreover, increased static ReHo in left inferior parietal gyrus (IPG), left superior parietal gyrus (SPG) and left triangular part of inferior frontal gyrus (IFGtriang) were observed in SD group compared with NSD group. The SD group also exhibited decreased dynamic ReHo in bilateral IPG, bilateral SPG, and left IFGtriang. Moreover, there were significant correlations between static and dynamic ReHo values in these abnormal brain regions and the weight factor scores of HAMD-17.</p><p><strong>Conclusions: </strong>Our findings suggested that there may be abnormal patterns of functional local connectivity in SPG, IPG and IFGtriang in adolescent MDD patients with somatic symptoms, enriching the knowledge of neurological mechanism concerning somatic symptoms in adolescent MDD.</p>\",\"PeriodicalId\":7942,\"journal\":{\"name\":\"Annals of General Psychiatry\",\"volume\":\"24 1\",\"pages\":\"41\"},\"PeriodicalIF\":3.6000,\"publicationDate\":\"2025-07-03\",\"publicationTypes\":\"Journal Article\",\"fieldsOfStudy\":null,\"isOpenAccess\":false,\"openAccessPdf\":\"https://www.ncbi.nlm.nih.gov/pmc/articles/PMC12224741/pdf/\",\"citationCount\":\"0\",\"resultStr\":null,\"platform\":\"Semanticscholar\",\"paperid\":null,\"PeriodicalName\":\"Annals of General Psychiatry\",\"FirstCategoryId\":\"3\",\"ListUrlMain\":\"https://doi.org/10.1186/s12991-025-00581-x\",\"RegionNum\":3,\"RegionCategory\":\"医学\",\"ArticlePicture\":[],\"TitleCN\":null,\"AbstractTextCN\":null,\"PMCID\":null,\"EPubDate\":\"\",\"PubModel\":\"\",\"JCR\":\"Q1\",\"JCRName\":\"PSYCHIATRY\",\"Score\":null,\"Total\":0}","platform":"Semanticscholar","paperid":null,"PeriodicalName":"Annals of General Psychiatry","FirstCategoryId":"3","ListUrlMain":"https://doi.org/10.1186/s12991-025-00581-x","RegionNum":3,"RegionCategory":"医学","ArticlePicture":[],"TitleCN":null,"AbstractTextCN":null,"PMCID":null,"EPubDate":"","PubModel":"","JCR":"Q1","JCRName":"PSYCHIATRY","Score":null,"Total":0}
引用次数: 0

摘要

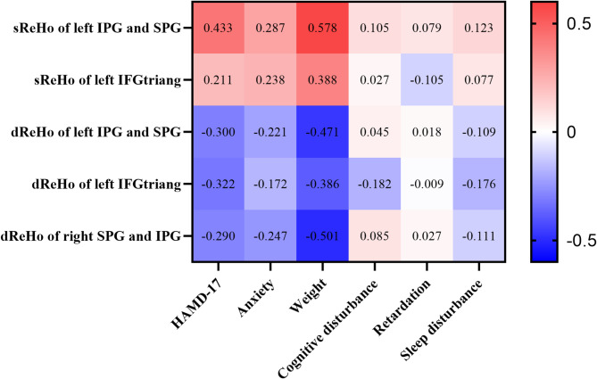
背景:躯体症状在青少年重度抑郁障碍(MDD)中很常见,并与抑郁的严重程度和临床结果相关。然而,青少年MDD的躯体症状的神经机制仍不清楚。在这项研究中,我们旨在探讨基于静态和动态区域均匀性(ReHo)的青少年MDD伴躯体症状的内在脑局部连通性的功能改变。方法:本研究纳入50例首发、药物naïve青少年MDD患者和34例年龄、性别和受教育年限相匹配的健康对照(hc)。根据有无躯体症状将患者分为躯体抑郁(SD)组(n = 21)和非躯体抑郁(NSD)组(n = 29)。所有参与者进行静息状态功能磁共振成像(rs-fMRI),计算SD组、NSD组和HC组的静态和动态ReHo并进行比较。通过相关分析评估ReHo值改变与临床症状严重程度之间的关系。结果:有躯体症状的青少年MDD患者在17项汉密尔顿抑郁量表(HAMD-17)总分中得分较高。SD组左侧顶叶下回(IPG)、左侧顶叶上回(SPG)和左侧额叶下回三角区(IFGtriang)静态ReHo均较NSD组升高。SD组也表现出双侧IPG、双侧SPG和左iftriang动态ReHo降低。此外,这些异常脑区的静态和动态ReHo值与HAMD-17权重因子评分之间存在显著相关性。结论:本研究提示青少年MDD躯体症状患者SPG、IPG和IFGtriang可能存在异常的局部功能连接模式,丰富了青少年MDD躯体症状的神经学机制。
本文章由计算机程序翻译,如有差异,请以英文原文为准。

Abnormal static and dynamic regional homogeneity in adolescent major depressive disorder with somatic symptoms: a resting-state fMRI study.

Abnormal static and dynamic regional homogeneity in adolescent major depressive disorder with somatic symptoms: a resting-state fMRI study.

Abnormal static and dynamic regional homogeneity in adolescent major depressive disorder with somatic symptoms: a resting-state fMRI study.

Abnormal static and dynamic regional homogeneity in adolescent major depressive disorder with somatic symptoms: a resting-state fMRI study.

Background: Somatic symptoms are common in adolescent major depressive disorder (MDD) and related to severity of depression and clinical outcomes. However, the neurological mechanism of somatic symptoms in adolescent MDD remains unknown. In this study, we aimed to explore the functional alterations of intrinsic brain local connectivity in adolescent MDD with somatic symptoms based on static and dynamic reginal homogeneity (ReHo).

Methods: This study included 50 first-episode, drug naïve adolescent MDD patients and 34 healthy controls (HCs) matched for age, gender and years of education. Patients were categorized into somatic depression (SD) group (n = 21) and non-somatic depression (NSD) group (n = 29) based on the presence of somatic symptoms or not. All participants underwent resting-state functional magnetic resonance imaging (rs-fMRI), and static and dynamic ReHo were calculated and compared among SD, NSD and HC groups. Correlation analysis was performed to evaluate the relationship between altered ReHo values and severity of clinical symptoms.

Results: Adolescent MDD patients with somatic symptoms showed higher total scores of the 17-items Hamilton Depression Scale (HAMD-17). Moreover, increased static ReHo in left inferior parietal gyrus (IPG), left superior parietal gyrus (SPG) and left triangular part of inferior frontal gyrus (IFGtriang) were observed in SD group compared with NSD group. The SD group also exhibited decreased dynamic ReHo in bilateral IPG, bilateral SPG, and left IFGtriang. Moreover, there were significant correlations between static and dynamic ReHo values in these abnormal brain regions and the weight factor scores of HAMD-17.

Conclusions: Our findings suggested that there may be abnormal patterns of functional local connectivity in SPG, IPG and IFGtriang in adolescent MDD patients with somatic symptoms, enriching the knowledge of neurological mechanism concerning somatic symptoms in adolescent MDD.

求助全文
通过发布文献求助,成功后即可免费获取论文全文。 去求助
来源期刊
CiteScore
6.60
自引率
2.70%
发文量
43
审稿时长
>12 weeks
期刊介绍: Annals of General Psychiatry considers manuscripts on all aspects of psychiatry, including neuroscience and psychological medicine. Both basic and clinical neuroscience contributions are encouraged. Annals of General Psychiatry emphasizes a biopsychosocial approach to illness and health and strongly supports and follows the principles of evidence-based medicine. As an open access journal, Annals of General Psychiatry facilitates the worldwide distribution of high quality psychiatry and mental health research. The journal considers submissions on a wide range of topics including, but not limited to, psychopharmacology, forensic psychiatry, psychotic disorders, psychiatric genetics, and mood and anxiety disorders.
×
引用
GB/T 7714-2015
复制
MLA
复制
APA
复制
导出至
BibTeX EndNote RefMan NoteFirst NoteExpress
×
提示
您的信息不完整,为了账户安全,请先补充。
现在去补充
×
提示
您因"违规操作"
具体请查看互助需知
我知道了
×
提示
确定
请完成安全验证×
copy
已复制链接
快去分享给好友吧!
我知道了
右上角分享
点击右上角分享
0
联系我们:info@booksci.cn Book学术提供免费学术资源搜索服务,方便国内外学者检索中英文文献。致力于提供最便捷和优质的服务体验。 Copyright © 2023 布克学术 All rights reserved.
京ICP备2023020795号-1
ghs 京公网安备 11010802042870号
Book学术文献互助
Book学术文献互助群
群 号:604180095
Book学术官方微信