从手术等待时间的角度来看,老年患者获得医疗保健的机会是否不公平?

IF 3.4 3区 医学 Q2 GERIATRICS & GERONTOLOGY
Ozan Baris Namdaroglu, Nurettin Kahramansoy, Selen Ozturk, Fatma Dikiser, Hilmi Yazıcı
{"title":"从手术等待时间的角度来看,老年患者获得医疗保健的机会是否不公平?","authors":"Ozan Baris Namdaroglu, Nurettin Kahramansoy, Selen Ozturk, Fatma Dikiser, Hilmi Yazıcı","doi":"10.1007/s40520-025-03117-1","DOIUrl":null,"url":null,"abstract":"<p><strong>Background: </strong>People worldwide face disparities in access to healthcare. Advanced age may be a disadvantage regarding access to healthcare. The reasons for inequity may vary in heterogeneous societies. We aimed to investigate whether advanced age constitutes a disadvantage in a homogeneous population.</p><p><strong>Materials and methods: </strong>Data from a tertiary hospital between January 2021 and November 2023 were retrospectively collected. Patients were diagnosed with cholelithiasis and inguinal hernia. The patients were categorized into groups based on age (< 65 years, ≥ 65 years) and further subdivided into age subgroups (65-74 years, 75-84 years, and ≥ 85 years). Comorbidities, ASA scores, and waiting times before surgery were analyzed across the groups and subgroups.</p><p><strong>Results: </strong>A total of 1401 patients were analyzed, of whom 261 (18.6%) were aged ≥ 65 years. Older patients more frequently had hypertension, diabetes mellitus, and cardiac and pulmonary comorbidities (p < 0.001). The proportion of patients classified as ASA II and III was significantly higher in the older age group. The waiting time for surgery was similar (20 days) between the < 65 and ≥ 65 age groups. Furthermore, there were no significant differences in waiting times among the subgroups within the older age category.</p><p><strong>Conclusion: </strong>Older patients experienced similar waiting times for surgery compared to younger patients, suggesting equity in access to healthcare. This is thought to be associated with the homogeneity of the population and urban residency.</p>","PeriodicalId":7720,"journal":{"name":"Aging Clinical and Experimental Research","volume":"37 1","pages":"208"},"PeriodicalIF":3.4000,"publicationDate":"2025-07-03","publicationTypes":"Journal Article","fieldsOfStudy":null,"isOpenAccess":false,"openAccessPdf":"https://www.ncbi.nlm.nih.gov/pmc/articles/PMC12226605/pdf/","citationCount":"0","resultStr":"{\"title\":\"Is there inequity in access to health care for geriatric patients from the perspective of operation waiting time?\",\"authors\":\"Ozan Baris Namdaroglu, Nurettin Kahramansoy, Selen Ozturk, Fatma Dikiser, Hilmi Yazıcı\",\"doi\":\"10.1007/s40520-025-03117-1\",\"DOIUrl\":null,\"url\":null,\"abstract\":\"<p><strong>Background: </strong>People worldwide face disparities in access to healthcare. Advanced age may be a disadvantage regarding access to healthcare. The reasons for inequity may vary in heterogeneous societies. We aimed to investigate whether advanced age constitutes a disadvantage in a homogeneous population.</p><p><strong>Materials and methods: </strong>Data from a tertiary hospital between January 2021 and November 2023 were retrospectively collected. Patients were diagnosed with cholelithiasis and inguinal hernia. The patients were categorized into groups based on age (< 65 years, ≥ 65 years) and further subdivided into age subgroups (65-74 years, 75-84 years, and ≥ 85 years). Comorbidities, ASA scores, and waiting times before surgery were analyzed across the groups and subgroups.</p><p><strong>Results: </strong>A total of 1401 patients were analyzed, of whom 261 (18.6%) were aged ≥ 65 years. Older patients more frequently had hypertension, diabetes mellitus, and cardiac and pulmonary comorbidities (p < 0.001). The proportion of patients classified as ASA II and III was significantly higher in the older age group. The waiting time for surgery was similar (20 days) between the < 65 and ≥ 65 age groups. Furthermore, there were no significant differences in waiting times among the subgroups within the older age category.</p><p><strong>Conclusion: </strong>Older patients experienced similar waiting times for surgery compared to younger patients, suggesting equity in access to healthcare. This is thought to be associated with the homogeneity of the population and urban residency.</p>\",\"PeriodicalId\":7720,\"journal\":{\"name\":\"Aging Clinical and Experimental Research\",\"volume\":\"37 1\",\"pages\":\"208\"},\"PeriodicalIF\":3.4000,\"publicationDate\":\"2025-07-03\",\"publicationTypes\":\"Journal Article\",\"fieldsOfStudy\":null,\"isOpenAccess\":false,\"openAccessPdf\":\"https://www.ncbi.nlm.nih.gov/pmc/articles/PMC12226605/pdf/\",\"citationCount\":\"0\",\"resultStr\":null,\"platform\":\"Semanticscholar\",\"paperid\":null,\"PeriodicalName\":\"Aging Clinical and Experimental Research\",\"FirstCategoryId\":\"3\",\"ListUrlMain\":\"https://doi.org/10.1007/s40520-025-03117-1\",\"RegionNum\":3,\"RegionCategory\":\"医学\",\"ArticlePicture\":[],\"TitleCN\":null,\"AbstractTextCN\":null,\"PMCID\":null,\"EPubDate\":\"\",\"PubModel\":\"\",\"JCR\":\"Q2\",\"JCRName\":\"GERIATRICS & GERONTOLOGY\",\"Score\":null,\"Total\":0}","platform":"Semanticscholar","paperid":null,"PeriodicalName":"Aging Clinical and Experimental Research","FirstCategoryId":"3","ListUrlMain":"https://doi.org/10.1007/s40520-025-03117-1","RegionNum":3,"RegionCategory":"医学","ArticlePicture":[],"TitleCN":null,"AbstractTextCN":null,"PMCID":null,"EPubDate":"","PubModel":"","JCR":"Q2","JCRName":"GERIATRICS & GERONTOLOGY","Score":null,"Total":0}
引用次数: 0

摘要

背景:世界各地的人们在获得医疗保健方面存在差异。高龄可能是获得医疗保健的不利因素。在异质社会中,不平等的原因可能各不相同。我们的目的是调查高龄是否在同质人群中构成劣势。材料和方法:回顾性收集某三级医院2021年1月至2023年11月的资料。患者被诊断为胆石症和腹股沟疝。结果:共分析1401例患者,其中年龄≥65岁261例(18.6%)。老年患者更常患有高血压、糖尿病和心肺合并症(p结论:老年患者与年轻患者相比等待手术的时间相似,表明获得医疗保健的公平性。这被认为与人口和城市居住的同质性有关。
本文章由计算机程序翻译,如有差异,请以英文原文为准。

Is there inequity in access to health care for geriatric patients from the perspective of operation waiting time?

Is there inequity in access to health care for geriatric patients from the perspective of operation waiting time?

Is there inequity in access to health care for geriatric patients from the perspective of operation waiting time?

Background: People worldwide face disparities in access to healthcare. Advanced age may be a disadvantage regarding access to healthcare. The reasons for inequity may vary in heterogeneous societies. We aimed to investigate whether advanced age constitutes a disadvantage in a homogeneous population.

Materials and methods: Data from a tertiary hospital between January 2021 and November 2023 were retrospectively collected. Patients were diagnosed with cholelithiasis and inguinal hernia. The patients were categorized into groups based on age (< 65 years, ≥ 65 years) and further subdivided into age subgroups (65-74 years, 75-84 years, and ≥ 85 years). Comorbidities, ASA scores, and waiting times before surgery were analyzed across the groups and subgroups.

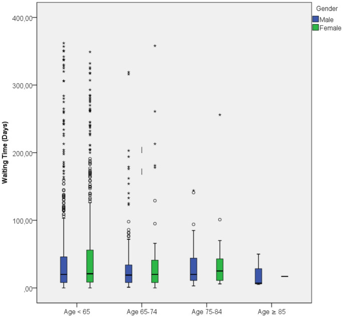
Results: A total of 1401 patients were analyzed, of whom 261 (18.6%) were aged ≥ 65 years. Older patients more frequently had hypertension, diabetes mellitus, and cardiac and pulmonary comorbidities (p < 0.001). The proportion of patients classified as ASA II and III was significantly higher in the older age group. The waiting time for surgery was similar (20 days) between the < 65 and ≥ 65 age groups. Furthermore, there were no significant differences in waiting times among the subgroups within the older age category.

Conclusion: Older patients experienced similar waiting times for surgery compared to younger patients, suggesting equity in access to healthcare. This is thought to be associated with the homogeneity of the population and urban residency.

求助全文
通过发布文献求助,成功后即可免费获取论文全文。 去求助
来源期刊
CiteScore
7.90
自引率
5.00%
发文量
283
审稿时长
1 months
期刊介绍: Aging clinical and experimental research offers a multidisciplinary forum on the progressing field of gerontology and geriatrics. The areas covered by the journal include: biogerontology, neurosciences, epidemiology, clinical gerontology and geriatric assessment, social, economical and behavioral gerontology. “Aging clinical and experimental research” appears bimonthly and publishes review articles, original papers and case reports.
×
引用
GB/T 7714-2015
复制
MLA
复制
APA
复制
导出至
BibTeX EndNote RefMan NoteFirst NoteExpress
×
提示
您的信息不完整,为了账户安全,请先补充。
现在去补充
×
提示
您因"违规操作"
具体请查看互助需知
我知道了
×
提示
确定
请完成安全验证×
copy
已复制链接
快去分享给好友吧!
我知道了
右上角分享
点击右上角分享
0
联系我们:info@booksci.cn Book学术提供免费学术资源搜索服务,方便国内外学者检索中英文文献。致力于提供最便捷和优质的服务体验。 Copyright © 2023 布克学术 All rights reserved.
京ICP备2023020795号-1
ghs 京公网安备 11010802042870号
Book学术文献互助
Book学术文献互助群
群 号:604180095
Book学术官方微信