中国儿童特发性和遗传性肺动脉高压的遗传流行病学及基因型-表型相关性。

IF 5.8 2区 医学 Q1 Medicine
Yuan He, Qiangqiang Li, Chen Zhang, Bradley B Keller, Yiping Shen, Hong Gu
{"title":"中国儿童特发性和遗传性肺动脉高压的遗传流行病学及基因型-表型相关性。","authors":"Yuan He, Qiangqiang Li, Chen Zhang, Bradley B Keller, Yiping Shen, Hong Gu","doi":"10.1186/s12931-025-03249-y","DOIUrl":null,"url":null,"abstract":"<p><strong>Objective: </strong>This study aims to analyze the genetic characteristics, genotype-phenotype correlation and long-term prognosis of children with idiopathic/hereditary pulmonary arterial hypertension (IPAH/HPAH) in a Chinese tertiary medical center.</p><p><strong>Methods: </strong>A retrospective review was conducted for all children with IPAH/HPAH treated at Beijing Anzhen Hospital over the past 15 years. All patients underwent genetic testing.</p><p><strong>Results: </strong>In total, 170 children with IPAH/HPAH were included in the study (females n = 95, 56%), with a median age of diagnosis 6.46 (3.80, 10.70) years. The study population presented with severe conditions at baseline, with 77 patients assessed as clinically high-risk. Genetic testing identified pathogenic variants in 110 patients (64%), with BMPR2, ACVRL1, and TBX4 accounted for the main causal genes. Compared to non-carriers, carriers of pathogenic variants had a higher clinical risk at baseline (54% vs. 30%, p = 0.04). After targeted therapy, carriers experienced greater clinical deterioration (p = 0.008). The overall follow-up duration was 2.68 (1.60, 4.98) years, with the survival rate at 1-, 3-, and 5-year was 93.4%, 86.7%, and 68.6%, respectively. The prognosis of carriers was significantly worse than that of non-carriers (Log-rank p < 0.001). Multivariate Cox regression analysis indicated that pathogenic variants and higher pulmonary vascular resistance index (PVRI) and were associated with a higher risk of death.</p><p><strong>Conclusion: </strong>We uncovered a higher rate of pathogenic variants in Chinese pediatric PAH, while targeted therapy improves the overall prognosis of children with PAH, patients with pathogenic variants presented with poorer response to therapy and poorer prognosis.</p>","PeriodicalId":49131,"journal":{"name":"Respiratory Research","volume":"26 1","pages":"231"},"PeriodicalIF":5.8000,"publicationDate":"2025-07-02","publicationTypes":"Journal Article","fieldsOfStudy":null,"isOpenAccess":false,"openAccessPdf":"https://www.ncbi.nlm.nih.gov/pmc/articles/PMC12224606/pdf/","citationCount":"0","resultStr":"{\"title\":\"The genetic epidemiology and genotype-phenotype correlations among Chinese children with idiopathic and heritable pulmonary arterial hypertension.\",\"authors\":\"Yuan He, Qiangqiang Li, Chen Zhang, Bradley B Keller, Yiping Shen, Hong Gu\",\"doi\":\"10.1186/s12931-025-03249-y\",\"DOIUrl\":null,\"url\":null,\"abstract\":\"<p><strong>Objective: </strong>This study aims to analyze the genetic characteristics, genotype-phenotype correlation and long-term prognosis of children with idiopathic/hereditary pulmonary arterial hypertension (IPAH/HPAH) in a Chinese tertiary medical center.</p><p><strong>Methods: </strong>A retrospective review was conducted for all children with IPAH/HPAH treated at Beijing Anzhen Hospital over the past 15 years. All patients underwent genetic testing.</p><p><strong>Results: </strong>In total, 170 children with IPAH/HPAH were included in the study (females n = 95, 56%), with a median age of diagnosis 6.46 (3.80, 10.70) years. The study population presented with severe conditions at baseline, with 77 patients assessed as clinically high-risk. Genetic testing identified pathogenic variants in 110 patients (64%), with BMPR2, ACVRL1, and TBX4 accounted for the main causal genes. Compared to non-carriers, carriers of pathogenic variants had a higher clinical risk at baseline (54% vs. 30%, p = 0.04). After targeted therapy, carriers experienced greater clinical deterioration (p = 0.008). The overall follow-up duration was 2.68 (1.60, 4.98) years, with the survival rate at 1-, 3-, and 5-year was 93.4%, 86.7%, and 68.6%, respectively. The prognosis of carriers was significantly worse than that of non-carriers (Log-rank p < 0.001). Multivariate Cox regression analysis indicated that pathogenic variants and higher pulmonary vascular resistance index (PVRI) and were associated with a higher risk of death.</p><p><strong>Conclusion: </strong>We uncovered a higher rate of pathogenic variants in Chinese pediatric PAH, while targeted therapy improves the overall prognosis of children with PAH, patients with pathogenic variants presented with poorer response to therapy and poorer prognosis.</p>\",\"PeriodicalId\":49131,\"journal\":{\"name\":\"Respiratory Research\",\"volume\":\"26 1\",\"pages\":\"231\"},\"PeriodicalIF\":5.8000,\"publicationDate\":\"2025-07-02\",\"publicationTypes\":\"Journal Article\",\"fieldsOfStudy\":null,\"isOpenAccess\":false,\"openAccessPdf\":\"https://www.ncbi.nlm.nih.gov/pmc/articles/PMC12224606/pdf/\",\"citationCount\":\"0\",\"resultStr\":null,\"platform\":\"Semanticscholar\",\"paperid\":null,\"PeriodicalName\":\"Respiratory Research\",\"FirstCategoryId\":\"3\",\"ListUrlMain\":\"https://doi.org/10.1186/s12931-025-03249-y\",\"RegionNum\":2,\"RegionCategory\":\"医学\",\"ArticlePicture\":[],\"TitleCN\":null,\"AbstractTextCN\":null,\"PMCID\":null,\"EPubDate\":\"\",\"PubModel\":\"\",\"JCR\":\"Q1\",\"JCRName\":\"Medicine\",\"Score\":null,\"Total\":0}","platform":"Semanticscholar","paperid":null,"PeriodicalName":"Respiratory Research","FirstCategoryId":"3","ListUrlMain":"https://doi.org/10.1186/s12931-025-03249-y","RegionNum":2,"RegionCategory":"医学","ArticlePicture":[],"TitleCN":null,"AbstractTextCN":null,"PMCID":null,"EPubDate":"","PubModel":"","JCR":"Q1","JCRName":"Medicine","Score":null,"Total":0}
引用次数: 0

摘要

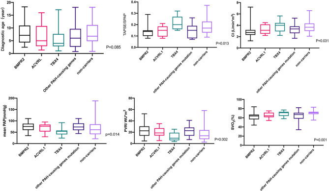
目的:分析某三级医疗中心特发性/遗传性肺动脉高压(IPAH/HPAH)患儿的遗传特征、基因型-表型相关性及远期预后。方法:回顾性分析北京安贞医院15年来收治的所有IPAH/HPAH患儿。所有患者都进行了基因检测。结果:共纳入170例IPAH/HPAH患儿(女性95,56 %),中位诊断年龄为6.46(3.80,10.70)岁。研究人群在基线时病情严重,有77例患者被评估为临床高危。基因检测发现110例(64%)患者存在致病变异,其中BMPR2、ACVRL1和TBX4为主要致病基因。与非携带者相比,致病变异携带者在基线时具有更高的临床风险(54%对30%,p = 0.04)。经靶向治疗后,携带者的临床恶化程度更高(p = 0.008)。总随访时间为2.68(1.60,4.98)年,1年、3年、5年生存率分别为93.4%、86.7%、68.6%。结论:我们发现中国儿童PAH的致病变异率较高,而靶向治疗改善了PAH患儿的整体预后,致病变异患者对治疗的反应较差,预后较差。
本文章由计算机程序翻译,如有差异,请以英文原文为准。

The genetic epidemiology and genotype-phenotype correlations among Chinese children with idiopathic and heritable pulmonary arterial hypertension.

The genetic epidemiology and genotype-phenotype correlations among Chinese children with idiopathic and heritable pulmonary arterial hypertension.

The genetic epidemiology and genotype-phenotype correlations among Chinese children with idiopathic and heritable pulmonary arterial hypertension.

The genetic epidemiology and genotype-phenotype correlations among Chinese children with idiopathic and heritable pulmonary arterial hypertension.

Objective: This study aims to analyze the genetic characteristics, genotype-phenotype correlation and long-term prognosis of children with idiopathic/hereditary pulmonary arterial hypertension (IPAH/HPAH) in a Chinese tertiary medical center.

Methods: A retrospective review was conducted for all children with IPAH/HPAH treated at Beijing Anzhen Hospital over the past 15 years. All patients underwent genetic testing.

Results: In total, 170 children with IPAH/HPAH were included in the study (females n = 95, 56%), with a median age of diagnosis 6.46 (3.80, 10.70) years. The study population presented with severe conditions at baseline, with 77 patients assessed as clinically high-risk. Genetic testing identified pathogenic variants in 110 patients (64%), with BMPR2, ACVRL1, and TBX4 accounted for the main causal genes. Compared to non-carriers, carriers of pathogenic variants had a higher clinical risk at baseline (54% vs. 30%, p = 0.04). After targeted therapy, carriers experienced greater clinical deterioration (p = 0.008). The overall follow-up duration was 2.68 (1.60, 4.98) years, with the survival rate at 1-, 3-, and 5-year was 93.4%, 86.7%, and 68.6%, respectively. The prognosis of carriers was significantly worse than that of non-carriers (Log-rank p < 0.001). Multivariate Cox regression analysis indicated that pathogenic variants and higher pulmonary vascular resistance index (PVRI) and were associated with a higher risk of death.

Conclusion: We uncovered a higher rate of pathogenic variants in Chinese pediatric PAH, while targeted therapy improves the overall prognosis of children with PAH, patients with pathogenic variants presented with poorer response to therapy and poorer prognosis.

求助全文
通过发布文献求助,成功后即可免费获取论文全文。 去求助
来源期刊
Respiratory Research
Respiratory Research RESPIRATORY SYSTEM-
CiteScore
9.70
自引率
1.70%
发文量
314
审稿时长
4-8 weeks
期刊介绍: Respiratory Research publishes high-quality clinical and basic research, review and commentary articles on all aspects of respiratory medicine and related diseases. As the leading fully open access journal in the field, Respiratory Research provides an essential resource for pulmonologists, allergists, immunologists and other physicians, researchers, healthcare workers and medical students with worldwide dissemination of articles resulting in high visibility and generating international discussion. Topics of specific interest include asthma, chronic obstructive pulmonary disease, cystic fibrosis, genetics, infectious diseases, interstitial lung diseases, lung development, lung tumors, occupational and environmental factors, pulmonary circulation, pulmonary pharmacology and therapeutics, respiratory immunology, respiratory physiology, and sleep-related respiratory problems.
×
引用
GB/T 7714-2015
复制
MLA
复制
APA
复制
导出至
BibTeX EndNote RefMan NoteFirst NoteExpress
×
提示
您的信息不完整,为了账户安全,请先补充。
现在去补充
×
提示
您因"违规操作"
具体请查看互助需知
我知道了
×
提示
确定
请完成安全验证×
copy
已复制链接
快去分享给好友吧!
我知道了
右上角分享
点击右上角分享
0
联系我们:info@booksci.cn Book学术提供免费学术资源搜索服务,方便国内外学者检索中英文文献。致力于提供最便捷和优质的服务体验。 Copyright © 2023 布克学术 All rights reserved.
京ICP备2023020795号-1
ghs 京公网安备 11010802042870号
Book学术文献互助
Book学术文献互助群
群 号:604180095
Book学术官方微信