残胆固醇炎症指数(由残胆固醇与c反应蛋白比值计算)与卒中结局:一项使用美国国立卫生研究院卒中量表和改良Rankin量表的回顾性研究。

IF 3.9 2区 医学 Q2 BIOCHEMISTRY & MOLECULAR BIOLOGY
Yanmei Yu, Yiming Zhang, Chunyan Zhu, Tingting Duan, Zichen Rao
{"title":"残胆固醇炎症指数(由残胆固醇与c反应蛋白比值计算)与卒中结局:一项使用美国国立卫生研究院卒中量表和改良Rankin量表的回顾性研究。","authors":"Yanmei Yu, Yiming Zhang, Chunyan Zhu, Tingting Duan, Zichen Rao","doi":"10.1186/s12944-025-02650-2","DOIUrl":null,"url":null,"abstract":"<p><strong>Background: </strong>Globally, acute ischemic stroke (AIS) persists as a significant driver of both mortality and prolonged disability. Reliable biomarkers for predicting stroke outcomes must be identified to improve clinical decision-making. Residual cholesterol (RC) and RC inflammatory index (RCII) have been proposed as potential biomarkers, although their precise prognostic significance in stroke remains unclear. This research sought to examine the predictive value of RCII and RC in estimating extent of neurological impairment, assessed using the National Institutes of Health Stroke Scale (NIHSS), and functional recovery, evaluated using the three-month modified Rankin Scale (mRS), among individuals diagnosed with AIS.</p><p><strong>Methods: </strong>The study enrolled 775 individuals diagnosed with AIS. RC and RCII were derived and subsequently grouped into quartiles for analysis. The associations between RCII, RC, NIHSS, and the three-month mRS were investigated using multivariable logistic regression analysis. Subpopulation analysis, inflection point analysis, generalized additive models (GAM), and receiver operating curve (ROC) analyses were utilized to evaluate the ability of these biomarkers to predict outcomes and to identify their optimal cutoff points.</p><p><strong>Results: </strong>RCII demonstrated a significant relationship with unfavorable functional prognosis, with participants belonging to the top quartile of RCII levels having almost double the risk of poor outcomes compared to those in the lowest quartile. (odds ratio [OR] = 1.98, 95% confidence interval [CI]; 1.20-3.26, P = 0.0071). RC showed no significant association with the NIHSS or three-month mRS (P > 0.05). ROC analysis demonstrated that the RCII exhibited moderate discriminatory power in predicting poor three-month outcomes (AUC = 0.641, 95% CI; 0.595-0.688), whereas RC demonstrated modest predictive performance (AUC = 0.519, 95% CI; 0.475-0.564, P = 0.0018). GAM analysis revealed a J-shaped relationship for RCII, with optimal thresholds of 2.47 for NIHSS and 0.45 for three-month mRS, indicating significant associations above these cutoffs. The subgroup analysis showed stronger associations for RCII in men, smokers, and individuals with hypertension, but no significant associations were found for RC in any subgroup.</p><p><strong>Conclusion: </strong>The RCII serves as an independent predictor of unfavorable three-month prognoses among individuals diagnosed with AIS. As a composite biomarker combining lipid and inflammatory factors, the RCII can enhance early risk stratification and guide personalized prognostic prediction in Acute stroke management.</p>","PeriodicalId":18073,"journal":{"name":"Lipids in Health and Disease","volume":"24 1","pages":"228"},"PeriodicalIF":3.9000,"publicationDate":"2025-07-02","publicationTypes":"Journal Article","fieldsOfStudy":null,"isOpenAccess":false,"openAccessPdf":"https://www.ncbi.nlm.nih.gov/pmc/articles/PMC12220354/pdf/","citationCount":"0","resultStr":"{\"title\":\"Remnant cholesterol inflammatory index, calculated from residual cholesterol to C-reactive protein ratio, and stroke outcomes: a retrospective study using the National institutes of health stroke scale and modified Rankin scale.\",\"authors\":\"Yanmei Yu, Yiming Zhang, Chunyan Zhu, Tingting Duan, Zichen Rao\",\"doi\":\"10.1186/s12944-025-02650-2\",\"DOIUrl\":null,\"url\":null,\"abstract\":\"<p><strong>Background: </strong>Globally, acute ischemic stroke (AIS) persists as a significant driver of both mortality and prolonged disability. Reliable biomarkers for predicting stroke outcomes must be identified to improve clinical decision-making. Residual cholesterol (RC) and RC inflammatory index (RCII) have been proposed as potential biomarkers, although their precise prognostic significance in stroke remains unclear. This research sought to examine the predictive value of RCII and RC in estimating extent of neurological impairment, assessed using the National Institutes of Health Stroke Scale (NIHSS), and functional recovery, evaluated using the three-month modified Rankin Scale (mRS), among individuals diagnosed with AIS.</p><p><strong>Methods: </strong>The study enrolled 775 individuals diagnosed with AIS. RC and RCII were derived and subsequently grouped into quartiles for analysis. The associations between RCII, RC, NIHSS, and the three-month mRS were investigated using multivariable logistic regression analysis. Subpopulation analysis, inflection point analysis, generalized additive models (GAM), and receiver operating curve (ROC) analyses were utilized to evaluate the ability of these biomarkers to predict outcomes and to identify their optimal cutoff points.</p><p><strong>Results: </strong>RCII demonstrated a significant relationship with unfavorable functional prognosis, with participants belonging to the top quartile of RCII levels having almost double the risk of poor outcomes compared to those in the lowest quartile. (odds ratio [OR] = 1.98, 95% confidence interval [CI]; 1.20-3.26, P = 0.0071). RC showed no significant association with the NIHSS or three-month mRS (P > 0.05). ROC analysis demonstrated that the RCII exhibited moderate discriminatory power in predicting poor three-month outcomes (AUC = 0.641, 95% CI; 0.595-0.688), whereas RC demonstrated modest predictive performance (AUC = 0.519, 95% CI; 0.475-0.564, P = 0.0018). GAM analysis revealed a J-shaped relationship for RCII, with optimal thresholds of 2.47 for NIHSS and 0.45 for three-month mRS, indicating significant associations above these cutoffs. The subgroup analysis showed stronger associations for RCII in men, smokers, and individuals with hypertension, but no significant associations were found for RC in any subgroup.</p><p><strong>Conclusion: </strong>The RCII serves as an independent predictor of unfavorable three-month prognoses among individuals diagnosed with AIS. As a composite biomarker combining lipid and inflammatory factors, the RCII can enhance early risk stratification and guide personalized prognostic prediction in Acute stroke management.</p>\",\"PeriodicalId\":18073,\"journal\":{\"name\":\"Lipids in Health and Disease\",\"volume\":\"24 1\",\"pages\":\"228\"},\"PeriodicalIF\":3.9000,\"publicationDate\":\"2025-07-02\",\"publicationTypes\":\"Journal Article\",\"fieldsOfStudy\":null,\"isOpenAccess\":false,\"openAccessPdf\":\"https://www.ncbi.nlm.nih.gov/pmc/articles/PMC12220354/pdf/\",\"citationCount\":\"0\",\"resultStr\":null,\"platform\":\"Semanticscholar\",\"paperid\":null,\"PeriodicalName\":\"Lipids in Health and Disease\",\"FirstCategoryId\":\"3\",\"ListUrlMain\":\"https://doi.org/10.1186/s12944-025-02650-2\",\"RegionNum\":2,\"RegionCategory\":\"医学\",\"ArticlePicture\":[],\"TitleCN\":null,\"AbstractTextCN\":null,\"PMCID\":null,\"EPubDate\":\"\",\"PubModel\":\"\",\"JCR\":\"Q2\",\"JCRName\":\"BIOCHEMISTRY & MOLECULAR BIOLOGY\",\"Score\":null,\"Total\":0}","platform":"Semanticscholar","paperid":null,"PeriodicalName":"Lipids in Health and Disease","FirstCategoryId":"3","ListUrlMain":"https://doi.org/10.1186/s12944-025-02650-2","RegionNum":2,"RegionCategory":"医学","ArticlePicture":[],"TitleCN":null,"AbstractTextCN":null,"PMCID":null,"EPubDate":"","PubModel":"","JCR":"Q2","JCRName":"BIOCHEMISTRY & MOLECULAR BIOLOGY","Score":null,"Total":0}
引用次数: 0

摘要

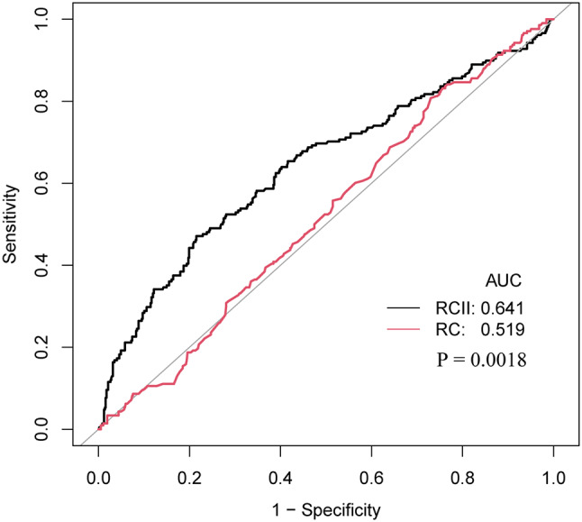
背景:在全球范围内,急性缺血性卒中(AIS)仍然是死亡率和长期残疾的重要驱动因素。必须确定预测中风结果的可靠生物标志物,以改善临床决策。残余胆固醇(RC)和RC炎症指数(RCII)被认为是潜在的生物标志物,尽管它们在卒中预后中的确切意义尚不清楚。本研究旨在检验在诊断为AIS的个体中,RCII和RC在估计神经损伤程度(使用美国国立卫生研究院卒中量表(NIHSS)评估)和功能恢复(使用三个月修正Rankin量表(mRS)评估)方面的预测价值。方法:该研究招募了775名诊断为AIS的个体。得到RC和RCII,然后将其分组为四分位数进行分析。采用多变量logistic回归分析探讨RCII、RC、NIHSS与3个月mRS之间的关系。利用亚种群分析、拐点分析、广义加性模型(GAM)和受试者工作曲线(ROC)分析来评估这些生物标志物预测预后的能力,并确定其最佳截止点。结果:RCII与不良的功能预后有显著关系,属于RCII水平最高四分之一的参与者的不良预后风险几乎是最低四分之一的参与者的两倍。(优势比[OR] = 1.98, 95%可信区间[CI];1.20-3.26, p = 0.0071)。RC与NIHSS、3个月mRS无显著相关性(P < 0.05)。ROC分析显示,RCII在预测3个月不良预后方面表现出中等差异(AUC = 0.641, 95% CI;0.595-0.688),而RC表现出适度的预测性能(AUC = 0.519, 95% CI;0.475 ~ 0.564, p = 0.0018)。GAM分析显示RCII呈j型关系,NIHSS的最佳阈值为2.47,三个月mRS的最佳阈值为0.45,表明在这些截止值之上存在显著关联。亚组分析显示,RCII在男性、吸烟者和高血压患者中有较强的相关性,但在任何亚组中均未发现RC的显著相关性。结论:RCII可作为AIS患者三个月不良预后的独立预测因子。RCII作为一种结合脂质和炎症因子的复合生物标志物,在急性脑卒中治疗中可以加强早期风险分层,指导个性化预后预测。
本文章由计算机程序翻译,如有差异,请以英文原文为准。

Remnant cholesterol inflammatory index, calculated from residual cholesterol to C-reactive protein ratio, and stroke outcomes: a retrospective study using the National institutes of health stroke scale and modified Rankin scale.

Remnant cholesterol inflammatory index, calculated from residual cholesterol to C-reactive protein ratio, and stroke outcomes: a retrospective study using the National institutes of health stroke scale and modified Rankin scale.

Remnant cholesterol inflammatory index, calculated from residual cholesterol to C-reactive protein ratio, and stroke outcomes: a retrospective study using the National institutes of health stroke scale and modified Rankin scale.

Remnant cholesterol inflammatory index, calculated from residual cholesterol to C-reactive protein ratio, and stroke outcomes: a retrospective study using the National institutes of health stroke scale and modified Rankin scale.

Background: Globally, acute ischemic stroke (AIS) persists as a significant driver of both mortality and prolonged disability. Reliable biomarkers for predicting stroke outcomes must be identified to improve clinical decision-making. Residual cholesterol (RC) and RC inflammatory index (RCII) have been proposed as potential biomarkers, although their precise prognostic significance in stroke remains unclear. This research sought to examine the predictive value of RCII and RC in estimating extent of neurological impairment, assessed using the National Institutes of Health Stroke Scale (NIHSS), and functional recovery, evaluated using the three-month modified Rankin Scale (mRS), among individuals diagnosed with AIS.

Methods: The study enrolled 775 individuals diagnosed with AIS. RC and RCII were derived and subsequently grouped into quartiles for analysis. The associations between RCII, RC, NIHSS, and the three-month mRS were investigated using multivariable logistic regression analysis. Subpopulation analysis, inflection point analysis, generalized additive models (GAM), and receiver operating curve (ROC) analyses were utilized to evaluate the ability of these biomarkers to predict outcomes and to identify their optimal cutoff points.

Results: RCII demonstrated a significant relationship with unfavorable functional prognosis, with participants belonging to the top quartile of RCII levels having almost double the risk of poor outcomes compared to those in the lowest quartile. (odds ratio [OR] = 1.98, 95% confidence interval [CI]; 1.20-3.26, P = 0.0071). RC showed no significant association with the NIHSS or three-month mRS (P > 0.05). ROC analysis demonstrated that the RCII exhibited moderate discriminatory power in predicting poor three-month outcomes (AUC = 0.641, 95% CI; 0.595-0.688), whereas RC demonstrated modest predictive performance (AUC = 0.519, 95% CI; 0.475-0.564, P = 0.0018). GAM analysis revealed a J-shaped relationship for RCII, with optimal thresholds of 2.47 for NIHSS and 0.45 for three-month mRS, indicating significant associations above these cutoffs. The subgroup analysis showed stronger associations for RCII in men, smokers, and individuals with hypertension, but no significant associations were found for RC in any subgroup.

Conclusion: The RCII serves as an independent predictor of unfavorable three-month prognoses among individuals diagnosed with AIS. As a composite biomarker combining lipid and inflammatory factors, the RCII can enhance early risk stratification and guide personalized prognostic prediction in Acute stroke management.

求助全文
通过发布文献求助,成功后即可免费获取论文全文。 去求助
来源期刊
Lipids in Health and Disease
Lipids in Health and Disease 生物-生化与分子生物学
CiteScore
7.70
自引率
2.20%
发文量
122
审稿时长
3-8 weeks
期刊介绍: Lipids in Health and Disease is an open access, peer-reviewed, journal that publishes articles on all aspects of lipids: their biochemistry, pharmacology, toxicology, role in health and disease, and the synthesis of new lipid compounds. Lipids in Health and Disease is aimed at all scientists, health professionals and physicians interested in the area of lipids. Lipids are defined here in their broadest sense, to include: cholesterol, essential fatty acids, saturated fatty acids, phospholipids, inositol lipids, second messenger lipids, enzymes and synthetic machinery that is involved in the metabolism of various lipids in the cells and tissues, and also various aspects of lipid transport, etc. In addition, the journal also publishes research that investigates and defines the role of lipids in various physiological processes, pathology and disease. In particular, the journal aims to bridge the gap between the bench and the clinic by publishing articles that are particularly relevant to human diseases and the role of lipids in the management of various diseases.
×
引用
GB/T 7714-2015
复制
MLA
复制
APA
复制
导出至
BibTeX EndNote RefMan NoteFirst NoteExpress
×
提示
您的信息不完整,为了账户安全,请先补充。
现在去补充
×
提示
您因"违规操作"
具体请查看互助需知
我知道了
×
提示
确定
请完成安全验证×
copy
已复制链接
快去分享给好友吧!
我知道了
右上角分享
点击右上角分享
0
联系我们:info@booksci.cn Book学术提供免费学术资源搜索服务,方便国内外学者检索中英文文献。致力于提供最便捷和优质的服务体验。 Copyright © 2023 布克学术 All rights reserved.
京ICP备2023020795号-1
ghs 京公网安备 11010802042870号
Book学术文献互助
Book学术文献互助群
群 号:604180095
Book学术官方微信