结直肠癌转移部位及其转移切除术对预后的影响:来自单一机构的回顾性分析。

IF 2.3 3区 医学 Q2 GASTROENTEROLOGY & HEPATOLOGY
Sheng-Chieh Huang, Shih-Ching Chang, Jeng-Kai Jiang, Yi-Tien Su
{"title":"结直肠癌转移部位及其转移切除术对预后的影响:来自单一机构的回顾性分析。","authors":"Sheng-Chieh Huang, Shih-Ching Chang, Jeng-Kai Jiang, Yi-Tien Su","doi":"10.1007/s00384-025-04943-5","DOIUrl":null,"url":null,"abstract":"<p><strong>Purpose: </strong>This study aims to evaluate the prognostic influence of different metastatic sites and the effect of surgical resection on survival. Additionally, it explores how anatomical location influences prognosis before and after metastasectomy.</p><p><strong>Methods: </strong>This retrospective study included 999 mCRC patients treated at Taipei Veterans General Hospital from 2013 to 2019. Survival outcomes across liver, lung, peritoneal, and distant lymph node (LN) metastases were analyzed using Kaplan-Meier and Cox regression models.</p><p><strong>Results: </strong>Prognosis varied significantly by metastatic site. For single-site metastases, distant LN metastases had the longest OS (36.8 months), followed by lung (35.5 months), liver (26.5 months), and peritoneal metastases (21.5 months; p = 0.001). Lung metastases showed the longest PFS (11.7 months), followed by distant LN (10.8 months), peritoneal (9.8 months), and liver (9.1 months; p = 0.031). Surgical resection significantly improved OS (HR = 0.477, p < 0.001). With metastasectomy, OS was comparable for liver, lung, and distant LN metastases (p = 0.288), while peritoneal metastases had significantly poorer outcomes (HR = 2.208, p = 0.001). In patients without surgery, OS was significantly poorer across all metastatic sites, with lung metastases demonstrating the most favorable prognosis (OS = 31.9 months) and statistically significant differences compared to liver, peritoneal, and distant LN metastases (p < 0.001).</p><p><strong>Conclusion: </strong>The prognosis of mCRC varies by metastatic site. Surgical resection significantly improves survival for liver, lung, and distant LN metastases but is less effective for peritoneal metastases. Surgery reduces the prognostic disparity among resectable sites except for peritoneal seeding.</p>","PeriodicalId":13789,"journal":{"name":"International Journal of Colorectal Disease","volume":"40 1","pages":"150"},"PeriodicalIF":2.3000,"publicationDate":"2025-07-02","publicationTypes":"Journal Article","fieldsOfStudy":null,"isOpenAccess":false,"openAccessPdf":"https://www.ncbi.nlm.nih.gov/pmc/articles/PMC12222390/pdf/","citationCount":"0","resultStr":"{\"title\":\"Prognostic impact of metastatic sites and its metastasectomy in colorectal cancer: a retrospective analysis from a single institution.\",\"authors\":\"Sheng-Chieh Huang, Shih-Ching Chang, Jeng-Kai Jiang, Yi-Tien Su\",\"doi\":\"10.1007/s00384-025-04943-5\",\"DOIUrl\":null,\"url\":null,\"abstract\":\"<p><strong>Purpose: </strong>This study aims to evaluate the prognostic influence of different metastatic sites and the effect of surgical resection on survival. Additionally, it explores how anatomical location influences prognosis before and after metastasectomy.</p><p><strong>Methods: </strong>This retrospective study included 999 mCRC patients treated at Taipei Veterans General Hospital from 2013 to 2019. Survival outcomes across liver, lung, peritoneal, and distant lymph node (LN) metastases were analyzed using Kaplan-Meier and Cox regression models.</p><p><strong>Results: </strong>Prognosis varied significantly by metastatic site. For single-site metastases, distant LN metastases had the longest OS (36.8 months), followed by lung (35.5 months), liver (26.5 months), and peritoneal metastases (21.5 months; p = 0.001). Lung metastases showed the longest PFS (11.7 months), followed by distant LN (10.8 months), peritoneal (9.8 months), and liver (9.1 months; p = 0.031). Surgical resection significantly improved OS (HR = 0.477, p < 0.001). With metastasectomy, OS was comparable for liver, lung, and distant LN metastases (p = 0.288), while peritoneal metastases had significantly poorer outcomes (HR = 2.208, p = 0.001). In patients without surgery, OS was significantly poorer across all metastatic sites, with lung metastases demonstrating the most favorable prognosis (OS = 31.9 months) and statistically significant differences compared to liver, peritoneal, and distant LN metastases (p < 0.001).</p><p><strong>Conclusion: </strong>The prognosis of mCRC varies by metastatic site. Surgical resection significantly improves survival for liver, lung, and distant LN metastases but is less effective for peritoneal metastases. Surgery reduces the prognostic disparity among resectable sites except for peritoneal seeding.</p>\",\"PeriodicalId\":13789,\"journal\":{\"name\":\"International Journal of Colorectal Disease\",\"volume\":\"40 1\",\"pages\":\"150\"},\"PeriodicalIF\":2.3000,\"publicationDate\":\"2025-07-02\",\"publicationTypes\":\"Journal Article\",\"fieldsOfStudy\":null,\"isOpenAccess\":false,\"openAccessPdf\":\"https://www.ncbi.nlm.nih.gov/pmc/articles/PMC12222390/pdf/\",\"citationCount\":\"0\",\"resultStr\":null,\"platform\":\"Semanticscholar\",\"paperid\":null,\"PeriodicalName\":\"International Journal of Colorectal Disease\",\"FirstCategoryId\":\"3\",\"ListUrlMain\":\"https://doi.org/10.1007/s00384-025-04943-5\",\"RegionNum\":3,\"RegionCategory\":\"医学\",\"ArticlePicture\":[],\"TitleCN\":null,\"AbstractTextCN\":null,\"PMCID\":null,\"EPubDate\":\"\",\"PubModel\":\"\",\"JCR\":\"Q2\",\"JCRName\":\"GASTROENTEROLOGY & HEPATOLOGY\",\"Score\":null,\"Total\":0}","platform":"Semanticscholar","paperid":null,"PeriodicalName":"International Journal of Colorectal Disease","FirstCategoryId":"3","ListUrlMain":"https://doi.org/10.1007/s00384-025-04943-5","RegionNum":3,"RegionCategory":"医学","ArticlePicture":[],"TitleCN":null,"AbstractTextCN":null,"PMCID":null,"EPubDate":"","PubModel":"","JCR":"Q2","JCRName":"GASTROENTEROLOGY & HEPATOLOGY","Score":null,"Total":0}
引用次数: 0

摘要

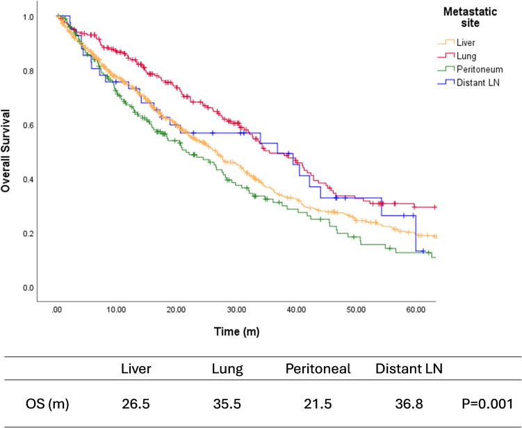
目的:本研究旨在评估不同转移部位对预后的影响以及手术切除对生存的影响。此外,它探讨了解剖位置如何影响转移瘤切除术前后的预后。方法:对2013 - 2019年在台北荣民总医院就诊的999例mCRC患者进行回顾性研究。使用Kaplan-Meier和Cox回归模型分析肝、肺、腹膜和远处淋巴结(LN)转移患者的生存结局。结果:不同转移部位预后差异显著。对于单部位转移,远处淋巴结转移的生存期最长(36.8个月),其次是肺(35.5个月)、肝(26.5个月)和腹膜转移(21.5个月;p = 0.001)。肺转移的PFS最长(11.7个月),其次是远处淋巴结(10.8个月)、腹膜(9.8个月)和肝脏(9.1个月);p = 0.031)。结论:mCRC的预后因转移部位的不同而不同。手术切除可显著提高肝、肺和远处淋巴结转移的生存率,但对腹膜转移的疗效较差。手术减少了除腹膜播种外可切除部位的预后差异。
本文章由计算机程序翻译,如有差异,请以英文原文为准。

Prognostic impact of metastatic sites and its metastasectomy in colorectal cancer: a retrospective analysis from a single institution.

Prognostic impact of metastatic sites and its metastasectomy in colorectal cancer: a retrospective analysis from a single institution.

Prognostic impact of metastatic sites and its metastasectomy in colorectal cancer: a retrospective analysis from a single institution.

Prognostic impact of metastatic sites and its metastasectomy in colorectal cancer: a retrospective analysis from a single institution.

Purpose: This study aims to evaluate the prognostic influence of different metastatic sites and the effect of surgical resection on survival. Additionally, it explores how anatomical location influences prognosis before and after metastasectomy.

Methods: This retrospective study included 999 mCRC patients treated at Taipei Veterans General Hospital from 2013 to 2019. Survival outcomes across liver, lung, peritoneal, and distant lymph node (LN) metastases were analyzed using Kaplan-Meier and Cox regression models.

Results: Prognosis varied significantly by metastatic site. For single-site metastases, distant LN metastases had the longest OS (36.8 months), followed by lung (35.5 months), liver (26.5 months), and peritoneal metastases (21.5 months; p = 0.001). Lung metastases showed the longest PFS (11.7 months), followed by distant LN (10.8 months), peritoneal (9.8 months), and liver (9.1 months; p = 0.031). Surgical resection significantly improved OS (HR = 0.477, p < 0.001). With metastasectomy, OS was comparable for liver, lung, and distant LN metastases (p = 0.288), while peritoneal metastases had significantly poorer outcomes (HR = 2.208, p = 0.001). In patients without surgery, OS was significantly poorer across all metastatic sites, with lung metastases demonstrating the most favorable prognosis (OS = 31.9 months) and statistically significant differences compared to liver, peritoneal, and distant LN metastases (p < 0.001).

Conclusion: The prognosis of mCRC varies by metastatic site. Surgical resection significantly improves survival for liver, lung, and distant LN metastases but is less effective for peritoneal metastases. Surgery reduces the prognostic disparity among resectable sites except for peritoneal seeding.

求助全文
通过发布文献求助,成功后即可免费获取论文全文。 去求助
来源期刊
CiteScore
4.90
自引率
3.60%
发文量
206
审稿时长
3-8 weeks
期刊介绍: The International Journal of Colorectal Disease, Clinical and Molecular Gastroenterology and Surgery aims to publish novel and state-of-the-art papers which deal with the physiology and pathophysiology of diseases involving the entire gastrointestinal tract. In addition to original research articles, the following categories will be included: reviews (usually commissioned but may also be submitted), case reports, letters to the editor, and protocols on clinical studies. The journal offers its readers an interdisciplinary forum for clinical science and molecular research related to gastrointestinal disease.
×
引用
GB/T 7714-2015
复制
MLA
复制
APA
复制
导出至
BibTeX EndNote RefMan NoteFirst NoteExpress
×
提示
您的信息不完整,为了账户安全,请先补充。
现在去补充
×
提示
您因"违规操作"
具体请查看互助需知
我知道了
×
提示
确定
请完成安全验证×
copy
已复制链接
快去分享给好友吧!
我知道了
右上角分享
点击右上角分享
0
联系我们:info@booksci.cn Book学术提供免费学术资源搜索服务,方便国内外学者检索中英文文献。致力于提供最便捷和优质的服务体验。 Copyright © 2023 布克学术 All rights reserved.
京ICP备2023020795号-1
ghs 京公网安备 11010802042870号
Book学术文献互助
Book学术文献互助群
群 号:604180095
Book学术官方微信