初步治疗与转诊躯干和四肢软组织肉瘤:初步治疗对疾病控制影响的比较分析。

IF 1.3 Q4 ONCOLOGY
ecancermedicalscience Pub Date : 2025-06-26 eCollection Date: 2025-01-01 DOI:10.3332/ecancer.2025.1933
Walter S Nardi, Lucía Aragone, Sergio D Quildrian
{"title":"初步治疗与转诊躯干和四肢软组织肉瘤:初步治疗对疾病控制影响的比较分析。","authors":"Walter S Nardi, Lucía Aragone, Sergio D Quildrian","doi":"10.3332/ecancer.2025.1933","DOIUrl":null,"url":null,"abstract":"<p><strong>Introduction: </strong>Soft tissue sarcomas (STS) are rare and aggressive tumours that require a complex multimodal treatment at referral centers. However, they are often misdiagnosed and subsequently improperly treated at non-specialised centers. A multidisciplinary approach is mandatory for these tumours, involving multiple specialties. Therefore, management should be carried out in reference centers for STS. We aimed to compare oncological outcomes of trunk and extremities STS primarily treated at a reference center versus those referred after initial surgical treatment elsewhere.</p><p><strong>Methods: </strong>All patients with diagnosis of trunk and extremities STS between January 2010 and May 2024, primarily operated at our center or referred after treatment elsewhere, were included. Visceral, retroperitoneal/pelvic, spermatic cord and head/neck STS were excluded, as well as desmoid tumours and dermatofibrosarcoma protuberans subtype. Demographic data and tumour characteristics were evaluated (location, size, French Federation of Cancer Centers Sarcoma Group grade, neo/adjuvant treatment) as well as primary surgery outcomes (R classification). The cohort was divided into two groups: G1 (primary-resection group) and G2 (referred group). Overall survival (OS), local recurrence-local relapse-free survival (LRFS) and distant metastasis-free survival (DMFS) were compared between groups.</p><p><strong>Results: </strong>A total of 102 trunk and extremities STS underwent surgical resection on the mentioned period, out of which 49 were primarily resected (G1) and 53 had previous resections elsewhere (G2: 33 referred for recurrent tumours and 20 referred after inadequate excision). Data on grade was available for 91 lesions and 67% (61/91) were high-grade, with no significant differences between groups. The two groups had statistically significant differences in median tumour size (G1: 9.5 cm versus G2: 4 cm; <i>p</i> < 0.001), preoperative radiotherapy (6 versus 0; <i>p</i> = 0.01) and complete resection margins at first surgery (G1: 46 versus G2 3; <i>p</i> = 0.0001). All patients in G1 had macroscopic complete bloc resections (94% R0 and 6% planned R1 margins). In G2, residual disease was present in 35% (7/20) of the re-resection specimens. All recurrent tumours had macroscopic complete resections at our center (80% R0 and 20% R1 margins). Discussion within a specialised multidisciplinary tumour board was also significantly different between both groups of patients (98% versus 3.8%; <i>p</i> < 0.00001). Three-year LRFS was found to be significantly better when primary surgery was performed at a reference center, with 91% versus 32% (log-rank <i>p</i> < 0.0001). No differences were seen in 3-year DMFS (68.7% versus 72.6%, p = 0.55) and OS (85.3% versus 88.1%, <i>p</i> = 0.72). Positive resection margins at first surgery correlated with worse LRFS (OR 23.1, <i>p</i> = 0.01).</p><p><strong>Conclusion: </strong>Better local control was achieved in patients initially treated at our center. Being surgical margin status is the primary prognostic factor for LRFS, STS should be treated in referral centers where a multidisciplinary approach and proper oncologic resections following sarcomas guidelines recommendations are standard of care. Hence, the importance of a prompt referral even before any intervention in the event of a suspected diagnosis.</p>","PeriodicalId":11460,"journal":{"name":"ecancermedicalscience","volume":"19 ","pages":"1933"},"PeriodicalIF":1.3000,"publicationDate":"2025-06-26","publicationTypes":"Journal Article","fieldsOfStudy":null,"isOpenAccess":false,"openAccessPdf":"https://www.ncbi.nlm.nih.gov/pmc/articles/PMC12221248/pdf/","citationCount":"0","resultStr":"{\"title\":\"Primary treated versus referred trunk and extremities soft tissue sarcomas: comparative analysis of initial treatment impact on disease control.\",\"authors\":\"Walter S Nardi, Lucía Aragone, Sergio D Quildrian\",\"doi\":\"10.3332/ecancer.2025.1933\",\"DOIUrl\":null,\"url\":null,\"abstract\":\"<p><strong>Introduction: </strong>Soft tissue sarcomas (STS) are rare and aggressive tumours that require a complex multimodal treatment at referral centers. However, they are often misdiagnosed and subsequently improperly treated at non-specialised centers. A multidisciplinary approach is mandatory for these tumours, involving multiple specialties. Therefore, management should be carried out in reference centers for STS. We aimed to compare oncological outcomes of trunk and extremities STS primarily treated at a reference center versus those referred after initial surgical treatment elsewhere.</p><p><strong>Methods: </strong>All patients with diagnosis of trunk and extremities STS between January 2010 and May 2024, primarily operated at our center or referred after treatment elsewhere, were included. Visceral, retroperitoneal/pelvic, spermatic cord and head/neck STS were excluded, as well as desmoid tumours and dermatofibrosarcoma protuberans subtype. Demographic data and tumour characteristics were evaluated (location, size, French Federation of Cancer Centers Sarcoma Group grade, neo/adjuvant treatment) as well as primary surgery outcomes (R classification). The cohort was divided into two groups: G1 (primary-resection group) and G2 (referred group). Overall survival (OS), local recurrence-local relapse-free survival (LRFS) and distant metastasis-free survival (DMFS) were compared between groups.</p><p><strong>Results: </strong>A total of 102 trunk and extremities STS underwent surgical resection on the mentioned period, out of which 49 were primarily resected (G1) and 53 had previous resections elsewhere (G2: 33 referred for recurrent tumours and 20 referred after inadequate excision). Data on grade was available for 91 lesions and 67% (61/91) were high-grade, with no significant differences between groups. The two groups had statistically significant differences in median tumour size (G1: 9.5 cm versus G2: 4 cm; <i>p</i> < 0.001), preoperative radiotherapy (6 versus 0; <i>p</i> = 0.01) and complete resection margins at first surgery (G1: 46 versus G2 3; <i>p</i> = 0.0001). All patients in G1 had macroscopic complete bloc resections (94% R0 and 6% planned R1 margins). In G2, residual disease was present in 35% (7/20) of the re-resection specimens. All recurrent tumours had macroscopic complete resections at our center (80% R0 and 20% R1 margins). Discussion within a specialised multidisciplinary tumour board was also significantly different between both groups of patients (98% versus 3.8%; <i>p</i> < 0.00001). Three-year LRFS was found to be significantly better when primary surgery was performed at a reference center, with 91% versus 32% (log-rank <i>p</i> < 0.0001). No differences were seen in 3-year DMFS (68.7% versus 72.6%, p = 0.55) and OS (85.3% versus 88.1%, <i>p</i> = 0.72). Positive resection margins at first surgery correlated with worse LRFS (OR 23.1, <i>p</i> = 0.01).</p><p><strong>Conclusion: </strong>Better local control was achieved in patients initially treated at our center. Being surgical margin status is the primary prognostic factor for LRFS, STS should be treated in referral centers where a multidisciplinary approach and proper oncologic resections following sarcomas guidelines recommendations are standard of care. Hence, the importance of a prompt referral even before any intervention in the event of a suspected diagnosis.</p>\",\"PeriodicalId\":11460,\"journal\":{\"name\":\"ecancermedicalscience\",\"volume\":\"19 \",\"pages\":\"1933\"},\"PeriodicalIF\":1.3000,\"publicationDate\":\"2025-06-26\",\"publicationTypes\":\"Journal Article\",\"fieldsOfStudy\":null,\"isOpenAccess\":false,\"openAccessPdf\":\"https://www.ncbi.nlm.nih.gov/pmc/articles/PMC12221248/pdf/\",\"citationCount\":\"0\",\"resultStr\":null,\"platform\":\"Semanticscholar\",\"paperid\":null,\"PeriodicalName\":\"ecancermedicalscience\",\"FirstCategoryId\":\"1085\",\"ListUrlMain\":\"https://doi.org/10.3332/ecancer.2025.1933\",\"RegionNum\":0,\"RegionCategory\":null,\"ArticlePicture\":[],\"TitleCN\":null,\"AbstractTextCN\":null,\"PMCID\":null,\"EPubDate\":\"2025/1/1 0:00:00\",\"PubModel\":\"eCollection\",\"JCR\":\"Q4\",\"JCRName\":\"ONCOLOGY\",\"Score\":null,\"Total\":0}","platform":"Semanticscholar","paperid":null,"PeriodicalName":"ecancermedicalscience","FirstCategoryId":"1085","ListUrlMain":"https://doi.org/10.3332/ecancer.2025.1933","RegionNum":0,"RegionCategory":null,"ArticlePicture":[],"TitleCN":null,"AbstractTextCN":null,"PMCID":null,"EPubDate":"2025/1/1 0:00:00","PubModel":"eCollection","JCR":"Q4","JCRName":"ONCOLOGY","Score":null,"Total":0}
引用次数: 0

摘要

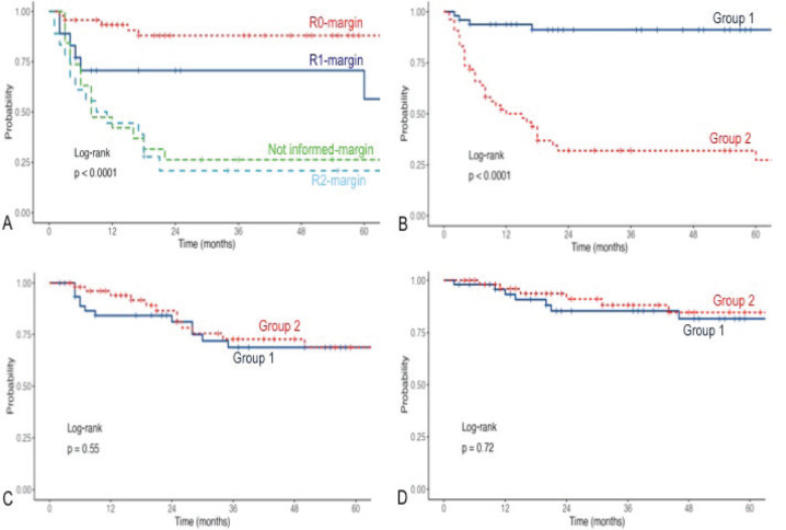
简介:软组织肉瘤(STS)是罕见的侵袭性肿瘤,需要在转诊中心进行复杂的多模式治疗。然而,他们经常被误诊,随后在非专业中心接受不当治疗。多学科的方法是强制性的这些肿瘤,涉及多个专业。因此,应在STS参考中心进行管理。我们的目的是比较在参考中心主要治疗的躯干和四肢STS与在其他地方接受初始手术治疗的患者的肿瘤预后。方法:2010年1月至2024年5月期间,所有在本中心手术或在其他地方治疗后转诊的躯干和四肢STS患者。排除内脏、腹膜后/盆腔、精索和头颈部STS,以及硬纤维瘤和皮肤纤维肉瘤前突亚型。评估了人口统计学数据和肿瘤特征(位置、大小、法国癌症中心联合会肉瘤组分级、新/辅助治疗)以及主要手术结果(R分类)。队列分为两组:G1(原发切除组)和G2(参考组)。比较两组总生存期(OS)、局部复发-局部无复发生存期(LRFS)和远端无转移生存期(DMFS)。结果:102例躯干和四肢STS在上述期间接受了手术切除,其中49例主要切除(G1), 53例既往在其他地方切除(G2: 33例为复发肿瘤,20例为切除不充分)。91个病变的分级数据,67%(61/91)为高级别,组间无显著差异。两组中位肿瘤大小差异有统计学意义(G1: 9.5 cm vs G2: 4 cm;P < 0.001),术前放疗(6比0;p = 0.01)和首次手术完全切除边缘(G1: 46对G2 3;P = 0.0001)。所有G1患者均行宏观全组切除(94% R0和6%计划R1切缘)。在G2中,35%(7/20)的再切除标本存在残留病变。所有复发肿瘤均在中心行肉眼完全切除(80% R0和20% R1边缘)。在一个专门的多学科肿瘤委员会中,两组患者的讨论也有显著差异(98%对3.8%;P < 0.00001)。在参考中心进行初始手术时,3年LRFS明显更好,分别为91%和32% (log-rank p < 0.0001)。3年DMFS(68.7%比72.6%,p = 0.55)和OS(85.3%比88.1%,p = 0.72)无差异。首次手术阳性切缘与较差的LRFS相关(OR 23.1, p = 0.01)。结论:初诊患者局部控制较好。由于手术边缘状态是LRFS的主要预后因素,STS应该在转诊中心治疗,在转诊中心,多学科方法和适当的肿瘤切除术是肉瘤指南推荐的标准治疗方法。因此,重要的是及时转诊,甚至在任何干预之前,在一个可疑的诊断事件。
本文章由计算机程序翻译,如有差异,请以英文原文为准。

Primary treated versus referred trunk and extremities soft tissue sarcomas: comparative analysis of initial treatment impact on disease control.

Primary treated versus referred trunk and extremities soft tissue sarcomas: comparative analysis of initial treatment impact on disease control.

Introduction: Soft tissue sarcomas (STS) are rare and aggressive tumours that require a complex multimodal treatment at referral centers. However, they are often misdiagnosed and subsequently improperly treated at non-specialised centers. A multidisciplinary approach is mandatory for these tumours, involving multiple specialties. Therefore, management should be carried out in reference centers for STS. We aimed to compare oncological outcomes of trunk and extremities STS primarily treated at a reference center versus those referred after initial surgical treatment elsewhere.

Methods: All patients with diagnosis of trunk and extremities STS between January 2010 and May 2024, primarily operated at our center or referred after treatment elsewhere, were included. Visceral, retroperitoneal/pelvic, spermatic cord and head/neck STS were excluded, as well as desmoid tumours and dermatofibrosarcoma protuberans subtype. Demographic data and tumour characteristics were evaluated (location, size, French Federation of Cancer Centers Sarcoma Group grade, neo/adjuvant treatment) as well as primary surgery outcomes (R classification). The cohort was divided into two groups: G1 (primary-resection group) and G2 (referred group). Overall survival (OS), local recurrence-local relapse-free survival (LRFS) and distant metastasis-free survival (DMFS) were compared between groups.

Results: A total of 102 trunk and extremities STS underwent surgical resection on the mentioned period, out of which 49 were primarily resected (G1) and 53 had previous resections elsewhere (G2: 33 referred for recurrent tumours and 20 referred after inadequate excision). Data on grade was available for 91 lesions and 67% (61/91) were high-grade, with no significant differences between groups. The two groups had statistically significant differences in median tumour size (G1: 9.5 cm versus G2: 4 cm; p < 0.001), preoperative radiotherapy (6 versus 0; p = 0.01) and complete resection margins at first surgery (G1: 46 versus G2 3; p = 0.0001). All patients in G1 had macroscopic complete bloc resections (94% R0 and 6% planned R1 margins). In G2, residual disease was present in 35% (7/20) of the re-resection specimens. All recurrent tumours had macroscopic complete resections at our center (80% R0 and 20% R1 margins). Discussion within a specialised multidisciplinary tumour board was also significantly different between both groups of patients (98% versus 3.8%; p < 0.00001). Three-year LRFS was found to be significantly better when primary surgery was performed at a reference center, with 91% versus 32% (log-rank p < 0.0001). No differences were seen in 3-year DMFS (68.7% versus 72.6%, p = 0.55) and OS (85.3% versus 88.1%, p = 0.72). Positive resection margins at first surgery correlated with worse LRFS (OR 23.1, p = 0.01).

Conclusion: Better local control was achieved in patients initially treated at our center. Being surgical margin status is the primary prognostic factor for LRFS, STS should be treated in referral centers where a multidisciplinary approach and proper oncologic resections following sarcomas guidelines recommendations are standard of care. Hence, the importance of a prompt referral even before any intervention in the event of a suspected diagnosis.

求助全文
通过发布文献求助,成功后即可免费获取论文全文。 去求助
来源期刊
CiteScore
3.80
自引率
5.60%
发文量
138
审稿时长
27 weeks
×
引用
GB/T 7714-2015
复制
MLA
复制
APA
复制
导出至
BibTeX EndNote RefMan NoteFirst NoteExpress
×
提示
您的信息不完整,为了账户安全,请先补充。
现在去补充
×
提示
您因"违规操作"
具体请查看互助需知
我知道了
×
提示
确定
请完成安全验证×
copy
已复制链接
快去分享给好友吧!
我知道了
右上角分享
点击右上角分享
0
联系我们:info@booksci.cn Book学术提供免费学术资源搜索服务,方便国内外学者检索中英文文献。致力于提供最便捷和优质的服务体验。 Copyright © 2023 布克学术 All rights reserved.
京ICP备2023020795号-1
ghs 京公网安备 11010802042870号
Book学术文献互助
Book学术文献互助群
群 号:604180095
Book学术官方微信