住院儿童麻疹的实验室参数和临床表现:来自波斯尼亚和黑塞哥维那萨拉热窝的单中心研究

Q2 Medicine
Berina Hasanefendic, Lejla Avdagic, Semir Hrvo, Amila Muratspahic, Aleksandra Pasic, Selma Mutevelic, Emir Sehercehajic, Senita Beharic, Senad Murtic
{"title":"住院儿童麻疹的实验室参数和临床表现:来自波斯尼亚和黑塞哥维那萨拉热窝的单中心研究","authors":"Berina Hasanefendic, Lejla Avdagic, Semir Hrvo, Amila Muratspahic, Aleksandra Pasic, Selma Mutevelic, Emir Sehercehajic, Senita Beharic, Senad Murtic","doi":"10.5455/aim.2025.33.101-106","DOIUrl":null,"url":null,"abstract":"<p><strong>Background: </strong>T Measles is a viral, highly contagious disease from the group of rash fevers, which mainly affects children. Persons suffering from measles are considered contagious four days before and four days during the period of the appearance of measles, which favors its faster spread. Clinical observation and laboratory diagnostics are essential for monitoring the course of the disease in order to prevent complications.</p><p><strong>Objective: </strong>Our study aimed to analyze the significance and usefulness of laboratory tests on admission to hospital in pediatric patients with measles.</p><p><strong>Methods: </strong>This prospective study included children with confirmed measles infection who came accompanied by parents to the Infectious Disease Clinic of the Clinical Center of the University of Sarajevo during nine months. Data on age, sex, symptoms and results of laboratory analyzes (biochemical, hematological and coagulation) were recorded.</p><p><strong>Results: </strong>The study included a total of 302 subjects, including 122 healthy controls and 180 measles patients. Significantly lower values observed for aPTT, absolute number of eosinophils and basophils, RBC, hemoglobin, hematocrit, MCV, MCH, MCHC in measles patients. Significantly higher values were observed for fibrinogen, D-dimer, WBC, neutrophils, lymphocytes, monocytes, RDW and MPV in measles patients in contrast to controls. Significantly higher values were also observed for serum chloride, glucose, CRP, AST, ALT and LDH values. AST/ALT, NLR, PLR, NPR, LMR, LCR, SII and AISI also showed significant differences in measles patients compared to controls.</p><p><strong>Conclusion: </strong>The results of our study showed that laboratory tests have great significance and potential in measles in pediatric patients admitted to the hospital. Lymphocyte/C-reactive protein ratio also showed good diagnostic potential.</p>","PeriodicalId":7074,"journal":{"name":"Acta Informatica Medica","volume":"33 2","pages":"101-106"},"PeriodicalIF":0.0000,"publicationDate":"2025-01-01","publicationTypes":"Journal Article","fieldsOfStudy":null,"isOpenAccess":false,"openAccessPdf":"https://www.ncbi.nlm.nih.gov/pmc/articles/PMC12212242/pdf/","citationCount":"0","resultStr":"{\"title\":\"Laboratory Parameters and Clinical Presentation of Children with Measles on Hospital Admission: Single-center Study from Sarajevo, Bosnia and Herzegovina.\",\"authors\":\"Berina Hasanefendic, Lejla Avdagic, Semir Hrvo, Amila Muratspahic, Aleksandra Pasic, Selma Mutevelic, Emir Sehercehajic, Senita Beharic, Senad Murtic\",\"doi\":\"10.5455/aim.2025.33.101-106\",\"DOIUrl\":null,\"url\":null,\"abstract\":\"<p><strong>Background: </strong>T Measles is a viral, highly contagious disease from the group of rash fevers, which mainly affects children. Persons suffering from measles are considered contagious four days before and four days during the period of the appearance of measles, which favors its faster spread. Clinical observation and laboratory diagnostics are essential for monitoring the course of the disease in order to prevent complications.</p><p><strong>Objective: </strong>Our study aimed to analyze the significance and usefulness of laboratory tests on admission to hospital in pediatric patients with measles.</p><p><strong>Methods: </strong>This prospective study included children with confirmed measles infection who came accompanied by parents to the Infectious Disease Clinic of the Clinical Center of the University of Sarajevo during nine months. Data on age, sex, symptoms and results of laboratory analyzes (biochemical, hematological and coagulation) were recorded.</p><p><strong>Results: </strong>The study included a total of 302 subjects, including 122 healthy controls and 180 measles patients. Significantly lower values observed for aPTT, absolute number of eosinophils and basophils, RBC, hemoglobin, hematocrit, MCV, MCH, MCHC in measles patients. Significantly higher values were observed for fibrinogen, D-dimer, WBC, neutrophils, lymphocytes, monocytes, RDW and MPV in measles patients in contrast to controls. Significantly higher values were also observed for serum chloride, glucose, CRP, AST, ALT and LDH values. AST/ALT, NLR, PLR, NPR, LMR, LCR, SII and AISI also showed significant differences in measles patients compared to controls.</p><p><strong>Conclusion: </strong>The results of our study showed that laboratory tests have great significance and potential in measles in pediatric patients admitted to the hospital. Lymphocyte/C-reactive protein ratio also showed good diagnostic potential.</p>\",\"PeriodicalId\":7074,\"journal\":{\"name\":\"Acta Informatica Medica\",\"volume\":\"33 2\",\"pages\":\"101-106\"},\"PeriodicalIF\":0.0000,\"publicationDate\":\"2025-01-01\",\"publicationTypes\":\"Journal Article\",\"fieldsOfStudy\":null,\"isOpenAccess\":false,\"openAccessPdf\":\"https://www.ncbi.nlm.nih.gov/pmc/articles/PMC12212242/pdf/\",\"citationCount\":\"0\",\"resultStr\":null,\"platform\":\"Semanticscholar\",\"paperid\":null,\"PeriodicalName\":\"Acta Informatica Medica\",\"FirstCategoryId\":\"1085\",\"ListUrlMain\":\"https://doi.org/10.5455/aim.2025.33.101-106\",\"RegionNum\":0,\"RegionCategory\":null,\"ArticlePicture\":[],\"TitleCN\":null,\"AbstractTextCN\":null,\"PMCID\":null,\"EPubDate\":\"\",\"PubModel\":\"\",\"JCR\":\"Q2\",\"JCRName\":\"Medicine\",\"Score\":null,\"Total\":0}","platform":"Semanticscholar","paperid":null,"PeriodicalName":"Acta Informatica Medica","FirstCategoryId":"1085","ListUrlMain":"https://doi.org/10.5455/aim.2025.33.101-106","RegionNum":0,"RegionCategory":null,"ArticlePicture":[],"TitleCN":null,"AbstractTextCN":null,"PMCID":null,"EPubDate":"","PubModel":"","JCR":"Q2","JCRName":"Medicine","Score":null,"Total":0}
引用次数: 0

摘要

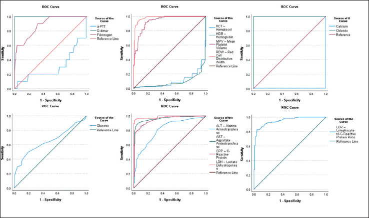
背景:麻疹是一种来自皮疹热群的病毒性高传染性疾病,主要影响儿童。患有麻疹的人在麻疹出现前4天和出现期间的4天被认为具有传染性,这有利于其更快地传播。临床观察和实验室诊断对于监测病程以预防并发症至关重要。目的:分析儿科麻疹患者入院时实验室检查的意义和有用性。方法:本前瞻性研究纳入了在父母陪同下到萨拉热窝大学临床中心传染病诊所就诊9个月的确诊麻疹感染儿童。记录患者的年龄、性别、症状和实验室分析结果(生化、血液学和凝血学)。结果:本研究共纳入302名受试者,其中健康对照122人,麻疹患者180人。麻疹患者aPTT、嗜酸性粒细胞和嗜碱性粒细胞绝对数量、红细胞、血红蛋白、红细胞压积、MCV、MCH、MCHC均显著降低。与对照组相比,麻疹患者的纤维蛋白原、d -二聚体、白细胞、中性粒细胞、淋巴细胞、单核细胞、RDW和MPV值显著升高。血清氯化物、葡萄糖、CRP、AST、ALT和LDH值也显著升高。与对照组相比,麻疹患者AST/ALT、NLR、PLR、NPR、LMR、LCR、SII和AISI也存在显著差异。结论:我们的研究结果表明,实验室检查在住院儿童麻疹患者中具有重要的意义和潜力。淋巴细胞/ c反应蛋白比值也显示出良好的诊断潜力。
本文章由计算机程序翻译,如有差异,请以英文原文为准。

Laboratory Parameters and Clinical Presentation of Children with Measles on Hospital Admission: Single-center Study from Sarajevo, Bosnia and Herzegovina.

Laboratory Parameters and Clinical Presentation of Children with Measles on Hospital Admission: Single-center Study from Sarajevo, Bosnia and Herzegovina.

Background: T Measles is a viral, highly contagious disease from the group of rash fevers, which mainly affects children. Persons suffering from measles are considered contagious four days before and four days during the period of the appearance of measles, which favors its faster spread. Clinical observation and laboratory diagnostics are essential for monitoring the course of the disease in order to prevent complications.

Objective: Our study aimed to analyze the significance and usefulness of laboratory tests on admission to hospital in pediatric patients with measles.

Methods: This prospective study included children with confirmed measles infection who came accompanied by parents to the Infectious Disease Clinic of the Clinical Center of the University of Sarajevo during nine months. Data on age, sex, symptoms and results of laboratory analyzes (biochemical, hematological and coagulation) were recorded.

Results: The study included a total of 302 subjects, including 122 healthy controls and 180 measles patients. Significantly lower values observed for aPTT, absolute number of eosinophils and basophils, RBC, hemoglobin, hematocrit, MCV, MCH, MCHC in measles patients. Significantly higher values were observed for fibrinogen, D-dimer, WBC, neutrophils, lymphocytes, monocytes, RDW and MPV in measles patients in contrast to controls. Significantly higher values were also observed for serum chloride, glucose, CRP, AST, ALT and LDH values. AST/ALT, NLR, PLR, NPR, LMR, LCR, SII and AISI also showed significant differences in measles patients compared to controls.

Conclusion: The results of our study showed that laboratory tests have great significance and potential in measles in pediatric patients admitted to the hospital. Lymphocyte/C-reactive protein ratio also showed good diagnostic potential.

求助全文
通过发布文献求助,成功后即可免费获取论文全文。 去求助
来源期刊
Acta Informatica Medica
Acta Informatica Medica Medicine-Medicine (all)
CiteScore
2.90
自引率
0.00%
发文量
37
×
引用
GB/T 7714-2015
复制
MLA
复制
APA
复制
导出至
BibTeX EndNote RefMan NoteFirst NoteExpress
×
提示
您的信息不完整,为了账户安全,请先补充。
现在去补充
×
提示
您因"违规操作"
具体请查看互助需知
我知道了
×
提示
确定
请完成安全验证×
copy
已复制链接
快去分享给好友吧!
我知道了
右上角分享
点击右上角分享
0
联系我们:info@booksci.cn Book学术提供免费学术资源搜索服务,方便国内外学者检索中英文文献。致力于提供最便捷和优质的服务体验。 Copyright © 2023 布克学术 All rights reserved.
京ICP备2023020795号-1
ghs 京公网安备 11010802042870号
Book学术文献互助
Book学术文献互助群
群 号:604180095
Book学术官方微信