2017年牙周和种植周疾病分类知识对牙科学生诊断准确性的影响

IF 1.8 Q3 DENTISTRY, ORAL SURGERY & MEDICINE
Frontiers in dental medicine Pub Date : 2025-06-17 eCollection Date: 2025-01-01 DOI:10.3389/fdmed.2025.1558380
Shatha Bamashmous, Abdullaziz Farahat, Waleed Alharbi, Arwa Banjar, Amal Jamjoom, Arwa Badahdah
{"title":"2017年牙周和种植周疾病分类知识对牙科学生诊断准确性的影响","authors":"Shatha Bamashmous, Abdullaziz Farahat, Waleed Alharbi, Arwa Banjar, Amal Jamjoom, Arwa Badahdah","doi":"10.3389/fdmed.2025.1558380","DOIUrl":null,"url":null,"abstract":"<p><strong>Background: </strong>Periodontal diseases are a significant global health problem and have been associated with various systemic diseases. The American Academy of Periodontology (AAP) and the European Federation of Periodontology (EFP) introduced a new classification system for periodontal and peri-implant diseases in 2017. However, the complexity of this new classification has presented some challenges in its implementation compared to the 1999 classification system. This study evaluates the impact of dental students' knowledge of the 2017 classification on their ability to diagnose periodontal diseases accurately.</p><p><strong>Materials and methods: </strong>This cross-sectional study enrolled 146 fifth- and sixth-year dental students from King Abdulaziz University in Jeddah, Saudi Arabia. A self-reported questionnaire was employed to assess students' knowledge of the 2017 periodontal classification system and their diagnostic abilities across five clinical cases. Students were classified into low, moderate, and high knowledge groups based on their knowledge questionnaire scores. Statistical analyses assessed the relationship between classification knowledge and diagnostic accuracy and compared these measures across different groups.</p><p><strong>Results: </strong>In the study, 41.10% of participants achieved high knowledge scores (14-16 correct answers), while 32.88% and 26.03% were categorized into moderate and low knowledge groups, respectively. There was no significant association between knowledge levels and diagnostic accuracy, except for one specific clinical case. While sixth-year students scored significantly higher in the knowledge assessment than fifth-year students (<i>p</i> = 0.005), their diagnostic accuracy did not significantly differ. The main challenge, as reported by students, was the discrepancy between case complexity and their clinical experience (28.1%).</p><p><strong>Conclusion: </strong>This study found no significant impact of dental students' knowledge of the 2017 periodontal classification system on diagnostic accuracy. Challenges such as discrepancies between case complexity and clinical experience and teaching inconsistencies underscore the need for enhanced clinical simulations, case-based learning, and targeted educational training to improve diagnostic accuracy and clinical competence.</p>","PeriodicalId":73077,"journal":{"name":"Frontiers in dental medicine","volume":"6 ","pages":"1558380"},"PeriodicalIF":1.8000,"publicationDate":"2025-06-17","publicationTypes":"Journal Article","fieldsOfStudy":null,"isOpenAccess":false,"openAccessPdf":"https://www.ncbi.nlm.nih.gov/pmc/articles/PMC12209212/pdf/","citationCount":"0","resultStr":"{\"title\":\"Impact of knowledge of the 2017 classification for periodontal and peri-implant diseases on diagnostic accuracy among dental students.\",\"authors\":\"Shatha Bamashmous, Abdullaziz Farahat, Waleed Alharbi, Arwa Banjar, Amal Jamjoom, Arwa Badahdah\",\"doi\":\"10.3389/fdmed.2025.1558380\",\"DOIUrl\":null,\"url\":null,\"abstract\":\"<p><strong>Background: </strong>Periodontal diseases are a significant global health problem and have been associated with various systemic diseases. The American Academy of Periodontology (AAP) and the European Federation of Periodontology (EFP) introduced a new classification system for periodontal and peri-implant diseases in 2017. However, the complexity of this new classification has presented some challenges in its implementation compared to the 1999 classification system. This study evaluates the impact of dental students' knowledge of the 2017 classification on their ability to diagnose periodontal diseases accurately.</p><p><strong>Materials and methods: </strong>This cross-sectional study enrolled 146 fifth- and sixth-year dental students from King Abdulaziz University in Jeddah, Saudi Arabia. A self-reported questionnaire was employed to assess students' knowledge of the 2017 periodontal classification system and their diagnostic abilities across five clinical cases. Students were classified into low, moderate, and high knowledge groups based on their knowledge questionnaire scores. Statistical analyses assessed the relationship between classification knowledge and diagnostic accuracy and compared these measures across different groups.</p><p><strong>Results: </strong>In the study, 41.10% of participants achieved high knowledge scores (14-16 correct answers), while 32.88% and 26.03% were categorized into moderate and low knowledge groups, respectively. There was no significant association between knowledge levels and diagnostic accuracy, except for one specific clinical case. While sixth-year students scored significantly higher in the knowledge assessment than fifth-year students (<i>p</i> = 0.005), their diagnostic accuracy did not significantly differ. The main challenge, as reported by students, was the discrepancy between case complexity and their clinical experience (28.1%).</p><p><strong>Conclusion: </strong>This study found no significant impact of dental students' knowledge of the 2017 periodontal classification system on diagnostic accuracy. Challenges such as discrepancies between case complexity and clinical experience and teaching inconsistencies underscore the need for enhanced clinical simulations, case-based learning, and targeted educational training to improve diagnostic accuracy and clinical competence.</p>\",\"PeriodicalId\":73077,\"journal\":{\"name\":\"Frontiers in dental medicine\",\"volume\":\"6 \",\"pages\":\"1558380\"},\"PeriodicalIF\":1.8000,\"publicationDate\":\"2025-06-17\",\"publicationTypes\":\"Journal Article\",\"fieldsOfStudy\":null,\"isOpenAccess\":false,\"openAccessPdf\":\"https://www.ncbi.nlm.nih.gov/pmc/articles/PMC12209212/pdf/\",\"citationCount\":\"0\",\"resultStr\":null,\"platform\":\"Semanticscholar\",\"paperid\":null,\"PeriodicalName\":\"Frontiers in dental medicine\",\"FirstCategoryId\":\"1085\",\"ListUrlMain\":\"https://doi.org/10.3389/fdmed.2025.1558380\",\"RegionNum\":0,\"RegionCategory\":null,\"ArticlePicture\":[],\"TitleCN\":null,\"AbstractTextCN\":null,\"PMCID\":null,\"EPubDate\":\"2025/1/1 0:00:00\",\"PubModel\":\"eCollection\",\"JCR\":\"Q3\",\"JCRName\":\"DENTISTRY, ORAL SURGERY & MEDICINE\",\"Score\":null,\"Total\":0}","platform":"Semanticscholar","paperid":null,"PeriodicalName":"Frontiers in dental medicine","FirstCategoryId":"1085","ListUrlMain":"https://doi.org/10.3389/fdmed.2025.1558380","RegionNum":0,"RegionCategory":null,"ArticlePicture":[],"TitleCN":null,"AbstractTextCN":null,"PMCID":null,"EPubDate":"2025/1/1 0:00:00","PubModel":"eCollection","JCR":"Q3","JCRName":"DENTISTRY, ORAL SURGERY & MEDICINE","Score":null,"Total":0}
引用次数: 0

摘要

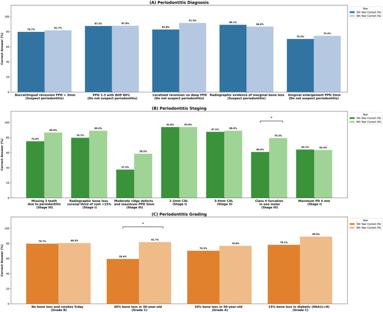
背景:牙周病是一个重要的全球健康问题,并与各种全身性疾病有关。2017年,美国牙周病学会(AAP)和欧洲牙周病联合会(EFP)推出了牙周和种植体周围疾病的新分类系统。然而,与1999年的分类制度相比,新分类的复杂性给其实施带来了一些挑战。本研究评估了牙科学生对2017年牙周病分类知识对其准确诊断牙周病能力的影响。材料和方法:本横断面研究招募了来自沙特阿拉伯吉达国王阿卜杜勒阿齐兹大学的146名五年级和六年级牙科学生。采用自填问卷,评估学生对2017牙周分类系统的了解程度和5例临床病例的诊断能力。根据学生的知识问卷得分,将学生分为低、中、高知识组。统计分析评估了分类知识和诊断准确性之间的关系,并比较了不同组的这些措施。结果:在本研究中,41.10%的参与者获得高知识得分(14-16个正确答案),32.88%的参与者被划分为中等知识组,26.03%的参与者被划分为低知识组。除了一个特殊的临床病例外,知识水平和诊断准确性之间没有显著的关联。虽然六年级学生在知识评估中的得分明显高于五年级学生(p = 0.005),但他们的诊断准确性没有显著差异。学生报告的主要挑战是病例复杂性与他们的临床经验之间的差异(28.1%)。结论:本研究发现牙科学生对2017牙周分类系统的了解对诊断准确性没有显著影响。病例复杂性与临床经验之间的差异以及教学不一致等挑战强调了加强临床模拟、基于病例的学习和有针对性的教育培训以提高诊断准确性和临床能力的必要性。
本文章由计算机程序翻译,如有差异,请以英文原文为准。

Impact of knowledge of the 2017 classification for periodontal and peri-implant diseases on diagnostic accuracy among dental students.

Impact of knowledge of the 2017 classification for periodontal and peri-implant diseases on diagnostic accuracy among dental students.

Impact of knowledge of the 2017 classification for periodontal and peri-implant diseases on diagnostic accuracy among dental students.

Impact of knowledge of the 2017 classification for periodontal and peri-implant diseases on diagnostic accuracy among dental students.

Background: Periodontal diseases are a significant global health problem and have been associated with various systemic diseases. The American Academy of Periodontology (AAP) and the European Federation of Periodontology (EFP) introduced a new classification system for periodontal and peri-implant diseases in 2017. However, the complexity of this new classification has presented some challenges in its implementation compared to the 1999 classification system. This study evaluates the impact of dental students' knowledge of the 2017 classification on their ability to diagnose periodontal diseases accurately.

Materials and methods: This cross-sectional study enrolled 146 fifth- and sixth-year dental students from King Abdulaziz University in Jeddah, Saudi Arabia. A self-reported questionnaire was employed to assess students' knowledge of the 2017 periodontal classification system and their diagnostic abilities across five clinical cases. Students were classified into low, moderate, and high knowledge groups based on their knowledge questionnaire scores. Statistical analyses assessed the relationship between classification knowledge and diagnostic accuracy and compared these measures across different groups.

Results: In the study, 41.10% of participants achieved high knowledge scores (14-16 correct answers), while 32.88% and 26.03% were categorized into moderate and low knowledge groups, respectively. There was no significant association between knowledge levels and diagnostic accuracy, except for one specific clinical case. While sixth-year students scored significantly higher in the knowledge assessment than fifth-year students (p = 0.005), their diagnostic accuracy did not significantly differ. The main challenge, as reported by students, was the discrepancy between case complexity and their clinical experience (28.1%).

Conclusion: This study found no significant impact of dental students' knowledge of the 2017 periodontal classification system on diagnostic accuracy. Challenges such as discrepancies between case complexity and clinical experience and teaching inconsistencies underscore the need for enhanced clinical simulations, case-based learning, and targeted educational training to improve diagnostic accuracy and clinical competence.

求助全文
通过发布文献求助,成功后即可免费获取论文全文。 去求助
来源期刊
CiteScore
2.10
自引率
0.00%
发文量
0
审稿时长
13 weeks
×
引用
GB/T 7714-2015
复制
MLA
复制
APA
复制
导出至
BibTeX EndNote RefMan NoteFirst NoteExpress
×
提示
您的信息不完整,为了账户安全,请先补充。
现在去补充
×
提示
您因"违规操作"
具体请查看互助需知
我知道了
×
提示
确定
请完成安全验证×
copy
已复制链接
快去分享给好友吧!
我知道了
右上角分享
点击右上角分享
0
联系我们:info@booksci.cn Book学术提供免费学术资源搜索服务,方便国内外学者检索中英文文献。致力于提供最便捷和优质的服务体验。 Copyright © 2023 布克学术 All rights reserved.
京ICP备2023020795号-1
ghs 京公网安备 11010802042870号
Book学术文献互助
Book学术文献互助群
群 号:604180095
Book学术官方微信