弥漫性大b细胞淋巴瘤患者中枢神经系统复发的基因组危险因素。

IF 2.8 Q2 HEMATOLOGY
Shiyu Jiang, Qunling Zhang, Jia Jin, Wenhao Zhang
{"title":"弥漫性大b细胞淋巴瘤患者中枢神经系统复发的基因组危险因素。","authors":"Shiyu Jiang, Qunling Zhang, Jia Jin, Wenhao Zhang","doi":"10.1007/s44313-025-00087-1","DOIUrl":null,"url":null,"abstract":"<p><strong>Purpose: </strong>Central nervous system (CNS) relapse is associated with poor survival, and remains an unmet challenge in patients with diffuse large B-cell lymphoma (DLBCL). Identifying patients at high risk of CNS relapse and offering prophylactic treatment could improve patient prognosis.</p><p><strong>Methods: </strong>Here, we studied 234 patients with DLBCL using open patient-level clinical and sequencing data to explore risk factors for CNS relapse. Patients were divided into Cohort A (CNS involvement at baseline), Cohort B (CNS recurrence), and Cohort C (patients without secondary CNS involvement and with a follow-up interval > 3 years). We investigated the risk factors for CNS relapse in Cohorts B + C.</p><p><strong>Results: </strong>Genetic alterations with statistical significance, determined by univariate analysis, and an incidence rate ≥ 5%, together with clinical factors, correlated with CNS relapse risk in a multivariate analysis. Multivariate logistic regression analysis revealed that concomitant MYD88 L265P and CDKN2A loss (p = 0.012), TET2 mutation (p = 0.037), ARID1A mutation (p = 0.010), and INO80 (p = 0.002) were independently correlated with a high risk of CNS relapse after adjusting for the IPI risk groups, B symptom and cell of origin (COO). The classifier that integrated genomic risk factors was superior in predicting CNS relapse (area under the receiver operating characteristic curve [AUROC]: 0.91) compared with the IPI (AUROC: 0.77, p < 0.001) or IPI in combination with COO classifiers (AUROC: 0.81, p = 0.013).</p><p><strong>Conclusion: </strong>This study identified several genomic alterations as risk factors for CNS relapse.</p>","PeriodicalId":46224,"journal":{"name":"Blood Research","volume":"60 1","pages":"36"},"PeriodicalIF":2.8000,"publicationDate":"2025-07-01","publicationTypes":"Journal Article","fieldsOfStudy":null,"isOpenAccess":false,"openAccessPdf":"https://www.ncbi.nlm.nih.gov/pmc/articles/PMC12214237/pdf/","citationCount":"0","resultStr":"{\"title\":\"Genomic risk factors for central nervous system relapse in patients with diffuse large B-cell lymphoma.\",\"authors\":\"Shiyu Jiang, Qunling Zhang, Jia Jin, Wenhao Zhang\",\"doi\":\"10.1007/s44313-025-00087-1\",\"DOIUrl\":null,\"url\":null,\"abstract\":\"<p><strong>Purpose: </strong>Central nervous system (CNS) relapse is associated with poor survival, and remains an unmet challenge in patients with diffuse large B-cell lymphoma (DLBCL). Identifying patients at high risk of CNS relapse and offering prophylactic treatment could improve patient prognosis.</p><p><strong>Methods: </strong>Here, we studied 234 patients with DLBCL using open patient-level clinical and sequencing data to explore risk factors for CNS relapse. Patients were divided into Cohort A (CNS involvement at baseline), Cohort B (CNS recurrence), and Cohort C (patients without secondary CNS involvement and with a follow-up interval > 3 years). We investigated the risk factors for CNS relapse in Cohorts B + C.</p><p><strong>Results: </strong>Genetic alterations with statistical significance, determined by univariate analysis, and an incidence rate ≥ 5%, together with clinical factors, correlated with CNS relapse risk in a multivariate analysis. Multivariate logistic regression analysis revealed that concomitant MYD88 L265P and CDKN2A loss (p = 0.012), TET2 mutation (p = 0.037), ARID1A mutation (p = 0.010), and INO80 (p = 0.002) were independently correlated with a high risk of CNS relapse after adjusting for the IPI risk groups, B symptom and cell of origin (COO). The classifier that integrated genomic risk factors was superior in predicting CNS relapse (area under the receiver operating characteristic curve [AUROC]: 0.91) compared with the IPI (AUROC: 0.77, p < 0.001) or IPI in combination with COO classifiers (AUROC: 0.81, p = 0.013).</p><p><strong>Conclusion: </strong>This study identified several genomic alterations as risk factors for CNS relapse.</p>\",\"PeriodicalId\":46224,\"journal\":{\"name\":\"Blood Research\",\"volume\":\"60 1\",\"pages\":\"36\"},\"PeriodicalIF\":2.8000,\"publicationDate\":\"2025-07-01\",\"publicationTypes\":\"Journal Article\",\"fieldsOfStudy\":null,\"isOpenAccess\":false,\"openAccessPdf\":\"https://www.ncbi.nlm.nih.gov/pmc/articles/PMC12214237/pdf/\",\"citationCount\":\"0\",\"resultStr\":null,\"platform\":\"Semanticscholar\",\"paperid\":null,\"PeriodicalName\":\"Blood Research\",\"FirstCategoryId\":\"1085\",\"ListUrlMain\":\"https://doi.org/10.1007/s44313-025-00087-1\",\"RegionNum\":0,\"RegionCategory\":null,\"ArticlePicture\":[],\"TitleCN\":null,\"AbstractTextCN\":null,\"PMCID\":null,\"EPubDate\":\"\",\"PubModel\":\"\",\"JCR\":\"Q2\",\"JCRName\":\"HEMATOLOGY\",\"Score\":null,\"Total\":0}","platform":"Semanticscholar","paperid":null,"PeriodicalName":"Blood Research","FirstCategoryId":"1085","ListUrlMain":"https://doi.org/10.1007/s44313-025-00087-1","RegionNum":0,"RegionCategory":null,"ArticlePicture":[],"TitleCN":null,"AbstractTextCN":null,"PMCID":null,"EPubDate":"","PubModel":"","JCR":"Q2","JCRName":"HEMATOLOGY","Score":null,"Total":0}
引用次数: 0

摘要

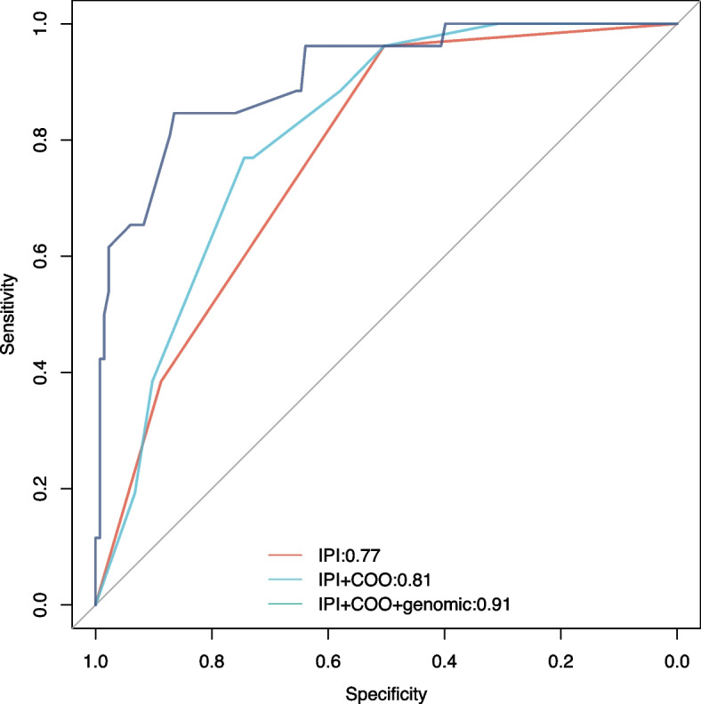
目的:中枢神经系统(CNS)复发与低生存率相关,并且仍然是弥漫性大b细胞淋巴瘤(DLBCL)患者未遇到的挑战。识别中枢神经系统复发高危患者并给予预防性治疗可改善患者预后。方法:在这里,我们研究了234例DLBCL患者,使用公开的患者水平的临床和测序数据来探索中枢神经系统复发的危险因素。患者被分为A组(基线时中枢神经系统受累)、B组(中枢神经系统复发)和C组(无继发性中枢神经系统受累,随访时间为3年)。我们调查了B + C组中枢神经系统复发的危险因素。结果:通过单因素分析确定具有统计学意义的遗传改变,发生率≥5%,与临床因素一起,在多因素分析中与CNS复发风险相关。多因素logistic回归分析显示,合并MYD88 L265P和CDKN2A缺失(p = 0.012)、TET2突变(p = 0.037)、ARID1A突变(p = 0.010)和INO80 (p = 0.002)与IPI危险组、B症状和起源细胞(COO)的CNS复发高风险独立相关。综合基因组危险因素分类器在预测中枢神经系统复发方面(受试者工作特征曲线下面积[AUROC]: 0.91)优于IPI分类器(AUROC: 0.77, p)。结论:本研究确定了几种基因组改变是中枢神经系统复发的危险因素。
本文章由计算机程序翻译,如有差异,请以英文原文为准。

Genomic risk factors for central nervous system relapse in patients with diffuse large B-cell lymphoma.

Genomic risk factors for central nervous system relapse in patients with diffuse large B-cell lymphoma.

Genomic risk factors for central nervous system relapse in patients with diffuse large B-cell lymphoma.

Purpose: Central nervous system (CNS) relapse is associated with poor survival, and remains an unmet challenge in patients with diffuse large B-cell lymphoma (DLBCL). Identifying patients at high risk of CNS relapse and offering prophylactic treatment could improve patient prognosis.

Methods: Here, we studied 234 patients with DLBCL using open patient-level clinical and sequencing data to explore risk factors for CNS relapse. Patients were divided into Cohort A (CNS involvement at baseline), Cohort B (CNS recurrence), and Cohort C (patients without secondary CNS involvement and with a follow-up interval > 3 years). We investigated the risk factors for CNS relapse in Cohorts B + C.

Results: Genetic alterations with statistical significance, determined by univariate analysis, and an incidence rate ≥ 5%, together with clinical factors, correlated with CNS relapse risk in a multivariate analysis. Multivariate logistic regression analysis revealed that concomitant MYD88 L265P and CDKN2A loss (p = 0.012), TET2 mutation (p = 0.037), ARID1A mutation (p = 0.010), and INO80 (p = 0.002) were independently correlated with a high risk of CNS relapse after adjusting for the IPI risk groups, B symptom and cell of origin (COO). The classifier that integrated genomic risk factors was superior in predicting CNS relapse (area under the receiver operating characteristic curve [AUROC]: 0.91) compared with the IPI (AUROC: 0.77, p < 0.001) or IPI in combination with COO classifiers (AUROC: 0.81, p = 0.013).

Conclusion: This study identified several genomic alterations as risk factors for CNS relapse.

求助全文
通过发布文献求助,成功后即可免费获取论文全文。 去求助
来源期刊
Blood Research
Blood Research HEMATOLOGY-
CiteScore
3.70
自引率
0.00%
发文量
64
×
引用
GB/T 7714-2015
复制
MLA
复制
APA
复制
导出至
BibTeX EndNote RefMan NoteFirst NoteExpress
×
提示
您的信息不完整,为了账户安全,请先补充。
现在去补充
×
提示
您因"违规操作"
具体请查看互助需知
我知道了
×
提示
确定
请完成安全验证×
copy
已复制链接
快去分享给好友吧!
我知道了
右上角分享
点击右上角分享
0
联系我们:info@booksci.cn Book学术提供免费学术资源搜索服务,方便国内外学者检索中英文文献。致力于提供最便捷和优质的服务体验。 Copyright © 2023 布克学术 All rights reserved.
京ICP备2023020795号-1
ghs 京公网安备 11010802042870号
Book学术文献互助
Book学术文献互助群
群 号:604180095
Book学术官方微信