血液中microrna失调与朊病毒疾病的中枢神经系统病理相关。

IF 3.5 1区 农林科学 Q1 VETERINARY SCIENCES
Sonia Pérez-Lázaro, Inmaculada Martín-Burriel, Luca Cozzuto, Julia Ponomarenko, Juan J Badiola, Rosa Bolea, Janne M Toivonen
{"title":"血液中microrna失调与朊病毒疾病的中枢神经系统病理相关。","authors":"Sonia Pérez-Lázaro, Inmaculada Martín-Burriel, Luca Cozzuto, Julia Ponomarenko, Juan J Badiola, Rosa Bolea, Janne M Toivonen","doi":"10.1186/s13567-025-01566-0","DOIUrl":null,"url":null,"abstract":"<p><p>The role of microRNAs (miRNAs) in neurodegenerative diseases has gained significant attention because of their involvement in gene regulation and potential as biomarkers. In prion diseases, including scrapie, miRNAs may modulate pathogenesis and disease progression. This study investigated circulating miRNA profiles in the blood of sheep naturally affected by scrapie at preclinical and clinical stages using small RNA sequencing and RT-qPCR validation. While only one novel miRNA was dysregulated in preclinical blood samples, 66 previously annotated miRNAs were significantly dysregulated in clinical sheep compared with healthy sheep. These miRNAs are associated with pathways commonly altered in neurodegenerative diseases, such as autophagy, ubiquitin-mediated proteolysis, and endoplasmic reticulum protein processing. Notably, miR-1271-5p, let-7f-5p, miR-186-5p, and miR-425-5p were consistently upregulated in the central nervous system of clinical animals, replicating the results observed in blood, with an increasing trend already in the preclinical stage and a strong correlation with neuropathological prion features. Additionally, predicted target genes such as UBQLN2, PGK1, KRAS, and CLTC were inversely expressed relative to these miRNAs, supporting their regulatory roles. These findings highlight the relevance of circulating miRNAs in prion neuropathology and support further research into the specific functional roles of these miRNAs and their predictive capacity for disease progression.</p>","PeriodicalId":23658,"journal":{"name":"Veterinary Research","volume":"56 1","pages":"132"},"PeriodicalIF":3.5000,"publicationDate":"2025-07-01","publicationTypes":"Journal Article","fieldsOfStudy":null,"isOpenAccess":false,"openAccessPdf":"https://www.ncbi.nlm.nih.gov/pmc/articles/PMC12220440/pdf/","citationCount":"0","resultStr":"{\"title\":\"Dysregulated microRNAs in blood correlate with central nervous system neuropathology of prion disease.\",\"authors\":\"Sonia Pérez-Lázaro, Inmaculada Martín-Burriel, Luca Cozzuto, Julia Ponomarenko, Juan J Badiola, Rosa Bolea, Janne M Toivonen\",\"doi\":\"10.1186/s13567-025-01566-0\",\"DOIUrl\":null,\"url\":null,\"abstract\":\"<p><p>The role of microRNAs (miRNAs) in neurodegenerative diseases has gained significant attention because of their involvement in gene regulation and potential as biomarkers. In prion diseases, including scrapie, miRNAs may modulate pathogenesis and disease progression. This study investigated circulating miRNA profiles in the blood of sheep naturally affected by scrapie at preclinical and clinical stages using small RNA sequencing and RT-qPCR validation. While only one novel miRNA was dysregulated in preclinical blood samples, 66 previously annotated miRNAs were significantly dysregulated in clinical sheep compared with healthy sheep. These miRNAs are associated with pathways commonly altered in neurodegenerative diseases, such as autophagy, ubiquitin-mediated proteolysis, and endoplasmic reticulum protein processing. Notably, miR-1271-5p, let-7f-5p, miR-186-5p, and miR-425-5p were consistently upregulated in the central nervous system of clinical animals, replicating the results observed in blood, with an increasing trend already in the preclinical stage and a strong correlation with neuropathological prion features. Additionally, predicted target genes such as UBQLN2, PGK1, KRAS, and CLTC were inversely expressed relative to these miRNAs, supporting their regulatory roles. These findings highlight the relevance of circulating miRNAs in prion neuropathology and support further research into the specific functional roles of these miRNAs and their predictive capacity for disease progression.</p>\",\"PeriodicalId\":23658,\"journal\":{\"name\":\"Veterinary Research\",\"volume\":\"56 1\",\"pages\":\"132\"},\"PeriodicalIF\":3.5000,\"publicationDate\":\"2025-07-01\",\"publicationTypes\":\"Journal Article\",\"fieldsOfStudy\":null,\"isOpenAccess\":false,\"openAccessPdf\":\"https://www.ncbi.nlm.nih.gov/pmc/articles/PMC12220440/pdf/\",\"citationCount\":\"0\",\"resultStr\":null,\"platform\":\"Semanticscholar\",\"paperid\":null,\"PeriodicalName\":\"Veterinary Research\",\"FirstCategoryId\":\"97\",\"ListUrlMain\":\"https://doi.org/10.1186/s13567-025-01566-0\",\"RegionNum\":1,\"RegionCategory\":\"农林科学\",\"ArticlePicture\":[],\"TitleCN\":null,\"AbstractTextCN\":null,\"PMCID\":null,\"EPubDate\":\"\",\"PubModel\":\"\",\"JCR\":\"Q1\",\"JCRName\":\"VETERINARY SCIENCES\",\"Score\":null,\"Total\":0}","platform":"Semanticscholar","paperid":null,"PeriodicalName":"Veterinary Research","FirstCategoryId":"97","ListUrlMain":"https://doi.org/10.1186/s13567-025-01566-0","RegionNum":1,"RegionCategory":"农林科学","ArticlePicture":[],"TitleCN":null,"AbstractTextCN":null,"PMCID":null,"EPubDate":"","PubModel":"","JCR":"Q1","JCRName":"VETERINARY SCIENCES","Score":null,"Total":0}
引用次数: 0

摘要

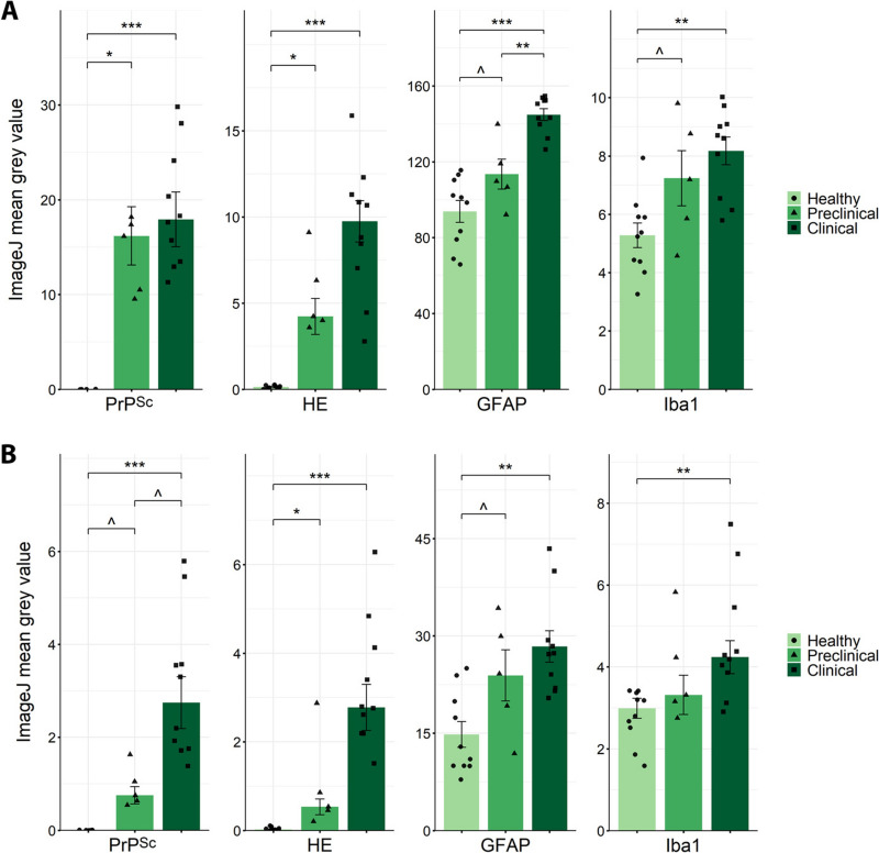
microRNAs (miRNAs)在神经退行性疾病中的作用由于其参与基因调控和潜在的生物标志物而受到了极大的关注。在包括痒病在内的朊病毒疾病中,mirna可能调节发病机制和疾病进展。本研究利用小RNA测序和RT-qPCR验证,研究了临床前和临床阶段受痒病自然影响的绵羊血液中的循环miRNA谱。虽然在临床前血液样本中只有一个新的miRNA异常,但与健康绵羊相比,临床绵羊中有66个先前注释的miRNA显着异常。这些mirna与神经退行性疾病中常见的通路改变有关,如自噬、泛素介导的蛋白水解和内质网蛋白加工。值得注意的是,miR-1271-5p、let-7f-5p、miR-186-5p和miR-425-5p在临床动物中枢神经系统中持续上调,与血液中观察到的结果一致,且在临床前阶段就有升高趋势,与神经病理朊病毒特征有很强的相关性。此外,预测的靶基因如UBQLN2、PGK1、KRAS和CLTC相对于这些mirna呈负表达,支持它们的调节作用。这些发现强调了循环mirna在朊病毒神经病理学中的相关性,并支持进一步研究这些mirna的特定功能作用及其对疾病进展的预测能力。
本文章由计算机程序翻译,如有差异,请以英文原文为准。

Dysregulated microRNAs in blood correlate with central nervous system neuropathology of prion disease.

Dysregulated microRNAs in blood correlate with central nervous system neuropathology of prion disease.

Dysregulated microRNAs in blood correlate with central nervous system neuropathology of prion disease.

Dysregulated microRNAs in blood correlate with central nervous system neuropathology of prion disease.

The role of microRNAs (miRNAs) in neurodegenerative diseases has gained significant attention because of their involvement in gene regulation and potential as biomarkers. In prion diseases, including scrapie, miRNAs may modulate pathogenesis and disease progression. This study investigated circulating miRNA profiles in the blood of sheep naturally affected by scrapie at preclinical and clinical stages using small RNA sequencing and RT-qPCR validation. While only one novel miRNA was dysregulated in preclinical blood samples, 66 previously annotated miRNAs were significantly dysregulated in clinical sheep compared with healthy sheep. These miRNAs are associated with pathways commonly altered in neurodegenerative diseases, such as autophagy, ubiquitin-mediated proteolysis, and endoplasmic reticulum protein processing. Notably, miR-1271-5p, let-7f-5p, miR-186-5p, and miR-425-5p were consistently upregulated in the central nervous system of clinical animals, replicating the results observed in blood, with an increasing trend already in the preclinical stage and a strong correlation with neuropathological prion features. Additionally, predicted target genes such as UBQLN2, PGK1, KRAS, and CLTC were inversely expressed relative to these miRNAs, supporting their regulatory roles. These findings highlight the relevance of circulating miRNAs in prion neuropathology and support further research into the specific functional roles of these miRNAs and their predictive capacity for disease progression.

求助全文
通过发布文献求助,成功后即可免费获取论文全文。 去求助
来源期刊
Veterinary Research
Veterinary Research 农林科学-兽医学
CiteScore
7.00
自引率
4.50%
发文量
92
审稿时长
3 months
期刊介绍: Veterinary Research is an open access journal that publishes high quality and novel research and review articles focusing on all aspects of infectious diseases and host-pathogen interaction in animals.
×
引用
GB/T 7714-2015
复制
MLA
复制
APA
复制
导出至
BibTeX EndNote RefMan NoteFirst NoteExpress
×
提示
您的信息不完整,为了账户安全,请先补充。
现在去补充
×
提示
您因"违规操作"
具体请查看互助需知
我知道了
×
提示
确定
请完成安全验证×
copy
已复制链接
快去分享给好友吧!
我知道了
右上角分享
点击右上角分享
0
联系我们:info@booksci.cn Book学术提供免费学术资源搜索服务,方便国内外学者检索中英文文献。致力于提供最便捷和优质的服务体验。 Copyright © 2023 布克学术 All rights reserved.
京ICP备2023020795号-1
ghs 京公网安备 11010802042870号
Book学术文献互助
Book学术文献互助群
群 号:604180095
Book学术官方微信