生物测定试验首次显示中非加蓬东南部Franceville的伊蚊对拟除虫菊酯类杀虫剂产生耐药性。

IF 2.4 2区 医学 Q2 PARASITOLOGY
Parasite Pub Date : 2025-01-01 Epub Date: 2025-07-01 DOI:10.1051/parasite/2025036
Judicaël Obame-Nkoghe, Faël Moudoumi Kondji, El Hadji Diouf, Omar Thiaw, Brad Ghaven Niangui, Arnauld Ondo-Oyono, Yasmine Okomo-Nguema, Neil Michel Longo-Pendy, Franck Mounioko, Boris Makanga, Basile Kamgang, Christophe Paupy, Pierre Kengne, Patricks Voua Otomo, El Hadji Amadou Niang
{"title":"生物测定试验首次显示中非加蓬东南部Franceville的伊蚊对拟除虫菊酯类杀虫剂产生耐药性。","authors":"Judicaël Obame-Nkoghe, Faël Moudoumi Kondji, El Hadji Diouf, Omar Thiaw, Brad Ghaven Niangui, Arnauld Ondo-Oyono, Yasmine Okomo-Nguema, Neil Michel Longo-Pendy, Franck Mounioko, Boris Makanga, Basile Kamgang, Christophe Paupy, Pierre Kengne, Patricks Voua Otomo, El Hadji Amadou Niang","doi":"10.1051/parasite/2025036","DOIUrl":null,"url":null,"abstract":"<p><p>The spread of resistance to insecticides, such as pyrethroids, in Aedes vectors increases the risk of spread of arboviral diseases. In Gabon, the insecticide resistance profiles of Ae. aegypti and Ae. albopictus species remain poorly known. During a study to monitor the dynamics of Aedes populations in Franceville, in south-east Gabon, the resistance profiles of these two species to pyrethroids, organophosphates and carbamates were assessed. Susceptibility tests on adults and synergist tests with piperonyl butoxide (PBO) were carried out as per the World Health Organization protocol. The results showed that Ae. aegypti and Ae. albopictus were susceptible to permethrin, pirimiphos-methyl and bendiocarb. However, both species were resistant to deltamethrin (mortality: 67% for Ae. aegypti; 33% for Ae. albopictus). Exposure to a 5-fold dose of deltamethrin increased mortality to 100% and 91% for Ae. aegypti and Ae. albopictus, respectively. Resistance to alpha-cypermethrin was also recorded (mortality: 82% for Ae. aegypti; 64.6% for Ae. albopictus). Pre-exposure to PBO resulted in the restoration of susceptibility to deltamethrin and alpha-cypermethrin for Ae. aegypti, and a significant increase in mortality for Ae. albopictus. These data provide the first evidence of pyrethroid resistance in Aedes in Gabon and could help to establish more effective control measures against arbovirus vectors.</p>","PeriodicalId":19796,"journal":{"name":"Parasite","volume":"32 ","pages":"40"},"PeriodicalIF":2.4000,"publicationDate":"2025-01-01","publicationTypes":"Journal Article","fieldsOfStudy":null,"isOpenAccess":false,"openAccessPdf":"https://www.ncbi.nlm.nih.gov/pmc/articles/PMC12212768/pdf/","citationCount":"0","resultStr":"{\"title\":\"Bioassay tests reveal for the first time pyrethroid resistance in Aedes mosquitoes from Franceville, southeast Gabon, Central Africa.\",\"authors\":\"Judicaël Obame-Nkoghe, Faël Moudoumi Kondji, El Hadji Diouf, Omar Thiaw, Brad Ghaven Niangui, Arnauld Ondo-Oyono, Yasmine Okomo-Nguema, Neil Michel Longo-Pendy, Franck Mounioko, Boris Makanga, Basile Kamgang, Christophe Paupy, Pierre Kengne, Patricks Voua Otomo, El Hadji Amadou Niang\",\"doi\":\"10.1051/parasite/2025036\",\"DOIUrl\":null,\"url\":null,\"abstract\":\"<p><p>The spread of resistance to insecticides, such as pyrethroids, in Aedes vectors increases the risk of spread of arboviral diseases. In Gabon, the insecticide resistance profiles of Ae. aegypti and Ae. albopictus species remain poorly known. During a study to monitor the dynamics of Aedes populations in Franceville, in south-east Gabon, the resistance profiles of these two species to pyrethroids, organophosphates and carbamates were assessed. Susceptibility tests on adults and synergist tests with piperonyl butoxide (PBO) were carried out as per the World Health Organization protocol. The results showed that Ae. aegypti and Ae. albopictus were susceptible to permethrin, pirimiphos-methyl and bendiocarb. However, both species were resistant to deltamethrin (mortality: 67% for Ae. aegypti; 33% for Ae. albopictus). Exposure to a 5-fold dose of deltamethrin increased mortality to 100% and 91% for Ae. aegypti and Ae. albopictus, respectively. Resistance to alpha-cypermethrin was also recorded (mortality: 82% for Ae. aegypti; 64.6% for Ae. albopictus). Pre-exposure to PBO resulted in the restoration of susceptibility to deltamethrin and alpha-cypermethrin for Ae. aegypti, and a significant increase in mortality for Ae. albopictus. These data provide the first evidence of pyrethroid resistance in Aedes in Gabon and could help to establish more effective control measures against arbovirus vectors.</p>\",\"PeriodicalId\":19796,\"journal\":{\"name\":\"Parasite\",\"volume\":\"32 \",\"pages\":\"40\"},\"PeriodicalIF\":2.4000,\"publicationDate\":\"2025-01-01\",\"publicationTypes\":\"Journal Article\",\"fieldsOfStudy\":null,\"isOpenAccess\":false,\"openAccessPdf\":\"https://www.ncbi.nlm.nih.gov/pmc/articles/PMC12212768/pdf/\",\"citationCount\":\"0\",\"resultStr\":null,\"platform\":\"Semanticscholar\",\"paperid\":null,\"PeriodicalName\":\"Parasite\",\"FirstCategoryId\":\"3\",\"ListUrlMain\":\"https://doi.org/10.1051/parasite/2025036\",\"RegionNum\":2,\"RegionCategory\":\"医学\",\"ArticlePicture\":[],\"TitleCN\":null,\"AbstractTextCN\":null,\"PMCID\":null,\"EPubDate\":\"2025/7/1 0:00:00\",\"PubModel\":\"Epub\",\"JCR\":\"Q2\",\"JCRName\":\"PARASITOLOGY\",\"Score\":null,\"Total\":0}","platform":"Semanticscholar","paperid":null,"PeriodicalName":"Parasite","FirstCategoryId":"3","ListUrlMain":"https://doi.org/10.1051/parasite/2025036","RegionNum":2,"RegionCategory":"医学","ArticlePicture":[],"TitleCN":null,"AbstractTextCN":null,"PMCID":null,"EPubDate":"2025/7/1 0:00:00","PubModel":"Epub","JCR":"Q2","JCRName":"PARASITOLOGY","Score":null,"Total":0}
引用次数: 0

摘要

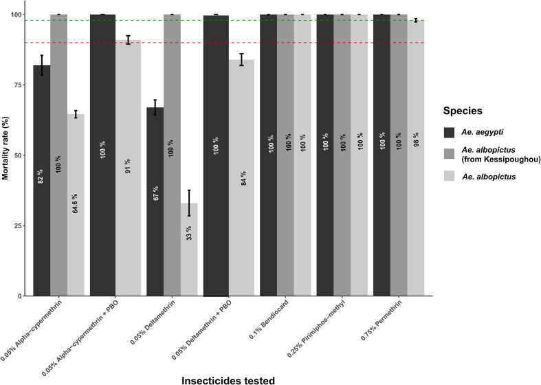
伊蚊媒介对杀虫剂(如拟除虫菊酯)产生抗药性的传播增加了虫媒病毒病传播的风险。在加蓬,伊蚊的抗药性分布。埃及伊蚊和伊蚊。白纹伊蚊种类仍然鲜为人知。在监测加蓬东南部Franceville伊蚊种群动态的一项研究中,评估了这两种伊蚊对拟除虫菊酯、有机磷酸酯和氨基甲酸酯的抗性谱。根据世界卫生组织的议定书,对成人进行了药敏试验和与胡椒酰丁醇(PBO)的增效试验。结果表明:Ae;埃及伊蚊和伊蚊。白纹伊蚊对氯菊酯、吡虫磷和恶虫威敏感。但两种均对溴氰菊酯产生抗性(死亡率67%)。蚊;33%支持Ae。蚊)。接触5倍剂量的溴氰菊酯可使伊蚊的死亡率分别提高到100%和91%。埃及伊蚊和伊蚊。分别排。对高效氯氰菊酯也有抗药性(死亡率82%)。蚊;64.6%为Ae。蚊)。预暴露PBO可使伊蚊恢复对溴氰菊酯和高效氯氰菊酯的敏感性。埃及伊蚊的死亡率显著增加。蚊。这些数据提供了加蓬伊蚊对拟除虫菊酯类杀虫剂耐药的第一个证据,并可能有助于制定针对虫媒病毒媒介的更有效控制措施。
本文章由计算机程序翻译,如有差异,请以英文原文为准。

Bioassay tests reveal for the first time pyrethroid resistance in Aedes mosquitoes from Franceville, southeast Gabon, Central Africa.

Bioassay tests reveal for the first time pyrethroid resistance in Aedes mosquitoes from Franceville, southeast Gabon, Central Africa.

Bioassay tests reveal for the first time pyrethroid resistance in Aedes mosquitoes from Franceville, southeast Gabon, Central Africa.

Bioassay tests reveal for the first time pyrethroid resistance in Aedes mosquitoes from Franceville, southeast Gabon, Central Africa.

The spread of resistance to insecticides, such as pyrethroids, in Aedes vectors increases the risk of spread of arboviral diseases. In Gabon, the insecticide resistance profiles of Ae. aegypti and Ae. albopictus species remain poorly known. During a study to monitor the dynamics of Aedes populations in Franceville, in south-east Gabon, the resistance profiles of these two species to pyrethroids, organophosphates and carbamates were assessed. Susceptibility tests on adults and synergist tests with piperonyl butoxide (PBO) were carried out as per the World Health Organization protocol. The results showed that Ae. aegypti and Ae. albopictus were susceptible to permethrin, pirimiphos-methyl and bendiocarb. However, both species were resistant to deltamethrin (mortality: 67% for Ae. aegypti; 33% for Ae. albopictus). Exposure to a 5-fold dose of deltamethrin increased mortality to 100% and 91% for Ae. aegypti and Ae. albopictus, respectively. Resistance to alpha-cypermethrin was also recorded (mortality: 82% for Ae. aegypti; 64.6% for Ae. albopictus). Pre-exposure to PBO resulted in the restoration of susceptibility to deltamethrin and alpha-cypermethrin for Ae. aegypti, and a significant increase in mortality for Ae. albopictus. These data provide the first evidence of pyrethroid resistance in Aedes in Gabon and could help to establish more effective control measures against arbovirus vectors.

求助全文
通过发布文献求助,成功后即可免费获取论文全文。 去求助
来源期刊
Parasite
Parasite 医学-寄生虫学
CiteScore
5.50
自引率
6.90%
发文量
49
审稿时长
3 months
期刊介绍: Parasite is an international open-access, peer-reviewed, online journal publishing high quality papers on all aspects of human and animal parasitology. Reviews, articles and short notes may be submitted. Fields include, but are not limited to: general, medical and veterinary parasitology; morphology, including ultrastructure; parasite systematics, including entomology, acarology, helminthology and protistology, and molecular analyses; molecular biology and biochemistry; immunology of parasitic diseases; host-parasite relationships; ecology and life history of parasites; epidemiology; therapeutics; new diagnostic tools. All papers in Parasite are published in English. Manuscripts should have a broad interest and must not have been published or submitted elsewhere. No limit is imposed on the length of manuscripts, but they should be concisely written. Papers of limited interest such as case reports, epidemiological studies in punctual areas, isolated new geographical records, and systematic descriptions of single species will generally not be accepted, but might be considered if the authors succeed in demonstrating their interest.
×
引用
GB/T 7714-2015
复制
MLA
复制
APA
复制
导出至
BibTeX EndNote RefMan NoteFirst NoteExpress
×
提示
您的信息不完整,为了账户安全,请先补充。
现在去补充
×
提示
您因"违规操作"
具体请查看互助需知
我知道了
×
提示
确定
请完成安全验证×
copy
已复制链接
快去分享给好友吧!
我知道了
右上角分享
点击右上角分享
0
联系我们:info@booksci.cn Book学术提供免费学术资源搜索服务,方便国内外学者检索中英文文献。致力于提供最便捷和优质的服务体验。 Copyright © 2023 布克学术 All rights reserved.
京ICP备2023020795号-1
ghs 京公网安备 11010802042870号
Book学术文献互助
Book学术文献互助群
群 号:604180095
Book学术官方微信