紫杉醇治疗期间微循环功能障碍作为化疗诱导周围神经病变发展的关键辅助因素的作用。

IF 1.9 4区 医学 Q2 OBSTETRICS & GYNECOLOGY
Geburtshilfe Und Frauenheilkunde Pub Date : 2025-03-17 eCollection Date: 2025-07-01 DOI:10.1055/a-2499-9856
Susanne Reuter, Rika Bajorat, Fabian Müller-Graf, Amelie R Zitzmann, Volkmar Müller, Anna-Lena Pickhardt, Daniel A Reuter, Stephan H Böhm, Brigitte Vollmar
{"title":"紫杉醇治疗期间微循环功能障碍作为化疗诱导周围神经病变发展的关键辅助因素的作用。","authors":"Susanne Reuter, Rika Bajorat, Fabian Müller-Graf, Amelie R Zitzmann, Volkmar Müller, Anna-Lena Pickhardt, Daniel A Reuter, Stephan H Böhm, Brigitte Vollmar","doi":"10.1055/a-2499-9856","DOIUrl":null,"url":null,"abstract":"<p><strong>Background: </strong>Chemotherapy-induced peripheral neuropathy (CIPN) has a lasting impact on quality of life with a high prevalence and the lack of preventive and causal treatment options. In addition, they are often dose-limiting for curative and palliative oncological therapy. The aim of this study was to systematically investigate the occurrence of paclitaxel-induced peripheral microcirculatory dysfunction and its potential impact on peripheral neuropathy using an experimental <i>in vivo</i> approach.</p><p><strong>Methods: </strong>77 female 8-week-old mice were randomly assigned into three groups. Each group was exposed to the following intraperitoneal interventions in a blinded fashion: The therapy group was treated with six cycles of paclitaxel. In the control group, mice received six cycles of saline solution. In the vehicle group, animals received six cycles of cremophor. Various microscopic, neurological and biochemical analyses were performed to assess the effects on peripheral nerve function, microcirculation and inflammation.</p><p><strong>Results: </strong>Von Frey's neurological test showed a progressive peripheral neuropathy with a significant change in the sensitivity in the sense of hypesthesia of the hind paws in mice treated with paclitaxel. Beside signs of systemic inflammation, intravital microscopic analysis showed a significant reduction in functional capillary density, increased venular leukocyte adherence and endothelial permeability in the paclitaxel-treated mice compared to the control groups. In addition, serological tests and histopathological examinations underlined the paclitaxel-induced inflammation and nerve damage as well as the disturbance of the microcirculation.</p><p><strong>Conclusion: </strong>The presented findings suggest that paclitaxel-induced microcirculatory disturbances may contribute to the development and severity of CIPN, highlighting the importance of considering microvascular and inflammatory mechanisms in the pathogenesis and management of chemotherapy-induced neuropathy.</p>","PeriodicalId":12481,"journal":{"name":"Geburtshilfe Und Frauenheilkunde","volume":"85 7","pages":"710-723"},"PeriodicalIF":1.9000,"publicationDate":"2025-03-17","publicationTypes":"Journal Article","fieldsOfStudy":null,"isOpenAccess":false,"openAccessPdf":"https://www.ncbi.nlm.nih.gov/pmc/articles/PMC12208722/pdf/","citationCount":"0","resultStr":"{\"title\":\"The Role of Microcirculatory Dysfunction During Paclitaxel Treatment as a Critical Co-Factor for the Development of Chemotherapy-Induced Peripheral Neuropathy.\",\"authors\":\"Susanne Reuter, Rika Bajorat, Fabian Müller-Graf, Amelie R Zitzmann, Volkmar Müller, Anna-Lena Pickhardt, Daniel A Reuter, Stephan H Böhm, Brigitte Vollmar\",\"doi\":\"10.1055/a-2499-9856\",\"DOIUrl\":null,\"url\":null,\"abstract\":\"<p><strong>Background: </strong>Chemotherapy-induced peripheral neuropathy (CIPN) has a lasting impact on quality of life with a high prevalence and the lack of preventive and causal treatment options. In addition, they are often dose-limiting for curative and palliative oncological therapy. The aim of this study was to systematically investigate the occurrence of paclitaxel-induced peripheral microcirculatory dysfunction and its potential impact on peripheral neuropathy using an experimental <i>in vivo</i> approach.</p><p><strong>Methods: </strong>77 female 8-week-old mice were randomly assigned into three groups. Each group was exposed to the following intraperitoneal interventions in a blinded fashion: The therapy group was treated with six cycles of paclitaxel. In the control group, mice received six cycles of saline solution. In the vehicle group, animals received six cycles of cremophor. Various microscopic, neurological and biochemical analyses were performed to assess the effects on peripheral nerve function, microcirculation and inflammation.</p><p><strong>Results: </strong>Von Frey's neurological test showed a progressive peripheral neuropathy with a significant change in the sensitivity in the sense of hypesthesia of the hind paws in mice treated with paclitaxel. Beside signs of systemic inflammation, intravital microscopic analysis showed a significant reduction in functional capillary density, increased venular leukocyte adherence and endothelial permeability in the paclitaxel-treated mice compared to the control groups. In addition, serological tests and histopathological examinations underlined the paclitaxel-induced inflammation and nerve damage as well as the disturbance of the microcirculation.</p><p><strong>Conclusion: </strong>The presented findings suggest that paclitaxel-induced microcirculatory disturbances may contribute to the development and severity of CIPN, highlighting the importance of considering microvascular and inflammatory mechanisms in the pathogenesis and management of chemotherapy-induced neuropathy.</p>\",\"PeriodicalId\":12481,\"journal\":{\"name\":\"Geburtshilfe Und Frauenheilkunde\",\"volume\":\"85 7\",\"pages\":\"710-723\"},\"PeriodicalIF\":1.9000,\"publicationDate\":\"2025-03-17\",\"publicationTypes\":\"Journal Article\",\"fieldsOfStudy\":null,\"isOpenAccess\":false,\"openAccessPdf\":\"https://www.ncbi.nlm.nih.gov/pmc/articles/PMC12208722/pdf/\",\"citationCount\":\"0\",\"resultStr\":null,\"platform\":\"Semanticscholar\",\"paperid\":null,\"PeriodicalName\":\"Geburtshilfe Und Frauenheilkunde\",\"FirstCategoryId\":\"3\",\"ListUrlMain\":\"https://doi.org/10.1055/a-2499-9856\",\"RegionNum\":4,\"RegionCategory\":\"医学\",\"ArticlePicture\":[],\"TitleCN\":null,\"AbstractTextCN\":null,\"PMCID\":null,\"EPubDate\":\"2025/7/1 0:00:00\",\"PubModel\":\"eCollection\",\"JCR\":\"Q2\",\"JCRName\":\"OBSTETRICS & GYNECOLOGY\",\"Score\":null,\"Total\":0}","platform":"Semanticscholar","paperid":null,"PeriodicalName":"Geburtshilfe Und Frauenheilkunde","FirstCategoryId":"3","ListUrlMain":"https://doi.org/10.1055/a-2499-9856","RegionNum":4,"RegionCategory":"医学","ArticlePicture":[],"TitleCN":null,"AbstractTextCN":null,"PMCID":null,"EPubDate":"2025/7/1 0:00:00","PubModel":"eCollection","JCR":"Q2","JCRName":"OBSTETRICS & GYNECOLOGY","Score":null,"Total":0}
引用次数: 0

摘要

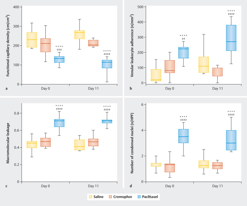
背景:化疗诱导的周围神经病变(CIPN)具有高患病率和缺乏预防和因果治疗选择的持久影响生活质量。此外,它们通常用于治疗性和姑息性肿瘤治疗的剂量限制。本研究的目的是通过实验方法系统地研究紫杉醇诱导的外周微循环功能障碍的发生及其对周围神经病变的潜在影响。方法:将77只8周龄雌性小鼠随机分为3组。各组采用盲法进行以下腹腔干预:治疗组采用6个周期紫杉醇治疗。在对照组,小鼠接受6个周期的生理盐水溶液。在载药组,动物接受6个周期的火烈药。通过各种显微镜、神经学和生化分析来评估对周围神经功能、微循环和炎症的影响。结果:Von Frey神经学试验显示紫杉醇给药小鼠后肢感觉迟钝的敏感性明显改变,周围神经病变进展。除了全身性炎症的迹象外,活体显微镜分析显示,与对照组相比,紫杉醇治疗小鼠的功能性毛细血管密度显著降低,静脉白细胞粘附性和内皮通透性增加。此外,血清学检查和组织病理学检查强调紫杉醇引起的炎症和神经损伤以及微循环障碍。结论:本研究结果提示紫杉醇诱导的微循环障碍可能与CIPN的发展和严重程度有关,强调了在化疗诱导的神经病变的发病和治疗中考虑微血管和炎症机制的重要性。
本文章由计算机程序翻译,如有差异,请以英文原文为准。

The Role of Microcirculatory Dysfunction During Paclitaxel Treatment as a Critical Co-Factor for the Development of Chemotherapy-Induced Peripheral Neuropathy.

The Role of Microcirculatory Dysfunction During Paclitaxel Treatment as a Critical Co-Factor for the Development of Chemotherapy-Induced Peripheral Neuropathy.

The Role of Microcirculatory Dysfunction During Paclitaxel Treatment as a Critical Co-Factor for the Development of Chemotherapy-Induced Peripheral Neuropathy.

The Role of Microcirculatory Dysfunction During Paclitaxel Treatment as a Critical Co-Factor for the Development of Chemotherapy-Induced Peripheral Neuropathy.

Background: Chemotherapy-induced peripheral neuropathy (CIPN) has a lasting impact on quality of life with a high prevalence and the lack of preventive and causal treatment options. In addition, they are often dose-limiting for curative and palliative oncological therapy. The aim of this study was to systematically investigate the occurrence of paclitaxel-induced peripheral microcirculatory dysfunction and its potential impact on peripheral neuropathy using an experimental in vivo approach.

Methods: 77 female 8-week-old mice were randomly assigned into three groups. Each group was exposed to the following intraperitoneal interventions in a blinded fashion: The therapy group was treated with six cycles of paclitaxel. In the control group, mice received six cycles of saline solution. In the vehicle group, animals received six cycles of cremophor. Various microscopic, neurological and biochemical analyses were performed to assess the effects on peripheral nerve function, microcirculation and inflammation.

Results: Von Frey's neurological test showed a progressive peripheral neuropathy with a significant change in the sensitivity in the sense of hypesthesia of the hind paws in mice treated with paclitaxel. Beside signs of systemic inflammation, intravital microscopic analysis showed a significant reduction in functional capillary density, increased venular leukocyte adherence and endothelial permeability in the paclitaxel-treated mice compared to the control groups. In addition, serological tests and histopathological examinations underlined the paclitaxel-induced inflammation and nerve damage as well as the disturbance of the microcirculation.

Conclusion: The presented findings suggest that paclitaxel-induced microcirculatory disturbances may contribute to the development and severity of CIPN, highlighting the importance of considering microvascular and inflammatory mechanisms in the pathogenesis and management of chemotherapy-induced neuropathy.

求助全文
通过发布文献求助,成功后即可免费获取论文全文。 去求助
来源期刊
Geburtshilfe Und Frauenheilkunde
Geburtshilfe Und Frauenheilkunde 医学-妇产科学
CiteScore
2.50
自引率
22.20%
发文量
828
审稿时长
6-12 weeks
期刊介绍: Geburtshilfe und Frauenheilkunde (GebFra) addresses the whole field of obstetrics and gynecology and is concerned with research as much as with clinical practice. In its scientific section, it publishes original articles, reviews and case reports in all fields of the discipline, namely gynecological oncology, including oncology of the breast obstetrics and perinatal medicine, reproductive medicine, and urogynecology. GebFra invites the submission of original articles and review articles. In addition, the journal publishes guidelines, statements and recommendations in cooperation with the DGGG, SGGG, OEGGG and the Arbeitsgemeinschaft der Wissenschaftlichen Medizinischen Fachgesellschaften (AWMF, Association of Scientific Medical Societies, www.awmf.org). Apart from the scientific section, Geburtshilfe und Frauenheilkunde has a news and views section that also includes discussions, book reviews and professional information. Letters to the editors are welcome. If a letter discusses an article that has been published in our journal, the corresponding author of the article will be informed and invited to comment on the letter. The comment will be published along with the letter.
×
引用
GB/T 7714-2015
复制
MLA
复制
APA
复制
导出至
BibTeX EndNote RefMan NoteFirst NoteExpress
×
提示
您的信息不完整,为了账户安全,请先补充。
现在去补充
×
提示
您因"违规操作"
具体请查看互助需知
我知道了
×
提示
确定
请完成安全验证×
copy
已复制链接
快去分享给好友吧!
我知道了
右上角分享
点击右上角分享
0
联系我们:info@booksci.cn Book学术提供免费学术资源搜索服务,方便国内外学者检索中英文文献。致力于提供最便捷和优质的服务体验。 Copyright © 2023 布克学术 All rights reserved.
京ICP备2023020795号-1
ghs 京公网安备 11010802042870号
Book学术文献互助
Book学术文献互助群
群 号:604180095
Book学术官方微信