自发性颅内低血压的脑流体动力学改变。

IF 6.2 1区 医学 Q1 NEUROSCIENCES
Per Kristian Eide, Markus Hovd, Are Pripp, Øivind Gjertsen, Grethe Løvland, Aslan Lashkarivand, Erika Lindstrøm, Lars Magnus Valnes, Geir Ringstad
{"title":"自发性颅内低血压的脑流体动力学改变。","authors":"Per Kristian Eide, Markus Hovd, Are Pripp, Øivind Gjertsen, Grethe Løvland, Aslan Lashkarivand, Erika Lindstrøm, Lars Magnus Valnes, Geir Ringstad","doi":"10.1186/s12987-025-00679-0","DOIUrl":null,"url":null,"abstract":"<p><strong>Background: </strong>This prospective observational study explored alterations in brain fluid dynamics in patients with spontaneous intracranial hypotension (SIH) and confirmed spinal cerebrospinal fluid (CSF) leakage, specifically addressing CSF clearance to blood, glymphatic influx and measures of CSF flow.</p><p><strong>Methods: </strong>A cohort of SIH patients with verified spinal CSF leaks was compared with an age- and sex-matched reference group having no CSF disturbance or neurological disorders. Prior to repair of CSF leakage, CSF clearance was quantified using population pharmacokinetics, glymphatic influx was assessed by intrathecal contrast-enhanced magnetic resonance imaging (MRI), and CSF flow patterns were measured using either phase-contrast MRI or multi-phase analysis of CSF tracer transport within the subarachnoid spaces.</p><p><strong>Results: </strong>The study included eight SIH cases and nine reference subjects. SIH was accompanied with a greater CSF clearance, severely reduced tracer enrichment in the subarachnoid spaces and impaired glymphatic influx throughout the brain, after the patients had been upright. However, with patients in the supine position during MRI scanning, times to first enrichment of tracer in cisterna magna or perivascular subarachnoid spaces were not affected, with no changes in CSF flow through the Sylvian aqueduct, indicating that ventricular CSF production remained unaffected.</p><p><strong>Conclusions: </strong>SIH caused by spinal CSF leakage is accompanied with altered brain fluid dynamics, here illustrated by accelerated CSF clearance to blood and reduced glymphatic influx, likely due to reduced CSF volume load to the intracranial compartment in the upright position.</p>","PeriodicalId":12321,"journal":{"name":"Fluids and Barriers of the CNS","volume":"22 1","pages":"65"},"PeriodicalIF":6.2000,"publicationDate":"2025-07-01","publicationTypes":"Journal Article","fieldsOfStudy":null,"isOpenAccess":false,"openAccessPdf":"https://www.ncbi.nlm.nih.gov/pmc/articles/PMC12210607/pdf/","citationCount":"0","resultStr":"{\"title\":\"Altered brain fluid dynamics in spontaneous intracranial hypotension.\",\"authors\":\"Per Kristian Eide, Markus Hovd, Are Pripp, Øivind Gjertsen, Grethe Løvland, Aslan Lashkarivand, Erika Lindstrøm, Lars Magnus Valnes, Geir Ringstad\",\"doi\":\"10.1186/s12987-025-00679-0\",\"DOIUrl\":null,\"url\":null,\"abstract\":\"<p><strong>Background: </strong>This prospective observational study explored alterations in brain fluid dynamics in patients with spontaneous intracranial hypotension (SIH) and confirmed spinal cerebrospinal fluid (CSF) leakage, specifically addressing CSF clearance to blood, glymphatic influx and measures of CSF flow.</p><p><strong>Methods: </strong>A cohort of SIH patients with verified spinal CSF leaks was compared with an age- and sex-matched reference group having no CSF disturbance or neurological disorders. Prior to repair of CSF leakage, CSF clearance was quantified using population pharmacokinetics, glymphatic influx was assessed by intrathecal contrast-enhanced magnetic resonance imaging (MRI), and CSF flow patterns were measured using either phase-contrast MRI or multi-phase analysis of CSF tracer transport within the subarachnoid spaces.</p><p><strong>Results: </strong>The study included eight SIH cases and nine reference subjects. SIH was accompanied with a greater CSF clearance, severely reduced tracer enrichment in the subarachnoid spaces and impaired glymphatic influx throughout the brain, after the patients had been upright. However, with patients in the supine position during MRI scanning, times to first enrichment of tracer in cisterna magna or perivascular subarachnoid spaces were not affected, with no changes in CSF flow through the Sylvian aqueduct, indicating that ventricular CSF production remained unaffected.</p><p><strong>Conclusions: </strong>SIH caused by spinal CSF leakage is accompanied with altered brain fluid dynamics, here illustrated by accelerated CSF clearance to blood and reduced glymphatic influx, likely due to reduced CSF volume load to the intracranial compartment in the upright position.</p>\",\"PeriodicalId\":12321,\"journal\":{\"name\":\"Fluids and Barriers of the CNS\",\"volume\":\"22 1\",\"pages\":\"65\"},\"PeriodicalIF\":6.2000,\"publicationDate\":\"2025-07-01\",\"publicationTypes\":\"Journal Article\",\"fieldsOfStudy\":null,\"isOpenAccess\":false,\"openAccessPdf\":\"https://www.ncbi.nlm.nih.gov/pmc/articles/PMC12210607/pdf/\",\"citationCount\":\"0\",\"resultStr\":null,\"platform\":\"Semanticscholar\",\"paperid\":null,\"PeriodicalName\":\"Fluids and Barriers of the CNS\",\"FirstCategoryId\":\"3\",\"ListUrlMain\":\"https://doi.org/10.1186/s12987-025-00679-0\",\"RegionNum\":1,\"RegionCategory\":\"医学\",\"ArticlePicture\":[],\"TitleCN\":null,\"AbstractTextCN\":null,\"PMCID\":null,\"EPubDate\":\"\",\"PubModel\":\"\",\"JCR\":\"Q1\",\"JCRName\":\"NEUROSCIENCES\",\"Score\":null,\"Total\":0}","platform":"Semanticscholar","paperid":null,"PeriodicalName":"Fluids and Barriers of the CNS","FirstCategoryId":"3","ListUrlMain":"https://doi.org/10.1186/s12987-025-00679-0","RegionNum":1,"RegionCategory":"医学","ArticlePicture":[],"TitleCN":null,"AbstractTextCN":null,"PMCID":null,"EPubDate":"","PubModel":"","JCR":"Q1","JCRName":"NEUROSCIENCES","Score":null,"Total":0}
引用次数: 0

摘要

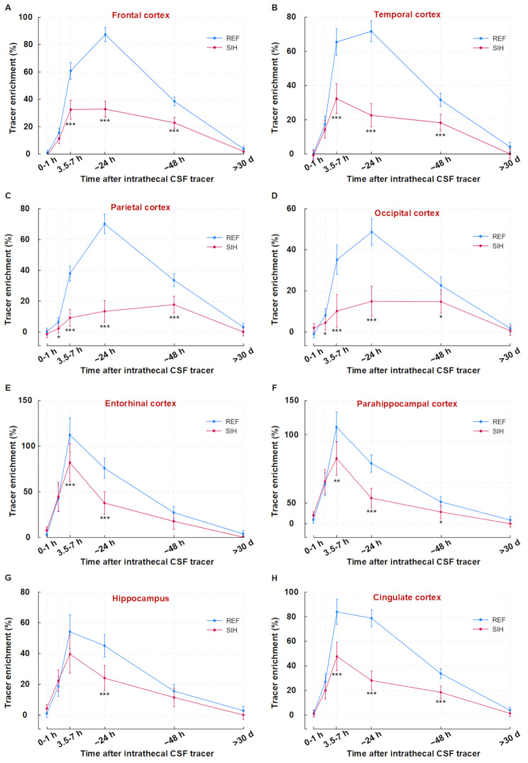
背景:这项前瞻性观察性研究探讨了自发性颅内低血压(SIH)和脊髓脑脊液(CSF)泄漏患者的脑液动力学变化,特别是脑脊液对血液的清除、淋巴内流和CSF流量的测量。方法:将一组经证实有脑脊液泄漏的SIH患者与年龄和性别匹配的对照组进行比较,对照组没有脑脊液障碍或神经系统疾病。在修复脑脊液渗漏之前,使用群体药代动力学量化脑脊液清除,使用鞘内增强磁共振成像(MRI)评估淋巴内流,使用相衬MRI或蛛网膜下腔内脑脊液示踪剂运输的多相分析测量脑脊液流动模式。结果:本研究纳入8例SIH病例和9例对照。患者直立后,SIH伴脑脊液清除率升高,蛛网膜下腔内示踪剂富集严重减少,整个大脑的淋巴内流受损。然而,当患者在MRI扫描时采用仰卧位时,示踪剂在大池或血管周围蛛网膜下腔的首次富集次数不受影响,脑脊液通过Sylvian输水管道的流量没有变化,表明脑脊液的产生不受影响。结论:脑脊液渗漏引起的SIH伴有脑液动力学改变,这里表现为脑脊液对血液的清除加速和淋巴内流减少,可能是由于直立位置时脑脊液对颅内隔室的容量负荷减少。
本文章由计算机程序翻译,如有差异,请以英文原文为准。

Altered brain fluid dynamics in spontaneous intracranial hypotension.

Altered brain fluid dynamics in spontaneous intracranial hypotension.

Altered brain fluid dynamics in spontaneous intracranial hypotension.

Altered brain fluid dynamics in spontaneous intracranial hypotension.

Background: This prospective observational study explored alterations in brain fluid dynamics in patients with spontaneous intracranial hypotension (SIH) and confirmed spinal cerebrospinal fluid (CSF) leakage, specifically addressing CSF clearance to blood, glymphatic influx and measures of CSF flow.

Methods: A cohort of SIH patients with verified spinal CSF leaks was compared with an age- and sex-matched reference group having no CSF disturbance or neurological disorders. Prior to repair of CSF leakage, CSF clearance was quantified using population pharmacokinetics, glymphatic influx was assessed by intrathecal contrast-enhanced magnetic resonance imaging (MRI), and CSF flow patterns were measured using either phase-contrast MRI or multi-phase analysis of CSF tracer transport within the subarachnoid spaces.

Results: The study included eight SIH cases and nine reference subjects. SIH was accompanied with a greater CSF clearance, severely reduced tracer enrichment in the subarachnoid spaces and impaired glymphatic influx throughout the brain, after the patients had been upright. However, with patients in the supine position during MRI scanning, times to first enrichment of tracer in cisterna magna or perivascular subarachnoid spaces were not affected, with no changes in CSF flow through the Sylvian aqueduct, indicating that ventricular CSF production remained unaffected.

Conclusions: SIH caused by spinal CSF leakage is accompanied with altered brain fluid dynamics, here illustrated by accelerated CSF clearance to blood and reduced glymphatic influx, likely due to reduced CSF volume load to the intracranial compartment in the upright position.

求助全文
通过发布文献求助,成功后即可免费获取论文全文。 去求助
来源期刊
Fluids and Barriers of the CNS
Fluids and Barriers of the CNS Neuroscience-Developmental Neuroscience
CiteScore
10.70
自引率
8.20%
发文量
94
审稿时长
14 weeks
期刊介绍: "Fluids and Barriers of the CNS" is a scholarly open access journal that specializes in the intricate world of the central nervous system's fluids and barriers, which are pivotal for the health and well-being of the human body. This journal is a peer-reviewed platform that welcomes research manuscripts exploring the full spectrum of CNS fluids and barriers, with a particular focus on their roles in both health and disease. At the heart of this journal's interest is the cerebrospinal fluid (CSF), a vital fluid that circulates within the brain and spinal cord, playing a multifaceted role in the normal functioning of the brain and in various neurological conditions. The journal delves into the composition, circulation, and absorption of CSF, as well as its relationship with the parenchymal interstitial fluid and the neurovascular unit at the blood-brain barrier (BBB).
×
引用
GB/T 7714-2015
复制
MLA
复制
APA
复制
导出至
BibTeX EndNote RefMan NoteFirst NoteExpress
×
提示
您的信息不完整,为了账户安全,请先补充。
现在去补充
×
提示
您因"违规操作"
具体请查看互助需知
我知道了
×
提示
确定
请完成安全验证×
copy
已复制链接
快去分享给好友吧!
我知道了
右上角分享
点击右上角分享
0
联系我们:info@booksci.cn Book学术提供免费学术资源搜索服务,方便国内外学者检索中英文文献。致力于提供最便捷和优质的服务体验。 Copyright © 2023 布克学术 All rights reserved.
京ICP备2023020795号-1
ghs 京公网安备 11010802042870号
Book学术文献互助
Book学术文献互助群
群 号:604180095
Book学术官方微信