临床和血清学生物标志物在特发性炎性肌病中预测间质性肺疾病的nomogram整合。

IF 2.5 Q3 RHEUMATOLOGY
Zhixia Wang, Jingyun Zhang, Jin Li, Xiaona Mao, Yangyang Li, Dekun Wang, Wenpeng Ge, Jingzhan Li, Changhua Liang, Zhiqiang Zhang
{"title":"临床和血清学生物标志物在特发性炎性肌病中预测间质性肺疾病的nomogram整合。","authors":"Zhixia Wang, Jingyun Zhang, Jin Li, Xiaona Mao, Yangyang Li, Dekun Wang, Wenpeng Ge, Jingzhan Li, Changhua Liang, Zhiqiang Zhang","doi":"10.1186/s41927-025-00534-7","DOIUrl":null,"url":null,"abstract":"<p><strong>Background: </strong>Idiopathic inflammatory myopathies (IIM) are a diverse group of autoimmune diseases characterized primarily by muscle weakness and systemic involvement, which can include interstitial lung disease (ILD). ILD is a serious complication in IIM, significantly affecting patient prognosis and quality of life. Early identification of IIM patients at risk for developing ILD is crucial for timely intervention and personalized treatment, yet the factors contributing to this risk remain inadequately defined.</p><p><strong>Methods: </strong>This retrospective study analyzed medical records of 130 patients with IIM from the First Affiliated Hospital of Xinxiang Medical University, China, between August 2018 and July 2023. Patients were categorized into two groups: IIM with interstitial lung disease (IIM-ILD, n = 75) and IIM without ILD (n = 55). We collected and analyzed demographic, clinical, and laboratory data, including specific autoantibody tests. Multivariate logistic regression identified independent predictors of ILD, and a nomogram was developed to evaluate ILD risk based on significant factors.</p><p><strong>Results: </strong>This retrospective study analyzed 130 patients with IIM, including 75 with interstitial lung disease and 55 without ILD. The IIM-ILD group was significantly older (58.4 vs. 48.3, p = 0.052) and had higher frequencies of respiratory symptoms including dyspnea (61.3% vs. 14.9%, p < 0.001) and cough (54.7% vs. 10.9%, p < 0.001). Key laboratory differences included elevated ESR (26.5 vs. 10.0 mm/H, p < 0.001), CRP (3.44 vs. 1.64 mmol/L, p = 0.013), and IgG (12.5 vs. 10.9 g/L, p = 0.006), along with lower ALT (29.0 vs. 44.0 U/L, p = 0.001) and AST (32.0 vs. 45.0 U/L, p = 0.021) in the IIM-ILD group. Anti-Jo-1 antibodies were more prevalent in IIM-ILD patients (18.7% vs. 5.5%, p = 0.027). Multivariate analysis identified ESR (OR = 1.063, 95% CI:1.012-1.117, p = 0.015), AST (OR = 0.985, 95% CI:0.970-1.000, p = 0.047), and IgG (OR = 1.191, 95% CI:1.025-1.383, p = 0.022) as independent predictors. These factors, combined with dyspnea and anti-Jo-1 status, were incorporated into a predictive nomogram model. The nomogram demonstrated excellent discrimination (AUC = 0.891, 95% CI:0.836-0.947) with sensitivity of 79.7% and specificity of 82.6%. Calibration curves showed good agreement between predicted and observed outcomes (Hosmer-Lemeshow test, p = 0.779). Decision curve analysis confirmed the model's clinical utility across a wide range of threshold probabilities. This comprehensive model provides clinicians with a practical tool for early identification of IIM patients at high risk for ILD development.</p><p><strong>Conclusion: </strong>Elevated ESR and CRP levels, in conjunction with lower AST levels, alongside the presence of anti-Jo-1 antibodies and the manifestation of dyspnea are significant biomarkers associated with the risk of developing IIM-ILD. This predictive model enhances early diagnostic capabilities and facilitates risk stratification, thereby informing clinical decision-making. However, further validation in larger, multicenter cohorts is warranted to corroborate the model's predictive accuracy and to optimize its clinical utility.</p>","PeriodicalId":9150,"journal":{"name":"BMC Rheumatology","volume":"9 1","pages":"73"},"PeriodicalIF":2.5000,"publicationDate":"2025-07-01","publicationTypes":"Journal Article","fieldsOfStudy":null,"isOpenAccess":false,"openAccessPdf":"https://www.ncbi.nlm.nih.gov/pmc/articles/PMC12219061/pdf/","citationCount":"0","resultStr":"{\"title\":\"Integration of clinical and serological biomarkers in a nomogram for predicting interstitial lung disease in idiopathic inflammatory myopathies.\",\"authors\":\"Zhixia Wang, Jingyun Zhang, Jin Li, Xiaona Mao, Yangyang Li, Dekun Wang, Wenpeng Ge, Jingzhan Li, Changhua Liang, Zhiqiang Zhang\",\"doi\":\"10.1186/s41927-025-00534-7\",\"DOIUrl\":null,\"url\":null,\"abstract\":\"<p><strong>Background: </strong>Idiopathic inflammatory myopathies (IIM) are a diverse group of autoimmune diseases characterized primarily by muscle weakness and systemic involvement, which can include interstitial lung disease (ILD). ILD is a serious complication in IIM, significantly affecting patient prognosis and quality of life. Early identification of IIM patients at risk for developing ILD is crucial for timely intervention and personalized treatment, yet the factors contributing to this risk remain inadequately defined.</p><p><strong>Methods: </strong>This retrospective study analyzed medical records of 130 patients with IIM from the First Affiliated Hospital of Xinxiang Medical University, China, between August 2018 and July 2023. Patients were categorized into two groups: IIM with interstitial lung disease (IIM-ILD, n = 75) and IIM without ILD (n = 55). We collected and analyzed demographic, clinical, and laboratory data, including specific autoantibody tests. Multivariate logistic regression identified independent predictors of ILD, and a nomogram was developed to evaluate ILD risk based on significant factors.</p><p><strong>Results: </strong>This retrospective study analyzed 130 patients with IIM, including 75 with interstitial lung disease and 55 without ILD. The IIM-ILD group was significantly older (58.4 vs. 48.3, p = 0.052) and had higher frequencies of respiratory symptoms including dyspnea (61.3% vs. 14.9%, p < 0.001) and cough (54.7% vs. 10.9%, p < 0.001). Key laboratory differences included elevated ESR (26.5 vs. 10.0 mm/H, p < 0.001), CRP (3.44 vs. 1.64 mmol/L, p = 0.013), and IgG (12.5 vs. 10.9 g/L, p = 0.006), along with lower ALT (29.0 vs. 44.0 U/L, p = 0.001) and AST (32.0 vs. 45.0 U/L, p = 0.021) in the IIM-ILD group. Anti-Jo-1 antibodies were more prevalent in IIM-ILD patients (18.7% vs. 5.5%, p = 0.027). Multivariate analysis identified ESR (OR = 1.063, 95% CI:1.012-1.117, p = 0.015), AST (OR = 0.985, 95% CI:0.970-1.000, p = 0.047), and IgG (OR = 1.191, 95% CI:1.025-1.383, p = 0.022) as independent predictors. These factors, combined with dyspnea and anti-Jo-1 status, were incorporated into a predictive nomogram model. The nomogram demonstrated excellent discrimination (AUC = 0.891, 95% CI:0.836-0.947) with sensitivity of 79.7% and specificity of 82.6%. Calibration curves showed good agreement between predicted and observed outcomes (Hosmer-Lemeshow test, p = 0.779). Decision curve analysis confirmed the model's clinical utility across a wide range of threshold probabilities. This comprehensive model provides clinicians with a practical tool for early identification of IIM patients at high risk for ILD development.</p><p><strong>Conclusion: </strong>Elevated ESR and CRP levels, in conjunction with lower AST levels, alongside the presence of anti-Jo-1 antibodies and the manifestation of dyspnea are significant biomarkers associated with the risk of developing IIM-ILD. This predictive model enhances early diagnostic capabilities and facilitates risk stratification, thereby informing clinical decision-making. However, further validation in larger, multicenter cohorts is warranted to corroborate the model's predictive accuracy and to optimize its clinical utility.</p>\",\"PeriodicalId\":9150,\"journal\":{\"name\":\"BMC Rheumatology\",\"volume\":\"9 1\",\"pages\":\"73\"},\"PeriodicalIF\":2.5000,\"publicationDate\":\"2025-07-01\",\"publicationTypes\":\"Journal Article\",\"fieldsOfStudy\":null,\"isOpenAccess\":false,\"openAccessPdf\":\"https://www.ncbi.nlm.nih.gov/pmc/articles/PMC12219061/pdf/\",\"citationCount\":\"0\",\"resultStr\":null,\"platform\":\"Semanticscholar\",\"paperid\":null,\"PeriodicalName\":\"BMC Rheumatology\",\"FirstCategoryId\":\"1085\",\"ListUrlMain\":\"https://doi.org/10.1186/s41927-025-00534-7\",\"RegionNum\":0,\"RegionCategory\":null,\"ArticlePicture\":[],\"TitleCN\":null,\"AbstractTextCN\":null,\"PMCID\":null,\"EPubDate\":\"\",\"PubModel\":\"\",\"JCR\":\"Q3\",\"JCRName\":\"RHEUMATOLOGY\",\"Score\":null,\"Total\":0}","platform":"Semanticscholar","paperid":null,"PeriodicalName":"BMC Rheumatology","FirstCategoryId":"1085","ListUrlMain":"https://doi.org/10.1186/s41927-025-00534-7","RegionNum":0,"RegionCategory":null,"ArticlePicture":[],"TitleCN":null,"AbstractTextCN":null,"PMCID":null,"EPubDate":"","PubModel":"","JCR":"Q3","JCRName":"RHEUMATOLOGY","Score":null,"Total":0}
引用次数: 0

摘要

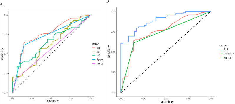
背景:特发性炎症性肌病(IIM)是一组以肌肉无力和全身受累为主要特征的自身免疫性疾病,可包括间质性肺疾病(ILD)。ILD是IIM的严重并发症,严重影响患者预后和生活质量。早期识别有发展为ILD风险的IIM患者对于及时干预和个性化治疗至关重要,然而导致这种风险的因素仍然没有得到充分的定义。方法:回顾性分析2018年8月至2023年7月中国新乡医科大学第一附属医院130例IIM患者的病历。患者分为两组:IIM合并间质性肺病(IIM-ILD, n = 75)和IIM无ILD (n = 55)。我们收集并分析了人口统计学、临床和实验室数据,包括特异性自身抗体测试。多元逻辑回归确定了ILD的独立预测因素,并基于显著因素开发了一个nomogram来评估ILD的风险。结果:本回顾性研究分析了130例IIM患者,其中75例合并间质性肺疾病,55例未合并ILD。IIM-ILD组明显更老(58.4比48.3,p = 0.052),呼吸系统症状包括呼吸困难的频率更高(61.3%比14.9%,p)。结论:ESR和CRP水平升高,结合较低的AST水平,以及抗jo1抗体的存在和呼吸困难的表现是与发生IIM-ILD风险相关的重要生物标志物。该预测模型提高了早期诊断能力,促进了风险分层,从而为临床决策提供了信息。然而,需要在更大的多中心队列中进行进一步验证,以证实该模型的预测准确性并优化其临床应用。
本文章由计算机程序翻译,如有差异,请以英文原文为准。

Integration of clinical and serological biomarkers in a nomogram for predicting interstitial lung disease in idiopathic inflammatory myopathies.

Integration of clinical and serological biomarkers in a nomogram for predicting interstitial lung disease in idiopathic inflammatory myopathies.

Integration of clinical and serological biomarkers in a nomogram for predicting interstitial lung disease in idiopathic inflammatory myopathies.

Integration of clinical and serological biomarkers in a nomogram for predicting interstitial lung disease in idiopathic inflammatory myopathies.

Background: Idiopathic inflammatory myopathies (IIM) are a diverse group of autoimmune diseases characterized primarily by muscle weakness and systemic involvement, which can include interstitial lung disease (ILD). ILD is a serious complication in IIM, significantly affecting patient prognosis and quality of life. Early identification of IIM patients at risk for developing ILD is crucial for timely intervention and personalized treatment, yet the factors contributing to this risk remain inadequately defined.

Methods: This retrospective study analyzed medical records of 130 patients with IIM from the First Affiliated Hospital of Xinxiang Medical University, China, between August 2018 and July 2023. Patients were categorized into two groups: IIM with interstitial lung disease (IIM-ILD, n = 75) and IIM without ILD (n = 55). We collected and analyzed demographic, clinical, and laboratory data, including specific autoantibody tests. Multivariate logistic regression identified independent predictors of ILD, and a nomogram was developed to evaluate ILD risk based on significant factors.

Results: This retrospective study analyzed 130 patients with IIM, including 75 with interstitial lung disease and 55 without ILD. The IIM-ILD group was significantly older (58.4 vs. 48.3, p = 0.052) and had higher frequencies of respiratory symptoms including dyspnea (61.3% vs. 14.9%, p < 0.001) and cough (54.7% vs. 10.9%, p < 0.001). Key laboratory differences included elevated ESR (26.5 vs. 10.0 mm/H, p < 0.001), CRP (3.44 vs. 1.64 mmol/L, p = 0.013), and IgG (12.5 vs. 10.9 g/L, p = 0.006), along with lower ALT (29.0 vs. 44.0 U/L, p = 0.001) and AST (32.0 vs. 45.0 U/L, p = 0.021) in the IIM-ILD group. Anti-Jo-1 antibodies were more prevalent in IIM-ILD patients (18.7% vs. 5.5%, p = 0.027). Multivariate analysis identified ESR (OR = 1.063, 95% CI:1.012-1.117, p = 0.015), AST (OR = 0.985, 95% CI:0.970-1.000, p = 0.047), and IgG (OR = 1.191, 95% CI:1.025-1.383, p = 0.022) as independent predictors. These factors, combined with dyspnea and anti-Jo-1 status, were incorporated into a predictive nomogram model. The nomogram demonstrated excellent discrimination (AUC = 0.891, 95% CI:0.836-0.947) with sensitivity of 79.7% and specificity of 82.6%. Calibration curves showed good agreement between predicted and observed outcomes (Hosmer-Lemeshow test, p = 0.779). Decision curve analysis confirmed the model's clinical utility across a wide range of threshold probabilities. This comprehensive model provides clinicians with a practical tool for early identification of IIM patients at high risk for ILD development.

Conclusion: Elevated ESR and CRP levels, in conjunction with lower AST levels, alongside the presence of anti-Jo-1 antibodies and the manifestation of dyspnea are significant biomarkers associated with the risk of developing IIM-ILD. This predictive model enhances early diagnostic capabilities and facilitates risk stratification, thereby informing clinical decision-making. However, further validation in larger, multicenter cohorts is warranted to corroborate the model's predictive accuracy and to optimize its clinical utility.

求助全文
通过发布文献求助,成功后即可免费获取论文全文。 去求助
来源期刊
BMC Rheumatology
BMC Rheumatology Medicine-Rheumatology
CiteScore
3.80
自引率
0.00%
发文量
73
审稿时长
15 weeks
×
引用
GB/T 7714-2015
复制
MLA
复制
APA
复制
导出至
BibTeX EndNote RefMan NoteFirst NoteExpress
×
提示
您的信息不完整,为了账户安全,请先补充。
现在去补充
×
提示
您因"违规操作"
具体请查看互助需知
我知道了
×
提示
确定
请完成安全验证×
copy
已复制链接
快去分享给好友吧!
我知道了
右上角分享
点击右上角分享
0
联系我们:info@booksci.cn Book学术提供免费学术资源搜索服务,方便国内外学者检索中英文文献。致力于提供最便捷和优质的服务体验。 Copyright © 2023 布克学术 All rights reserved.
京ICP备2023020795号-1
ghs 京公网安备 11010802042870号
Book学术文献互助
Book学术文献互助群
群 号:604180095
Book学术官方微信