可解释的XGBoost模型识别特发性中枢性性早熟的女孩使用四个临床和影像学特征。

IF 3.3 3区 医学 Q3 ENDOCRINOLOGY & METABOLISM
Lu Tian, Yan Zeng, Helin Zheng, Jinhua Cai
{"title":"可解释的XGBoost模型识别特发性中枢性性早熟的女孩使用四个临床和影像学特征。","authors":"Lu Tian, Yan Zeng, Helin Zheng, Jinhua Cai","doi":"10.1186/s12902-025-01983-4","DOIUrl":null,"url":null,"abstract":"<p><strong>Background: </strong>The study aimed to develop interpretable machine learning models for the identification of idiopathic central precocious puberty (ICPP) in girls, without the need for the expensive and time-consuming gonadotropin-releasing hormone (GnRH) stimulation test, which is currently the gold standard for diagnosing ICPP.</p><p><strong>Methods: </strong>A total of 246 female paediatric patients who had secondary sexual characteristics before 8 years old and had taken a GnRH stimulation test were randomly divided into a training set (172 patients, 70%) and a validation set (74 patients, 30%). Characteristic parameters were extracted from easily available clinical data and were statistically analysed. The least absolute shrinkage and selection operator (LASSO) method was used to select essential characteristic parameters associated with ICPP and were used to construct logistic regression (LR) and five machine learning (ML) models, including support vector machine (SVM), Gaussian naive bayes (GaussianNB), extreme gradient boosting (XGBoost), random forest (RF), and k- nearest neighbor algorithm (kNN). Then, the area under the receiver operating characteristic curve (AUROC), sensitivity, specificity, false positive and negative values, Youden's index, accuracy, positive and negative likelihood ratios, calibration plots, and decision curve analysis (DCA) were used to evaluate the models' effectiveness. Finally, the shapley additive explanations (SHAP) package was used to interpret the best-performing model.</p><p><strong>Results: </strong>Four essential characteristic parameters, namely uterine volume, bone age/chronological age (BA/CA), basal follicle-stimulating hormone (FSH), and basal luteinizing hormone (LH), were selected using the LASSO method. Based on these characteristic parameters, the LR and five machine learning models achieved AUC values ranging from 0.72 to 0.96 in the training set and AUC values ranging from 0.65 to 0.90 in the validation set for diagnosing ICPP. Among the LR and five machine learning models, the XGBoost model demonstrated superior performance, achieving the highest AUC values, accuracy, specificity, and sensitivity in both the training and validation sets. Moreover, calibration plots and DCA confirmed that this model exhibited the best calibration and clinical utility.</p><p><strong>Conclusions: </strong>An accurate and interpretable ML-based model has been developed to aid clinicians in the diagnosis of ICPP, assisting in clinical decision-making.</p>","PeriodicalId":9152,"journal":{"name":"BMC Endocrine Disorders","volume":"25 1","pages":"159"},"PeriodicalIF":3.3000,"publicationDate":"2025-07-01","publicationTypes":"Journal Article","fieldsOfStudy":null,"isOpenAccess":false,"openAccessPdf":"https://www.ncbi.nlm.nih.gov/pmc/articles/PMC12219956/pdf/","citationCount":"0","resultStr":"{\"title\":\"Interpretable XGBoost model identifies idiopathic central precocious puberty in girls using four clinical and imaging features.\",\"authors\":\"Lu Tian, Yan Zeng, Helin Zheng, Jinhua Cai\",\"doi\":\"10.1186/s12902-025-01983-4\",\"DOIUrl\":null,\"url\":null,\"abstract\":\"<p><strong>Background: </strong>The study aimed to develop interpretable machine learning models for the identification of idiopathic central precocious puberty (ICPP) in girls, without the need for the expensive and time-consuming gonadotropin-releasing hormone (GnRH) stimulation test, which is currently the gold standard for diagnosing ICPP.</p><p><strong>Methods: </strong>A total of 246 female paediatric patients who had secondary sexual characteristics before 8 years old and had taken a GnRH stimulation test were randomly divided into a training set (172 patients, 70%) and a validation set (74 patients, 30%). Characteristic parameters were extracted from easily available clinical data and were statistically analysed. The least absolute shrinkage and selection operator (LASSO) method was used to select essential characteristic parameters associated with ICPP and were used to construct logistic regression (LR) and five machine learning (ML) models, including support vector machine (SVM), Gaussian naive bayes (GaussianNB), extreme gradient boosting (XGBoost), random forest (RF), and k- nearest neighbor algorithm (kNN). Then, the area under the receiver operating characteristic curve (AUROC), sensitivity, specificity, false positive and negative values, Youden's index, accuracy, positive and negative likelihood ratios, calibration plots, and decision curve analysis (DCA) were used to evaluate the models' effectiveness. Finally, the shapley additive explanations (SHAP) package was used to interpret the best-performing model.</p><p><strong>Results: </strong>Four essential characteristic parameters, namely uterine volume, bone age/chronological age (BA/CA), basal follicle-stimulating hormone (FSH), and basal luteinizing hormone (LH), were selected using the LASSO method. Based on these characteristic parameters, the LR and five machine learning models achieved AUC values ranging from 0.72 to 0.96 in the training set and AUC values ranging from 0.65 to 0.90 in the validation set for diagnosing ICPP. Among the LR and five machine learning models, the XGBoost model demonstrated superior performance, achieving the highest AUC values, accuracy, specificity, and sensitivity in both the training and validation sets. Moreover, calibration plots and DCA confirmed that this model exhibited the best calibration and clinical utility.</p><p><strong>Conclusions: </strong>An accurate and interpretable ML-based model has been developed to aid clinicians in the diagnosis of ICPP, assisting in clinical decision-making.</p>\",\"PeriodicalId\":9152,\"journal\":{\"name\":\"BMC Endocrine Disorders\",\"volume\":\"25 1\",\"pages\":\"159\"},\"PeriodicalIF\":3.3000,\"publicationDate\":\"2025-07-01\",\"publicationTypes\":\"Journal Article\",\"fieldsOfStudy\":null,\"isOpenAccess\":false,\"openAccessPdf\":\"https://www.ncbi.nlm.nih.gov/pmc/articles/PMC12219956/pdf/\",\"citationCount\":\"0\",\"resultStr\":null,\"platform\":\"Semanticscholar\",\"paperid\":null,\"PeriodicalName\":\"BMC Endocrine Disorders\",\"FirstCategoryId\":\"3\",\"ListUrlMain\":\"https://doi.org/10.1186/s12902-025-01983-4\",\"RegionNum\":3,\"RegionCategory\":\"医学\",\"ArticlePicture\":[],\"TitleCN\":null,\"AbstractTextCN\":null,\"PMCID\":null,\"EPubDate\":\"\",\"PubModel\":\"\",\"JCR\":\"Q3\",\"JCRName\":\"ENDOCRINOLOGY & METABOLISM\",\"Score\":null,\"Total\":0}","platform":"Semanticscholar","paperid":null,"PeriodicalName":"BMC Endocrine Disorders","FirstCategoryId":"3","ListUrlMain":"https://doi.org/10.1186/s12902-025-01983-4","RegionNum":3,"RegionCategory":"医学","ArticlePicture":[],"TitleCN":null,"AbstractTextCN":null,"PMCID":null,"EPubDate":"","PubModel":"","JCR":"Q3","JCRName":"ENDOCRINOLOGY & METABOLISM","Score":null,"Total":0}
引用次数: 0

摘要

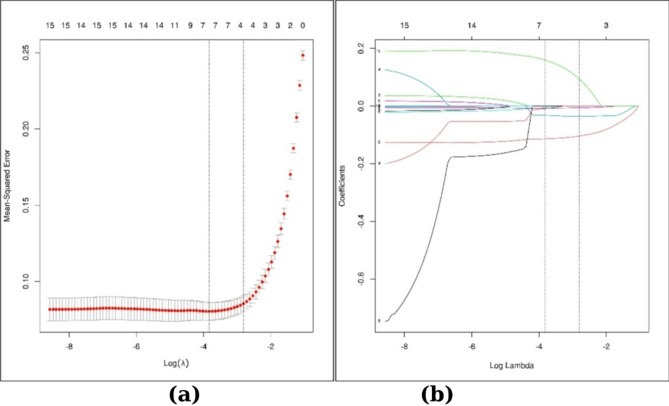
背景:该研究旨在开发可解释的机器学习模型,用于识别女孩特发性中性性早熟(ICPP),而不需要昂贵且耗时的促性腺激素释放激素(GnRH)刺激试验,这是目前诊断ICPP的金标准。方法:选取246例8岁前接受GnRH刺激试验且有第二性征的儿童女性患者,随机分为训练组(172例,占70%)和验证组(74例,占30%)。从容易获得的临床资料中提取特征参数并进行统计分析。使用最小绝对收缩和选择算子(LASSO)方法选择与ICPP相关的基本特征参数,并用于构建逻辑回归(LR)和五种机器学习(ML)模型,包括支持向量机(SVM)、高斯朴素贝叶斯(GaussianNB)、极端梯度增强(XGBoost)、随机森林(RF)和k-最近邻算法(kNN)。然后,采用受试者工作特征曲线下面积(AUROC)、敏感性、特异性、假阳性和阴性值、约登指数、准确性、阳性和阴性似然比、校准图和决策曲线分析(DCA)来评价模型的有效性。最后,使用shapley加性解释(SHAP)包来解释表现最佳的模型。结果:采用LASSO方法选择子宫体积、骨龄/实足年龄(BA/CA)、基础促卵泡激素(FSH)、基础黄体生成素(LH) 4个基本特征参数。基于这些特征参数,LR和5个机器学习模型在训练集中的AUC值为0.72 ~ 0.96,在诊断ICPP的验证集中的AUC值为0.65 ~ 0.90。在LR和5个机器学习模型中,XGBoost模型表现出优异的性能,在训练集和验证集中都获得了最高的AUC值、准确性、特异性和灵敏度。此外,校准图和DCA证实了该模型具有最佳的校准和临床实用性。结论:建立了一个准确且可解释的基于ml的模型,以帮助临床医生诊断ICPP,协助临床决策。
本文章由计算机程序翻译,如有差异,请以英文原文为准。

Interpretable XGBoost model identifies idiopathic central precocious puberty in girls using four clinical and imaging features.

Interpretable XGBoost model identifies idiopathic central precocious puberty in girls using four clinical and imaging features.

Interpretable XGBoost model identifies idiopathic central precocious puberty in girls using four clinical and imaging features.

Interpretable XGBoost model identifies idiopathic central precocious puberty in girls using four clinical and imaging features.

Background: The study aimed to develop interpretable machine learning models for the identification of idiopathic central precocious puberty (ICPP) in girls, without the need for the expensive and time-consuming gonadotropin-releasing hormone (GnRH) stimulation test, which is currently the gold standard for diagnosing ICPP.

Methods: A total of 246 female paediatric patients who had secondary sexual characteristics before 8 years old and had taken a GnRH stimulation test were randomly divided into a training set (172 patients, 70%) and a validation set (74 patients, 30%). Characteristic parameters were extracted from easily available clinical data and were statistically analysed. The least absolute shrinkage and selection operator (LASSO) method was used to select essential characteristic parameters associated with ICPP and were used to construct logistic regression (LR) and five machine learning (ML) models, including support vector machine (SVM), Gaussian naive bayes (GaussianNB), extreme gradient boosting (XGBoost), random forest (RF), and k- nearest neighbor algorithm (kNN). Then, the area under the receiver operating characteristic curve (AUROC), sensitivity, specificity, false positive and negative values, Youden's index, accuracy, positive and negative likelihood ratios, calibration plots, and decision curve analysis (DCA) were used to evaluate the models' effectiveness. Finally, the shapley additive explanations (SHAP) package was used to interpret the best-performing model.

Results: Four essential characteristic parameters, namely uterine volume, bone age/chronological age (BA/CA), basal follicle-stimulating hormone (FSH), and basal luteinizing hormone (LH), were selected using the LASSO method. Based on these characteristic parameters, the LR and five machine learning models achieved AUC values ranging from 0.72 to 0.96 in the training set and AUC values ranging from 0.65 to 0.90 in the validation set for diagnosing ICPP. Among the LR and five machine learning models, the XGBoost model demonstrated superior performance, achieving the highest AUC values, accuracy, specificity, and sensitivity in both the training and validation sets. Moreover, calibration plots and DCA confirmed that this model exhibited the best calibration and clinical utility.

Conclusions: An accurate and interpretable ML-based model has been developed to aid clinicians in the diagnosis of ICPP, assisting in clinical decision-making.

求助全文
通过发布文献求助,成功后即可免费获取论文全文。 去求助
来源期刊
BMC Endocrine Disorders
BMC Endocrine Disorders ENDOCRINOLOGY & METABOLISM-
CiteScore
4.40
自引率
0.00%
发文量
280
审稿时长
>12 weeks
期刊介绍: BMC Endocrine Disorders is an open access, peer-reviewed journal that considers articles on all aspects of the prevention, diagnosis and management of endocrine disorders, as well as related molecular genetics, pathophysiology, and epidemiology.
×
引用
GB/T 7714-2015
复制
MLA
复制
APA
复制
导出至
BibTeX EndNote RefMan NoteFirst NoteExpress
×
提示
您的信息不完整,为了账户安全,请先补充。
现在去补充
×
提示
您因"违规操作"
具体请查看互助需知
我知道了
×
提示
确定
请完成安全验证×
copy
已复制链接
快去分享给好友吧!
我知道了
右上角分享
点击右上角分享
0
联系我们:info@booksci.cn Book学术提供免费学术资源搜索服务,方便国内外学者检索中英文文献。致力于提供最便捷和优质的服务体验。 Copyright © 2023 布克学术 All rights reserved.
京ICP备2023020795号-1
ghs 京公网安备 11010802042870号
Book学术文献互助
Book学术文献互助群
群 号:604180095
Book学术官方微信