肺部感染患者美罗培宁相关性血小板减少风险预测模型的建立和验证。

IF 2.7 3区 医学 Q2 PHARMACOLOGY & PHARMACY
Xiao Wang, Hongqin Ke, Jianyong Zhu, Lijun Zhao, Yanhong Liu, Yan He, Wenwen Wu, Huibin Yu
{"title":"肺部感染患者美罗培宁相关性血小板减少风险预测模型的建立和验证。","authors":"Xiao Wang, Hongqin Ke, Jianyong Zhu, Lijun Zhao, Yanhong Liu, Yan He, Wenwen Wu, Huibin Yu","doi":"10.1186/s40360-025-00962-8","DOIUrl":null,"url":null,"abstract":"<p><strong>Objective: </strong>The prevalence of meropenem-related thrombocytopenia has risen in tandem with the growing utilization of meropenem in clinical settings. Consequently, we aimed to develop a risk prediction model for meropenem-related thrombocytopenia in patients with pulmonary infection and to enhance the safety for the clinical administration of meropenem.</p><p><strong>Methods: </strong>A retrospective case-control study was conducted to collect data. The training group consisted of patients who were treated with meropenem for pulmonary infection at a tertiary A hospital in Shiyan from January 2018 to December 2021. The external validation group was formed from patients at another tertiary A hospital from January 2019 to January 2020. Multivariable logistic regression analysis was employed to investigate the risk factors linked to meropenem-related thrombocytopenia. Subsequently, these factors were utilized to develop a nomogram for predicting meropenem-related thrombocytopenia. The Bootstrap method was conducted to internally validate the nomogram model. The discrimination, calibration, and clinical effectiveness of the model were assessed through the receiver operating characteristic (ROC) curve, calibration curve, and decision curve analysis (DCA).</p><p><strong>Results: </strong>A total of 625 patients were included in the training group. Among them, 73 patients experienced meropenem-related thrombocytopenia. Multivariate logistic regression analysis revealed that hypertension, baseline platelet count, and combined with cephalosporins or penicillins were independent risk factors for meropenem-related thrombocytopenia in patients with pulmonary infection. A risk prediction model was developed based on these four factors. The model demonstrated an AUC (area under the ROC curve) of 0.774 (95%CI: 0.718 ~ 0.829), with a sensitivity of 0.685 and a specificity of 0.737. The optimal critical value was determined to be 0.137. Internal validation yielded an AUC of 0.761, while external validation resulted in an AUC of 0.750 (95%CI: 0.702 ~ 0.799). The calibration diagram indicated a high level of agreement between the predicting and actual probabilities. Furthermore, the DCA demonstrated that the model had significant clinical benefit and practical value.</p><p><strong>Conclusion: </strong>A risk prediction model based on hypertension, baseline platelet count, combined with cephalosporins or penicillins could effectively predict the occurrence of meropenem-related thrombocytopenia in patients with pulmonary infection.</p>","PeriodicalId":9023,"journal":{"name":"BMC Pharmacology & Toxicology","volume":"26 1","pages":"127"},"PeriodicalIF":2.7000,"publicationDate":"2025-07-01","publicationTypes":"Journal Article","fieldsOfStudy":null,"isOpenAccess":false,"openAccessPdf":"https://www.ncbi.nlm.nih.gov/pmc/articles/PMC12220341/pdf/","citationCount":"0","resultStr":"{\"title\":\"Development and validation of a risk prediction model for meropenem-related thrombocytopenia in patients with pulmonary infection.\",\"authors\":\"Xiao Wang, Hongqin Ke, Jianyong Zhu, Lijun Zhao, Yanhong Liu, Yan He, Wenwen Wu, Huibin Yu\",\"doi\":\"10.1186/s40360-025-00962-8\",\"DOIUrl\":null,\"url\":null,\"abstract\":\"<p><strong>Objective: </strong>The prevalence of meropenem-related thrombocytopenia has risen in tandem with the growing utilization of meropenem in clinical settings. Consequently, we aimed to develop a risk prediction model for meropenem-related thrombocytopenia in patients with pulmonary infection and to enhance the safety for the clinical administration of meropenem.</p><p><strong>Methods: </strong>A retrospective case-control study was conducted to collect data. The training group consisted of patients who were treated with meropenem for pulmonary infection at a tertiary A hospital in Shiyan from January 2018 to December 2021. The external validation group was formed from patients at another tertiary A hospital from January 2019 to January 2020. Multivariable logistic regression analysis was employed to investigate the risk factors linked to meropenem-related thrombocytopenia. Subsequently, these factors were utilized to develop a nomogram for predicting meropenem-related thrombocytopenia. The Bootstrap method was conducted to internally validate the nomogram model. The discrimination, calibration, and clinical effectiveness of the model were assessed through the receiver operating characteristic (ROC) curve, calibration curve, and decision curve analysis (DCA).</p><p><strong>Results: </strong>A total of 625 patients were included in the training group. Among them, 73 patients experienced meropenem-related thrombocytopenia. Multivariate logistic regression analysis revealed that hypertension, baseline platelet count, and combined with cephalosporins or penicillins were independent risk factors for meropenem-related thrombocytopenia in patients with pulmonary infection. A risk prediction model was developed based on these four factors. The model demonstrated an AUC (area under the ROC curve) of 0.774 (95%CI: 0.718 ~ 0.829), with a sensitivity of 0.685 and a specificity of 0.737. The optimal critical value was determined to be 0.137. Internal validation yielded an AUC of 0.761, while external validation resulted in an AUC of 0.750 (95%CI: 0.702 ~ 0.799). The calibration diagram indicated a high level of agreement between the predicting and actual probabilities. Furthermore, the DCA demonstrated that the model had significant clinical benefit and practical value.</p><p><strong>Conclusion: </strong>A risk prediction model based on hypertension, baseline platelet count, combined with cephalosporins or penicillins could effectively predict the occurrence of meropenem-related thrombocytopenia in patients with pulmonary infection.</p>\",\"PeriodicalId\":9023,\"journal\":{\"name\":\"BMC Pharmacology & Toxicology\",\"volume\":\"26 1\",\"pages\":\"127\"},\"PeriodicalIF\":2.7000,\"publicationDate\":\"2025-07-01\",\"publicationTypes\":\"Journal Article\",\"fieldsOfStudy\":null,\"isOpenAccess\":false,\"openAccessPdf\":\"https://www.ncbi.nlm.nih.gov/pmc/articles/PMC12220341/pdf/\",\"citationCount\":\"0\",\"resultStr\":null,\"platform\":\"Semanticscholar\",\"paperid\":null,\"PeriodicalName\":\"BMC Pharmacology & Toxicology\",\"FirstCategoryId\":\"3\",\"ListUrlMain\":\"https://doi.org/10.1186/s40360-025-00962-8\",\"RegionNum\":3,\"RegionCategory\":\"医学\",\"ArticlePicture\":[],\"TitleCN\":null,\"AbstractTextCN\":null,\"PMCID\":null,\"EPubDate\":\"\",\"PubModel\":\"\",\"JCR\":\"Q2\",\"JCRName\":\"PHARMACOLOGY & PHARMACY\",\"Score\":null,\"Total\":0}","platform":"Semanticscholar","paperid":null,"PeriodicalName":"BMC Pharmacology & Toxicology","FirstCategoryId":"3","ListUrlMain":"https://doi.org/10.1186/s40360-025-00962-8","RegionNum":3,"RegionCategory":"医学","ArticlePicture":[],"TitleCN":null,"AbstractTextCN":null,"PMCID":null,"EPubDate":"","PubModel":"","JCR":"Q2","JCRName":"PHARMACOLOGY & PHARMACY","Score":null,"Total":0}
引用次数: 0

摘要

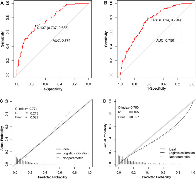
目的:美罗培南相关血小板减少症的患病率随着美罗培南在临床应用的增加而上升。因此,我们旨在建立肺部感染患者美罗培南相关性血小板减少的风险预测模型,并提高临床使用美罗培南的安全性。方法:采用回顾性病例对照研究收集资料。训练组为2018年1月至2021年12月在十堰市某三级甲等医院接受美罗培南治疗肺部感染的患者。外部验证组由另一家三级甲等医院2019年1月至2020年1月的患者组成。采用多变量logistic回归分析探讨美罗培宁相关性血小板减少的相关危险因素。随后,这些因素被用于开发预测美罗培宁相关的血小板减少的nomogram。采用Bootstrap方法对模态图模型进行内部验证。通过受试者工作特征(ROC)曲线、校正曲线和决策曲线分析(DCA)评估模型的鉴别、校正和临床疗效。结果:训练组共纳入625例患者。其中美罗培宁相关性血小板减少73例。多因素logistic回归分析显示,高血压、基线血小板计数、联用头孢菌素或青霉素类药物是肺部感染患者美罗培尼相关性血小板减少的独立危险因素。基于这四个因素建立了风险预测模型。该模型的AUC (ROC曲线下面积)为0.774 (95%CI: 0.718 ~ 0.829),灵敏度为0.685,特异性为0.737。确定最佳临界值为0.137。内部验证的AUC为0.761,而外部验证的AUC为0.750 (95%CI: 0.702 ~ 0.799)。校正图显示预测概率与实际概率高度吻合。DCA结果表明该模型具有显著的临床效益和实用价值。结论:基于高血压、基线血小板计数、联合头孢菌素或青霉素类药物的风险预测模型可有效预测肺部感染患者美罗培尼相关性血小板减少的发生。
本文章由计算机程序翻译,如有差异,请以英文原文为准。

Development and validation of a risk prediction model for meropenem-related thrombocytopenia in patients with pulmonary infection.

Development and validation of a risk prediction model for meropenem-related thrombocytopenia in patients with pulmonary infection.

Development and validation of a risk prediction model for meropenem-related thrombocytopenia in patients with pulmonary infection.

Development and validation of a risk prediction model for meropenem-related thrombocytopenia in patients with pulmonary infection.

Objective: The prevalence of meropenem-related thrombocytopenia has risen in tandem with the growing utilization of meropenem in clinical settings. Consequently, we aimed to develop a risk prediction model for meropenem-related thrombocytopenia in patients with pulmonary infection and to enhance the safety for the clinical administration of meropenem.

Methods: A retrospective case-control study was conducted to collect data. The training group consisted of patients who were treated with meropenem for pulmonary infection at a tertiary A hospital in Shiyan from January 2018 to December 2021. The external validation group was formed from patients at another tertiary A hospital from January 2019 to January 2020. Multivariable logistic regression analysis was employed to investigate the risk factors linked to meropenem-related thrombocytopenia. Subsequently, these factors were utilized to develop a nomogram for predicting meropenem-related thrombocytopenia. The Bootstrap method was conducted to internally validate the nomogram model. The discrimination, calibration, and clinical effectiveness of the model were assessed through the receiver operating characteristic (ROC) curve, calibration curve, and decision curve analysis (DCA).

Results: A total of 625 patients were included in the training group. Among them, 73 patients experienced meropenem-related thrombocytopenia. Multivariate logistic regression analysis revealed that hypertension, baseline platelet count, and combined with cephalosporins or penicillins were independent risk factors for meropenem-related thrombocytopenia in patients with pulmonary infection. A risk prediction model was developed based on these four factors. The model demonstrated an AUC (area under the ROC curve) of 0.774 (95%CI: 0.718 ~ 0.829), with a sensitivity of 0.685 and a specificity of 0.737. The optimal critical value was determined to be 0.137. Internal validation yielded an AUC of 0.761, while external validation resulted in an AUC of 0.750 (95%CI: 0.702 ~ 0.799). The calibration diagram indicated a high level of agreement between the predicting and actual probabilities. Furthermore, the DCA demonstrated that the model had significant clinical benefit and practical value.

Conclusion: A risk prediction model based on hypertension, baseline platelet count, combined with cephalosporins or penicillins could effectively predict the occurrence of meropenem-related thrombocytopenia in patients with pulmonary infection.

求助全文
通过发布文献求助,成功后即可免费获取论文全文。 去求助
来源期刊
BMC Pharmacology & Toxicology
BMC Pharmacology & Toxicology PHARMACOLOGY & PHARMACYTOXICOLOGY&nb-TOXICOLOGY
CiteScore
4.80
自引率
0.00%
发文量
87
审稿时长
12 weeks
期刊介绍: BMC Pharmacology and Toxicology is an open access, peer-reviewed journal that considers articles on all aspects of chemically defined therapeutic and toxic agents. The journal welcomes submissions from all fields of experimental and clinical pharmacology including clinical trials and toxicology.
×
引用
GB/T 7714-2015
复制
MLA
复制
APA
复制
导出至
BibTeX EndNote RefMan NoteFirst NoteExpress
×
提示
您的信息不完整,为了账户安全,请先补充。
现在去补充
×
提示
您因"违规操作"
具体请查看互助需知
我知道了
×
提示
确定
请完成安全验证×
copy
已复制链接
快去分享给好友吧!
我知道了
右上角分享
点击右上角分享
0
联系我们:info@booksci.cn Book学术提供免费学术资源搜索服务,方便国内外学者检索中英文文献。致力于提供最便捷和优质的服务体验。 Copyright © 2023 布克学术 All rights reserved.
京ICP备2023020795号-1
ghs 京公网安备 11010802042870号
Book学术文献互助
Book学术文献互助群
群 号:604180095
Book学术官方微信